Centre for Innovation and Stimulation of Drug Discovery (CISTIM), Gaston Geenslaan 2, 3001 Leuven, Belgium.
Laboratory of Virology and Chemotherapy, KU Leuven, Department of Microbiology, Immunology and Transplantation, Rega Institute for Medical Research, Herestraat 49, 3000 Leuven, Belgium.
Molecules. 2022 Feb 4;27(3):1052. doi: 10.3390/molecules27031052.
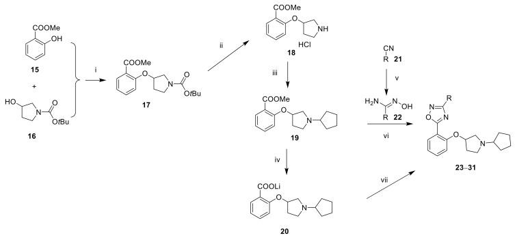
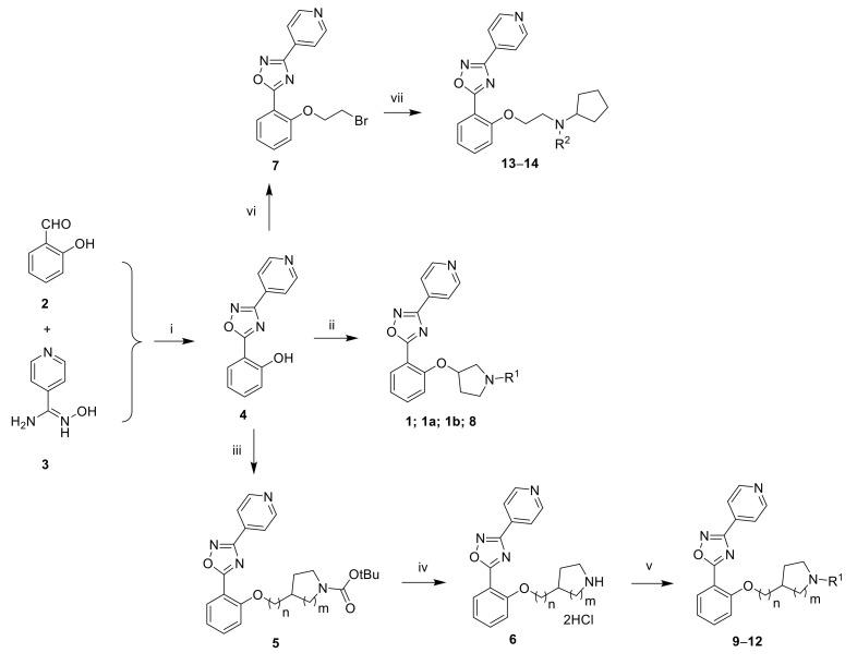
The severe acute respiratory syndrome coronavirus 2 (SARS-CoV-2), the causative agent of COVID-19, has led to a pandemic, that continues to be a huge public health burden. Despite the availability of vaccines, there is still a need for small-molecule antiviral drugs. In an effort to identify novel and drug-like hit matter that can be used for subsequent hit-to-lead optimization campaigns, we conducted a high-throughput screening of a 160 K compound library against SARS-CoV-2, yielding a 1-heteroaryl-2-alkoxyphenyl analog as a promising hit. Antiviral profiling revealed this compound was active against various beta-coronaviruses and preliminary mode-of-action experiments demonstrated that it interfered with viral entry. A systematic structure-activity relationship (SAR) study demonstrated that a 3- or 4-pyridyl moiety on the oxadiazole moiety is optimal, whereas the oxadiazole can be replaced by various other heteroaromatic cycles. In addition, the alkoxy group tolerates some structural diversity.
严重急性呼吸综合征冠状病毒 2(SARS-CoV-2)是 COVID-19 的病原体,导致了大流行,仍然是一个巨大的公共卫生负担。尽管有疫苗可用,但仍需要小分子抗病毒药物。为了寻找可用于后续从命中发现先导化合物优化的新型药物样命中物质,我们对针对 SARS-CoV-2 的 160 K 化合物库进行了高通量筛选,得到了一个 1-杂芳基-2-烷氧基苯基类似物作为有前途的命中。抗病毒分析显示,该化合物对各种β冠状病毒有效,初步作用模式实验表明它干扰了病毒进入。系统的构效关系(SAR)研究表明,恶二唑上的 3-或 4-吡啶基部分是最佳的,而恶二唑可以被各种其他杂芳环取代。此外,烷氧基基团可以容忍一些结构多样性。