Suppr超能文献

开发和验证膀胱癌焦亡相关 lncRNAs 预测模型。

Development and validation of pyroptosis-related lncRNAs prediction model for bladder cancer.

机构信息

Department of Urology, West China Hospital, Sichuan University, Chengdu 610041, Sichuan Province, China.

Department of Biliary Surgery, West China Hospital, Sichuan University, Chengdu 610041, Sichuan Province, China.

出版信息

Biosci Rep. 2022 Jan 28;42(1). doi: 10.1042/BSR20212253.

Abstract

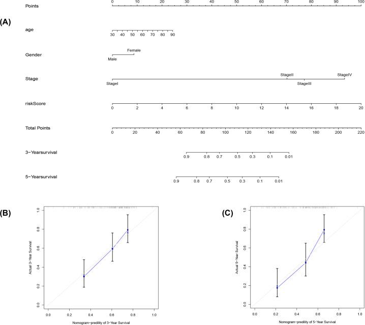
Bladder cancer (BLCA) is one of the highly heterogeneous disorders accompanied by a poor prognosis. The present study aimed to construct a model based on pyroptosis-related long-stranded non-coding RNA (lncRNA) to evaluate the potential prognostic application in bladder cancer. The mRNA expression profiles of bladder cancer patients and corresponding clinical data were downloaded from the public database from The Cancer Genome Atlas (TCGA). Pyroptosis-related lncRNAs were identified by utilizing a co-expression network of pyroptosis-related genes and lncRNAs. The lncRNA was further screened by univariate Cox regression analysis. Finally, eight pyroptosis-related lncRNA markers were established using least absolute shrinkage and selection operator (Lasso) regression and multivariate Cox regression analyses. Patients were separated into high- and low-risk groups based on the performance value of the median risk score. Patients in the high-risk group had significantly poorer overall survival (OS) than those in the low-risk group (P<0.001). In multivariate Cox regression analysis, the risk score was an independent predictive factor of OS (HR > 1, P<0.01). The areas under the curve (AUCs) of the 3- and 5-year OS in the receiver operating characteristic (ROC) curve were 0.742 and 0.739, respectively. In conclusion, these eight pyroptosis-related lncRNA and their markers may be potential molecular markers and therapeutic targets for bladder cancer patients.

摘要

膀胱癌(BLCA)是一种高度异质性疾病,预后不良。本研究旨在构建基于细胞焦亡相关长链非编码 RNA(lncRNA)的模型,以评估其在膀胱癌中的潜在预后应用。从癌症基因组图谱(TCGA)公共数据库中下载膀胱癌患者的 mRNA 表达谱和相应的临床数据。通过细胞焦亡相关基因和 lncRNA 的共表达网络鉴定细胞焦亡相关 lncRNA。通过单变量 Cox 回归分析进一步筛选 lncRNA。最后,采用最小绝对值收缩和选择算子(Lasso)回归和多变量 Cox 回归分析建立了 8 个细胞焦亡相关 lncRNA 标志物。根据中位风险评分的性能值将患者分为高风险组和低风险组。与低风险组相比,高风险组患者的总生存期(OS)明显较差(P<0.001)。在多变量 Cox 回归分析中,风险评分是 OS 的独立预测因素(HR>1,P<0.01)。ROC 曲线中 3 年和 5 年 OS 的 AUC 分别为 0.742 和 0.739。总之,这 8 个细胞焦亡相关 lncRNA 及其标志物可能是膀胱癌患者潜在的分子标志物和治疗靶点。

https://cdn.ncbi.nlm.nih.gov/pmc/blobs/f773/8799921/80ea2cb5f57c/bsr-42-bsr20212253-g1.jpg

文献AI研究员

20分钟写一篇综述,助力文献阅读效率提升50倍。

立即体验

用中文搜PubMed

大模型驱动的PubMed中文搜索引擎

马上搜索

文档翻译

学术文献翻译模型,支持多种主流文档格式。

立即体验