Suppr超能文献

优化医学研究文章的平实语言摘要的可读性和格式:横断面调查研究。

Optimizing Readability and Format of Plain Language Summaries for Medical Research Articles: Cross-sectional Survey Study.

机构信息

Department of Life Sciences, Faculty of Science and Engineering, Manchester Metropolitan University, Manchester, United Kingdom.

CMC Connect, McCann Health Medical Communications, Macclesfield, United Kingdom.

出版信息

J Med Internet Res. 2022 Jan 11;24(1):e22122. doi: 10.2196/22122.

Abstract

BACKGROUND

Plain language summaries (PLSs) are intended to provide readers with a clear, nontechnical, and easily understandable overview of medical and scientific literature; however, audience preferences for specific PLS formats have yet to be fully explored.

OBJECTIVE

This study aims to evaluate the preferred readability level and format for PLSs of medical research articles of different disease states via a web-based survey of audiences of different age groups.

METHODS

Articles describing phase III clinical trials published in top-level, peer-reviewed journals between May 2016 and May 2018 were identified for 3 chronic disease states representing a range of adult patient age groups: (1) psoriasis, a skin disease representative of younger patients; (2) multiple sclerosis (MS), a neurological disease representative of middle-aged patients; and (3) rheumatoid arthritis (RA), a painful joint disease representative of older patients. Four PLSs were developed for each research article, of which 3 were text-only summaries (written with high, medium, and low complexity) and 1 was an infographic. To evaluate each of the 4 PLS formats, a 20-question open survey (specific to one of the 3 diseases) was sent to a representative sample selected via UK-based patient association websites, Twitter, and Facebook patient groups. A weighted-average calculation was applied to respondents' ranked preferences for each PLS format.

RESULTS

For all 3 articles, the weighted-average preference scores showed that infographic (psoriasis 2.91, MS 2.71, and RA 2.78) and medium-complexity text-based PLS (reading age 14-17 years, US Grade 9-11; psoriasis 2.90; MS 2.47; RA 2.77) were the two most preferred PLS formats.

CONCLUSIONS

Audience preferences should be accounted for when preparing PLSs to accompany peer-reviewed original research articles. Oversimplified text can be viewed negatively, and graphical summaries or medium-complexity text-based summaries appear to be the most popular.

PLAIN LANGUAGE SUMMARY

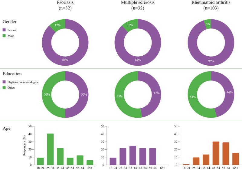
Patients and caregivers should have the chance to read about medical research in a format they can understand. However, we do not know much about the formats that people with different illnesses or ages prefer. Researchers wanted to find out more about this. They selected 3 medical articles about illnesses that affect different age groups: psoriasis (younger patients), multiple sclerosis (middle-aged patients), and rheumatoid arthritis (older patients). They created 4 summaries of each article. One was a graphical summary, and the other 3 were words-only summaries of high, medium, and low complexity. Then, the researchers posted surveys on UK patient group websites and Facebook patient groups to ask people what they thought of the summaries. The surveys were taken by 167 people. These people were patients with psoriasis, multiple sclerosis, or rheumatoid arthritis, or their caregivers. Most were women, and about half had a university degree. For each illness, most people preferred the graphical summary. Among the word-only summaries, most people preferred the medium-complexity wording written for a reading age of 14 to 17 years. People felt that the graphical and medium-complexity summaries were clear and concise, while the others used jargon or were too simple. Authors of medical articles should remember these results when writing summaries for patients. More research is needed about the preferences of other people, such as those with other illnesses. (See Multimedia Appendix 1 for the graphical summary of the plain language summary.).

摘要

背景

平实语言摘要旨在为读者提供医学和科学文献的清晰、非技术性和易于理解的概述;然而,读者对特定平实语言摘要格式的偏好尚未得到充分探索。

目的

本研究旨在通过对不同年龄组受众的网络调查,评估不同疾病状态的医学研究文章的平实语言摘要的首选可读性水平和格式。

方法

从 2016 年 5 月至 2018 年 5 月发表在顶级同行评审期刊上的描述 III 期临床试验的文章中,确定了 3 种不同疾病状态的文章,代表了不同成年患者年龄组:(1)银屑病,一种代表年轻患者的皮肤疾病;(2)多发性硬化症(MS),一种代表中年患者的神经疾病;以及(3)类风湿关节炎(RA),一种代表老年患者的疼痛关节疾病。为每篇研究文章编写了 4 种平实语言摘要,其中 3 种是纯文本摘要(具有高、中、低复杂度),1 种是信息图。为了评估 4 种平实语言摘要格式中的每一种,通过英国患者协会网站、Twitter 和 Facebook 患者群组,向代表性样本发送了 20 个问题的开放式调查(针对 3 种疾病中的一种)。对每个平实语言摘要格式的受访者排名偏好进行加权平均计算。

结果

对于所有 3 篇文章,加权平均偏好评分显示,信息图(银屑病 2.91、MS 2.71 和 RA 2.78)和中等复杂度的基于文本的平实语言摘要(阅读年龄 14-17 岁,美国 9-11 年级;银屑病 2.90;MS 2.47;RA 2.77)是两种最受欢迎的平实语言摘要格式。

结论

在准备伴随同行评审原始研究文章的平实语言摘要时,应考虑受众的偏好。过于简化的文本可能会被负面看待,图形摘要或中等复杂度的基于文本的摘要似乎更受欢迎。

https://cdn.ncbi.nlm.nih.gov/pmc/blobs/e2f2/8790687/dd4d434299bb/jmir_v24i1e22122_fig1.jpg

文献检索

告别复杂PubMed语法,用中文像聊天一样搜索,搜遍4000万医学文献。AI智能推荐,让科研检索更轻松。

立即免费搜索

文件翻译

保留排版,准确专业,支持PDF/Word/PPT等文件格式,支持 12+语言互译。

免费翻译文档

深度研究

AI帮你快速写综述,25分钟生成高质量综述,智能提取关键信息,辅助科研写作。

立即免费体验