• 文献检索
  • 文档翻译
  • 深度研究
  • 学术资讯
  • Suppr Zotero 插件Zotero 插件
  • 邀请有礼
  • 套餐&价格
  • 历史记录
应用&插件
Suppr Zotero 插件Zotero 插件浏览器插件Mac 客户端Windows 客户端微信小程序
定价
高级版会员购买积分包购买API积分包
服务
文献检索文档翻译深度研究API 文档MCP 服务
关于我们
关于 Suppr公司介绍联系我们用户协议隐私条款
关注我们

Suppr 超能文献

核心技术专利:CN118964589B侵权必究
粤ICP备2023148730 号-1Suppr @ 2026

文献检索

告别复杂PubMed语法,用中文像聊天一样搜索,搜遍4000万医学文献。AI智能推荐,让科研检索更轻松。

立即免费搜索

文件翻译

保留排版,准确专业,支持PDF/Word/PPT等文件格式,支持 12+语言互译。

免费翻译文档

深度研究

AI帮你快速写综述,25分钟生成高质量综述,智能提取关键信息,辅助科研写作。

立即免费体验

美国成年人中的炎症性肠病和动脉粥样硬化性心血管疾病——基于国家健康访谈调查的人群水平分析

Inflammatory bowel disease and atherosclerotic cardiovascular disease in U.S. adults-A population-level analysis in the national health interview survey.

作者信息

Nasir Khurram, Acquah Isaac, Dey Amit K, Agrawal Tanushree, Hassan Syed Zawahir, Glassner Kerri, Abraham Bincy, Quigley Eamonn M M, Blankstein Ron, Virani Salim S, Blaha Michael J, Valero-Elizondo Javier, Cainzos-Achirica Miguel, Mehta Nehal N

机构信息

Division of Cardiovascular Prevention and Wellness, Department of Cardiology, Houston Methodist DeBakey Heart and Vascular Center, Houston, MD, United States.

Center for Outcomes Research, Houston Methodist Research Institute, Houston, MD, United States.

出版信息

Am J Prev Cardiol. 2022 Jan 17;9:100316. doi: 10.1016/j.ajpc.2022.100316. eCollection 2022 Mar.

DOI:10.1016/j.ajpc.2022.100316
PMID:35112094
原文链接:https://pmc.ncbi.nlm.nih.gov/articles/PMC8790599/
Abstract

OBJECTIVES

To evaluate the association between inflammatory bowel disease (IBD) and atherosclerotic cardiovascular disease (ASCVD) and whether this association is modified by age or sex.

METHODS

We conducted a cross-sectional analysis using data from the 2015-2016 National Health Interview Survey (NHIS). The exposure of interest was self-reported IBD. The outcome of interest was prevalent ASCVD, which included a history of angina, myocardial infarction or stroke. We used survey-specific descriptive statistics to obtain weighted national estimates for IBD and ASCVD prevalence. Logistic regression models were used to assess the association between IBD and ASCVD, progressively adjusting for demographics and traditional risk factors. Effect modification by age and sex was evaluated.

RESULTS

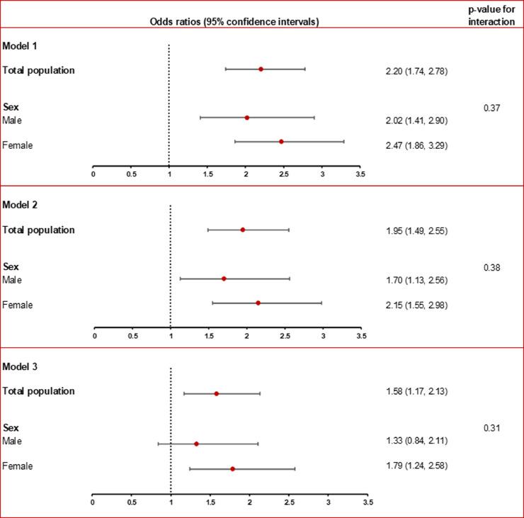
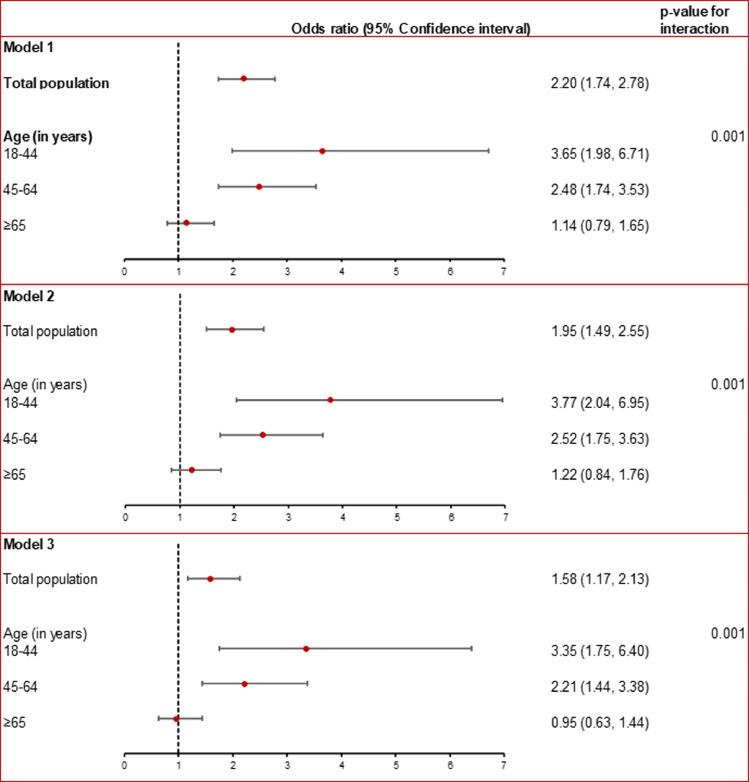
Among participants with IBD, the age-adjusted prevalence of ASCVD was 12.0% compared to 6.9% among those without IBD ( < 0.001). In multivariable regression analyses IBD was associated with increased odds of having ASCVD, even after adjustment for demographics and traditional risk factors (odds ratio 1.58, 95% CI 1.17-2.13). We found statistically significant interaction by age ( < 0.001) whereby those in the younger age strata had the strongest association (fully adjusted odds ratio among 18- to 44-year-olds 3.35, 95% CI 1.75, 6.40) while the association was null in those ≥65 years. Effect modification by sex was not observed.

CONCLUSION

Our analysis confirms an independent association between IBD and ASCVD in the U.S., particularly among young adults. Further studies are needed to fully establish a causal relationship between IBD and ASCVD, characterize the mechanisms underlying these associations, and identify tailored opportunities for ASCVD prevention in young and middle-aged adults with IBD.

摘要

目的

评估炎症性肠病(IBD)与动脉粥样硬化性心血管疾病(ASCVD)之间的关联,以及这种关联是否因年龄或性别而有所不同。

方法

我们使用2015 - 2016年国家健康访谈调查(NHIS)的数据进行了横断面分析。感兴趣的暴露因素是自我报告的IBD。感兴趣的结局是ASCVD患病率,包括心绞痛、心肌梗死或中风病史。我们使用特定调查的描述性统计方法来获得IBD和ASCVD患病率的加权全国估计值。采用逻辑回归模型评估IBD与ASCVD之间的关联,并逐步调整人口统计学和传统风险因素。评估年龄和性别对效应的修饰作用。

结果

在患有IBD的参与者中,年龄调整后的ASCVD患病率为12.0%,而在没有IBD的参与者中为6.9%(P<0.001)。在多变量回归分析中,即使在调整了人口统计学和传统风险因素后,IBD仍与ASCVD发生几率增加相关(优势比1.58,95%置信区间1.17 - 2.13)。我们发现年龄存在统计学显著的交互作用(P<0.001),即年龄较小的人群关联最强(18至44岁人群的完全调整优势比为3.35,95%置信区间1.75,6.40),而在65岁及以上人群中这种关联不存在。未观察到性别对效应的修饰作用。

结论

我们的分析证实了在美国IBD与ASCVD之间存在独立关联,尤其是在年轻人中。需要进一步研究以充分确立IBD与ASCVD之间的因果关系,描述这些关联背后的机制,并确定针对患有IBD的中青年进行ASCVD预防的个性化机会。

https://cdn.ncbi.nlm.nih.gov/pmc/blobs/1bed/8790599/a1fa90523e06/gr4.jpg
https://cdn.ncbi.nlm.nih.gov/pmc/blobs/1bed/8790599/4d70e16590a6/gr1.jpg
https://cdn.ncbi.nlm.nih.gov/pmc/blobs/1bed/8790599/6057b9106bfc/gr2.jpg
https://cdn.ncbi.nlm.nih.gov/pmc/blobs/1bed/8790599/8ad612905556/gr3.jpg
https://cdn.ncbi.nlm.nih.gov/pmc/blobs/1bed/8790599/a1fa90523e06/gr4.jpg
https://cdn.ncbi.nlm.nih.gov/pmc/blobs/1bed/8790599/4d70e16590a6/gr1.jpg
https://cdn.ncbi.nlm.nih.gov/pmc/blobs/1bed/8790599/6057b9106bfc/gr2.jpg
https://cdn.ncbi.nlm.nih.gov/pmc/blobs/1bed/8790599/8ad612905556/gr3.jpg
https://cdn.ncbi.nlm.nih.gov/pmc/blobs/1bed/8790599/a1fa90523e06/gr4.jpg

相似文献

1
Inflammatory bowel disease and atherosclerotic cardiovascular disease in U.S. adults-A population-level analysis in the national health interview survey.美国成年人中的炎症性肠病和动脉粥样硬化性心血管疾病——基于国家健康访谈调查的人群水平分析
Am J Prev Cardiol. 2022 Jan 17;9:100316. doi: 10.1016/j.ajpc.2022.100316. eCollection 2022 Mar.
2
Prevalence of cardiovascular risk factors in a nationally representative adult population with inflammatory bowel disease without atherosclerotic cardiovascular disease.在无动脉粥样硬化性心血管疾病的全国代表性炎症性肠病成年人群中,心血管危险因素的患病率。
Am J Prev Cardiol. 2021 Mar 16;6:100171. doi: 10.1016/j.ajpc.2021.100171. eCollection 2021 Jun.
3
Heterogeneity in cardio-metabolic risk factors and atherosclerotic cardiovascular disease among Asian groups in the United States.美国亚裔群体中心血管代谢危险因素与动脉粥样硬化性心血管疾病的异质性。
Am J Prev Cardiol. 2021 Jun 20;7:100219. doi: 10.1016/j.ajpc.2021.100219. eCollection 2021 Sep.
4
Food insecurity and atherosclerotic cardiovascular disease risk in adults with diabetes.糖尿病成人的食物不安全与动脉粥样硬化性心血管疾病风险。
Nutrition. 2023 Feb;106:111865. doi: 10.1016/j.nut.2022.111865. Epub 2022 Oct 14.
5
Prevalence of Elevated Cardiovascular Risks in Young Adults: A Cross-sectional Analysis of National Health and Nutrition Examination Surveys.年轻成年人中心血管风险升高的患病率:一项基于国家健康与营养检查调查的横断面分析
Ann Intern Med. 2017 Jun 20;166(12):876-882. doi: 10.7326/M16-2052. Epub 2017 May 16.
6
Health Information Technology Use Among Persons With Self-reported Atherosclerotic Cardiovascular Disease: Analysis of the 2011-2018 National Health Interview Survey.自述患有动脉粥样硬化性心血管疾病者的健康信息技术使用情况:2011-2018 年全国健康访谈调查分析。
J Med Internet Res. 2021 Aug 13;23(8):e23765. doi: 10.2196/23765.
7
Nocturia is Associated with High Atherosclerotic Cardiovascular Disease Risk in Women: Results from the National Health and Nutrition Examination Survey.夜尿症与女性动脉粥样硬化性心血管疾病风险升高相关:来自全国健康和营养调查的结果。
J Community Health. 2021 Aug;46(4):854-860. doi: 10.1007/s10900-021-00962-9. Epub 2021 Jan 25.
8
Association between dietary inflammatory index and atherosclerosis cardiovascular disease in U.S. adults.美国成年人饮食炎症指数与动脉粥样硬化性心血管疾病之间的关联。
Front Nutr. 2023 Jan 5;9:1044329. doi: 10.3389/fnut.2022.1044329. eCollection 2022.
9
Inflammatory Bowel Disease and Atherosclerotic Cardiovascular Disease: JACC Review Topic of the Week.炎症性肠病与动脉粥样硬化性心血管疾病:美国心脏病学会评论专题之炎症性肠病周
J Am Coll Cardiol. 2020 Dec 15;76(24):2895-2905. doi: 10.1016/j.jacc.2020.10.027.
10
Utility of Nontraditional Risk Markers in Individuals Ineligible for Statin Therapy According to the 2013 American College of Cardiology/American Heart Association Cholesterol Guidelines.根据2013年美国心脏病学会/美国心脏协会胆固醇指南,非传统风险标志物在不符合他汀类药物治疗条件的个体中的应用价值。
Circulation. 2015 Sep 8;132(10):916-22. doi: 10.1161/CIRCULATIONAHA.115.016846. Epub 2015 Jul 29.

引用本文的文献

1
Identification and management of patients at high-risk for cardiovascular disease in primary prevention.初级预防中心血管疾病高危患者的识别与管理
Am J Prev Cardiol. 2025 Aug 22;23:101265. doi: 10.1016/j.ajpc.2025.101265. eCollection 2025 Sep.
2
Exercising Options: Personalized Exercise Program Improves Fatigue and Quality of Life Scores in Patients with Inflammatory Bowel Disease.运动选择:个性化运动计划改善炎症性肠病患者的疲劳和生活质量评分
Dig Dis Sci. 2025 Aug 9. doi: 10.1007/s10620-025-09315-1.
3
Neutrophils at the Crossroads of Inflammatory Bowel Disease and Atherosclerosis: A State-of-the-Art Review.

本文引用的文献

1
Premature Atherosclerotic Cardiovascular Disease Risk Among Patients with Inflammatory Bowel Disease.炎症性肠病患者的早发动脉粥样硬化性心血管疾病风险。
Am J Med. 2021 Aug;134(8):1047-1051.e2. doi: 10.1016/j.amjmed.2021.02.029. Epub 2021 Apr 1.
2
Heart Disease and Stroke Statistics-2021 Update: A Report From the American Heart Association.心脏病与中风统计-2021 更新:美国心脏协会报告。
Circulation. 2021 Feb 23;143(8):e254-e743. doi: 10.1161/CIR.0000000000000950. Epub 2021 Jan 27.
3
Inflammatory Bowel Disease and Atherosclerotic Cardiovascular Disease: JACC Review Topic of the Week.
炎症性肠病与动脉粥样硬化交叉点上的中性粒细胞:最新综述
Cells. 2025 May 18;14(10):738. doi: 10.3390/cells14100738.
4
Acute Coronary Syndrome and Rheumatic Disease.急性冠状动脉综合征与风湿性疾病
J Clin Med. 2025 Feb 23;14(5):1490. doi: 10.3390/jcm14051490.
5
Volume and distribution of white matter hyperintensities in rheumatoid arthritis and ulcerative colitis patients.类风湿性关节炎和溃疡性结肠炎患者脑白质高信号的体积与分布
Sci Rep. 2024 Dec 30;14(1):32010. doi: 10.1038/s41598-024-83559-1.
6
Navigating the Gut-Cardiac Axis: Understanding Cardiovascular Complications in Inflammatory Bowel Disease.探索肠道-心脏轴:了解炎症性肠病中的心血管并发症
Cureus. 2024 Feb 29;16(2):e55268. doi: 10.7759/cureus.55268. eCollection 2024 Feb.
7
Systematic Review and Meta-Analysis: Prevalence of Non-Alcoholic Fatty Liver Disease and Liver Fibrosis in Patients with Inflammatory Bowel Disease.系统评价和荟萃分析:炎症性肠病患者中非酒精性脂肪性肝病和肝纤维化的患病率。
Nutrients. 2023 Oct 24;15(21):4507. doi: 10.3390/nu15214507.
8
Atherosclerotic cardiovascular diseases in inflammatory bowel diseases: to the of the issue.炎症性肠病中的动脉粥样硬化性心血管疾病:深入探讨该问题。 (你提供的原文“to the of the issue”表述不完整,可能影响准确理解,以上译文是基于推测尽量完善后的内容)
Front Cardiovasc Med. 2023 May 16;10:1143293. doi: 10.3389/fcvm.2023.1143293. eCollection 2023.
9
Nonalcoholic Fatty Liver Disease Increases Cardiovascular Risk in Inflammatory Bowel Diseases.非酒精性脂肪性肝病增加炎症性肠病的心血管风险。
Crohns Colitis 360. 2023 Feb 2;5(1):otad004. doi: 10.1093/crocol/otad004. eCollection 2023 Jan.
炎症性肠病与动脉粥样硬化性心血管疾病:美国心脏病学会评论专题之炎症性肠病周
J Am Coll Cardiol. 2020 Dec 15;76(24):2895-2905. doi: 10.1016/j.jacc.2020.10.027.
4
Sociodemographic Disparities in Influenza Vaccination Among Adults With Atherosclerotic Cardiovascular Disease in the United States.美国动脉粥样硬化性心血管疾病成人中流感疫苗接种的社会人口统计学差异。
JAMA Cardiol. 2021 Jan 1;6(1):87-91. doi: 10.1001/jamacardio.2020.3978.
5
Performance of Guideline Recommendations for Prevention of Myocardial Infarction in Young Adults.年轻成年人预防心肌梗死指南推荐的实施情况。
J Am Coll Cardiol. 2020 Aug 11;76(6):653-664. doi: 10.1016/j.jacc.2020.06.030.
6
Autoimmune Rheumatic Diseases and Premature Atherosclerotic Cardiovascular Disease: An Analysis From the VITAL Registry.自身免疫性风湿病与早发动脉粥样硬化性心血管病:来自 VITAL 注册研究的分析。
Am J Med. 2020 Dec;133(12):1424-1432.e1. doi: 10.1016/j.amjmed.2020.05.026. Epub 2020 Jun 26.
7
Burden and Consequences of Financial Hardship From Medical Bills Among Nonelderly Adults With Diabetes Mellitus in the United States.美国非老年糖尿病成年人医疗费用导致的经济困难负担及后果
Circ Cardiovasc Qual Outcomes. 2020 Feb;13(2):e006139. doi: 10.1161/CIRCOUTCOMES.119.006139. Epub 2020 Feb 6.
8
Heart Disease and Stroke Statistics-2020 Update: A Report From the American Heart Association.《心脏病与卒中统计-2020 更新:来自美国心脏协会的报告》。
Circulation. 2020 Mar 3;141(9):e139-e596. doi: 10.1161/CIR.0000000000000757. Epub 2020 Jan 29.
9
Targeting Inflammation to Reduce Atherosclerotic Cardiovascular Risk in People With HIV Infection.针对炎症以降低HIV感染者的动脉粥样硬化性心血管疾病风险
J Am Heart Assoc. 2020 Feb 4;9(3):e014873. doi: 10.1161/JAHA.119.014873. Epub 2020 Jan 24.
10
The microbiome and inflammatory bowel disease.肠道微生物群与炎症性肠病。
J Allergy Clin Immunol. 2020 Jan;145(1):16-27. doi: 10.1016/j.jaci.2019.11.003.