• 文献检索
  • 文档翻译
  • 深度研究
  • 学术资讯
  • Suppr Zotero 插件Zotero 插件
  • 邀请有礼
  • 套餐&价格
  • 历史记录
应用&插件
Suppr Zotero 插件Zotero 插件浏览器插件Mac 客户端Windows 客户端微信小程序
定价
高级版会员购买积分包购买API积分包
服务
文献检索文档翻译深度研究API 文档MCP 服务
关于我们
关于 Suppr公司介绍联系我们用户协议隐私条款
关注我们

Suppr 超能文献

核心技术专利:CN118964589B侵权必究
粤ICP备2023148730 号-1Suppr @ 2026

文献检索

告别复杂PubMed语法,用中文像聊天一样搜索,搜遍4000万医学文献。AI智能推荐,让科研检索更轻松。

立即免费搜索

文件翻译

保留排版,准确专业,支持PDF/Word/PPT等文件格式,支持 12+语言互译。

免费翻译文档

深度研究

AI帮你快速写综述,25分钟生成高质量综述,智能提取关键信息,辅助科研写作。

立即免费体验

伴有玻璃膜疣样色素上皮脱离的眼中晚期年龄相关性黄斑变性的发病率和风险。

Incidence and risk of advanced age-related macular degeneration in eyes with drusenoid pigment epithelial detachment.

作者信息

Shijo Taiyo, Sakurada Yoichi, Tanaka Koji, Miki Akiko, Sugiyama Atsushi, Onoe Hajime, Chubachi Aya, Kikushima Wataru, Wakatsuki Yu, Yoneyama Seigo, Mori Ryusaburo, Kashiwagi Kenji

机构信息

Department of Ophthalmology, Faculty of Medicine, University of Yamanashi, Shimokato 1110, Chuo, 409-3821, Yamanashi, Japan.

Department of Ophthalmology, Nihon University School of Medicine, Tokyo, Japan.

出版信息

Sci Rep. 2022 Mar 18;12(1):4715. doi: 10.1038/s41598-022-08626-x.

DOI:10.1038/s41598-022-08626-x
PMID:35304557
原文链接:https://pmc.ncbi.nlm.nih.gov/articles/PMC8933473/
Abstract

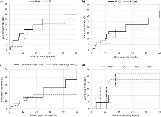
To investigate the incidence and risk of advanced age-related macular degeneration (AMD), including geographic atrophy (GA) and macular neovascularization (MNV), in eyes with drusenoid pigment epithelial detachment (PED). Eighty-five eyes with drusenoid PED from 85 patients (77.2 ± 7.0 years, male/female: 44/41) were included in this study. Patients were followed up every 1-3 months via spectral-domain optical coherence tomography (SD-OCT) and color fundus photography. If exudation was observed on SD-OCT, fluorescein and indocyanine green angiography were performed to confirm the MNV subtype accordingly. The maximum follow-up period was 60 months. During the study period, GA developed in 8 eyes while MNV also developed in 8 eyes. The Kaplan-Meier estimator revealed that the cumulative incidence for 60 months was 17.9% and 12.2% for GA and MNV, respectively. In eyes developing MNV, retinal angiomatous proliferation was the most common. Cox regression analysis revealed that baseline PED width was the only factor associated with advanced AMD. (p = 0.0026, Cox regression analysis). The 5-year cumulative incidence of advanced AMD, including GA and MNV, was approximately 30% in eyes with drusenoid PED among the Japanese elderly. A larger baseline PED width was the only risk factor for advanced AMD.

摘要

为了研究类玻璃膜疣色素上皮脱离(PED)眼发生晚期年龄相关性黄斑变性(AMD)(包括地图样萎缩(GA)和黄斑新生血管形成(MNV))的发生率和风险。本研究纳入了85例患者的85只类玻璃膜疣PED眼(年龄77.2±7.0岁,男/女:44/41)。通过频域光学相干断层扫描(SD-OCT)和彩色眼底照相术对患者进行每1 - 3个月一次的随访。如果在SD-OCT上观察到渗出,则相应地进行荧光素和吲哚菁绿血管造影以确认MNV亚型。最长随访期为60个月。在研究期间,8只眼发生了GA,8只眼也发生了MNV。Kaplan-Meier估计显示,GA和MNV在60个月时的累积发生率分别为17.9%和12.2%。在发生MNV的眼中,视网膜血管瘤样增殖最为常见。Cox回归分析显示,基线PED宽度是与晚期AMD相关的唯一因素(p = 0.0026,Cox回归分析)。在日本老年人中,类玻璃膜疣PED眼中包括GA和MNV在内的晚期AMD的5年累积发生率约为30%。较大的基线PED宽度是晚期AMD的唯一危险因素。

https://cdn.ncbi.nlm.nih.gov/pmc/blobs/e535/8933473/8758badc8c09/41598_2022_8626_Fig4_HTML.jpg
https://cdn.ncbi.nlm.nih.gov/pmc/blobs/e535/8933473/d7e179f915f6/41598_2022_8626_Fig1_HTML.jpg
https://cdn.ncbi.nlm.nih.gov/pmc/blobs/e535/8933473/d6ccedc7b796/41598_2022_8626_Fig2_HTML.jpg
https://cdn.ncbi.nlm.nih.gov/pmc/blobs/e535/8933473/2f7f4c8d4c78/41598_2022_8626_Fig3_HTML.jpg
https://cdn.ncbi.nlm.nih.gov/pmc/blobs/e535/8933473/8758badc8c09/41598_2022_8626_Fig4_HTML.jpg
https://cdn.ncbi.nlm.nih.gov/pmc/blobs/e535/8933473/d7e179f915f6/41598_2022_8626_Fig1_HTML.jpg
https://cdn.ncbi.nlm.nih.gov/pmc/blobs/e535/8933473/d6ccedc7b796/41598_2022_8626_Fig2_HTML.jpg
https://cdn.ncbi.nlm.nih.gov/pmc/blobs/e535/8933473/2f7f4c8d4c78/41598_2022_8626_Fig3_HTML.jpg
https://cdn.ncbi.nlm.nih.gov/pmc/blobs/e535/8933473/8758badc8c09/41598_2022_8626_Fig4_HTML.jpg

相似文献

1
Incidence and risk of advanced age-related macular degeneration in eyes with drusenoid pigment epithelial detachment.伴有玻璃膜疣样色素上皮脱离的眼中晚期年龄相关性黄斑变性的发病率和风险。
Sci Rep. 2022 Mar 18;12(1):4715. doi: 10.1038/s41598-022-08626-x.
2
Histologic and Optical Coherence Tomographic Correlates in Drusenoid Pigment Epithelium Detachment in Age-Related Macular Degeneration.年龄相关性黄斑变性中玻璃膜疣样色素上皮脱离的组织学与光学相干断层扫描相关性
Ophthalmology. 2017 May;124(5):644-656. doi: 10.1016/j.ophtha.2016.12.034. Epub 2017 Jan 30.
3
CUTICULAR DRUSEN: Risk of Geographic Atrophy and Macular Neovascularization.角质层微囊: 地图状萎缩和黄斑新生血管的风险。
Retina. 2020 Feb;40(2):257-265. doi: 10.1097/IAE.0000000000002399.
4
Drusen Volume as a Predictor of Disease Progression in Patients With Late Age-Related Macular Degeneration in the Fellow Eye.玻璃膜疣体积作为对侧眼晚期年龄相关性黄斑变性患者疾病进展的预测指标
Invest Ophthalmol Vis Sci. 2016 Apr;57(4):1839-46. doi: 10.1167/iovs.15-18572.
5
Retinal pigment epithelium hyperplasia overlying pigment epithelial detachment in age-related macular degeneration can masquerade as neovascularization on optical coherence tomography angiography.年龄相关性黄斑变性中,色素上皮脱离上方的视网膜色素上皮增生在光学相干断层扫描血管造影上可伪装成新生血管形成。
Graefes Arch Clin Exp Ophthalmol. 2018 Dec;256(12):2283-2291. doi: 10.1007/s00417-018-4138-y. Epub 2018 Sep 18.
6
Clinical features of drusenoid pigment epithelial detachment in age related macular degeneration.年龄相关性黄斑变性中玻璃膜疣样色素上皮脱离的临床特征
Br J Ophthalmol. 2004 May;88(5):638-42. doi: 10.1136/bjo.2003.017632.
7
Long-term Choroidal Thickness Changes in Eyes With Drusenoid Pigment Epithelium Detachment.有玻璃膜疣样色素上皮脱离的眼中脉络膜厚度的长期变化。
Am J Ophthalmol. 2018 Jul;191:23-33. doi: 10.1016/j.ajo.2018.03.038. Epub 2018 Apr 3.
8
Topographic analysis of local OCT biomarkers which predict progression to atrophy in age-related macular degeneration.年龄相关性黄斑变性中预测萎缩进展的局部 OCT 生物标志物的地形分析。
Graefes Arch Clin Exp Ophthalmol. 2024 Jul;262(7):2083-2091. doi: 10.1007/s00417-024-06389-x. Epub 2024 Feb 1.
9
Non-neovascular age-related macular degeneration with subretinal fluid.伴有视网膜下液的非新生血管性年龄相关性黄斑变性
Br J Ophthalmol. 2021 Oct;105(10):1415-1420. doi: 10.1136/bjophthalmol-2020-317326. Epub 2020 Sep 12.
10
Subretinal drusenoid deposits associated with pigment epithelium detachment in age-related macular degeneration.与年龄相关性黄斑变性相关的色素上皮脱离的视网膜下类脂沉积。
Retina. 2012 Oct;32(9):1727-32. doi: 10.1097/IAE.0b013e3182475b03.

引用本文的文献

1
Genetic Factors Associated with Intraocular Inflammation After Brolucizumab Administration in Patients with Exudative Age-Related Macular Degeneration.与布罗鲁单抗治疗渗出性年龄相关性黄斑变性患者后眼内炎症相关的遗传因素
Genes (Basel). 2025 Jul 1;16(7):797. doi: 10.3390/genes16070797.
2
Long-term outcomes of drusenoid retinal pigment epithelium detachment in eyes with age-related macular degeneration.年龄相关性黄斑变性患者中玻璃膜疣样视网膜色素上皮脱离的长期预后
Indian J Ophthalmol. 2025 Jun 1;73(6):843-846. doi: 10.4103/IJO.IJO_1966_24. Epub 2025 May 28.
3
Updates on novel and traditional OCT and OCTA biomarkers in nAMD.

本文引用的文献

1
Progression from intermediate to neovascular age-related macular degeneration according to drusen subtypes: Bundang AMD cohort study report 3.根据玻璃膜疣亚型从中间型到新生血管性年龄相关性黄斑变性的进展:盆唐年龄相关性黄斑变性队列研究报告3
Acta Ophthalmol. 2022 May;100(3):e710-e718. doi: 10.1111/aos.14960. Epub 2021 Aug 12.
2
Drusen and pigment abnormality predict the development of neovascular age-related macular degeneration in Japanese patients.玻璃膜疣和色素异常可预测日本患者新生血管性年龄相关性黄斑变性的发生。
PLoS One. 2021 Jul 27;16(7):e0255213. doi: 10.1371/journal.pone.0255213. eCollection 2021.
3
Drusenoid Pigment Epithelial Detachment: Genetic and Clinical Characteristics.
湿性年龄相关性黄斑变性中新型和传统光学相干断层扫描(OCT)及光学相干断层扫描血管造影(OCTA)生物标志物的最新进展
Eye (Lond). 2025 Apr 19. doi: 10.1038/s41433-025-03801-6.
4
Automated Detection of Drusenoid Pigment Epithelial Detachments From Spectral-Domain Optical Coherence Tomography in Patients With AMD.AMD 患者的光谱域光学相干断层扫描中对渗出性色素上皮脱离的自动检测。
Transl Vis Sci Technol. 2024 Nov 4;13(11):25. doi: 10.1167/tvst.13.11.25.
5
Baseline optical coherence tomography angiography biomarkers predict visual outcomes in treatment-naïve neovascular age-related macular degeneration patients.基线光学相干断层扫描血管造影生物标志物可预测未经治疗的新生血管性年龄相关性黄斑变性患者的视力结局。
Sci Rep. 2024 Oct 18;14(1):24528. doi: 10.1038/s41598-024-75530-x.
6
OCTDL: Optical Coherence Tomography Dataset for Image-Based Deep Learning Methods.OCTDL:基于图像的深度学习方法的光学相干层析成像数据集。
Sci Data. 2024 Apr 11;11(1):365. doi: 10.1038/s41597-024-03182-7.
7
Morphometric Risk Factors for Drusenoid Pigment Epithelium Detachment Collapse and Retinal Pigment Epithelium Atrophy Expansion.形态计量学危险因素与 (DR) 渗出性色素上皮脱离性塌陷和视网膜色素上皮萎缩扩展相关。
Invest Ophthalmol Vis Sci. 2023 Dec 1;64(15):38. doi: 10.1167/iovs.64.15.38.
8
Faricimab in neovascular AMD: first report of real-world outcomes in an independent retina clinic.法西单抗治疗新生血管性年龄相关性黄斑变性:独立视网膜诊所真实世界结局的首次报告。
Eye (Lond). 2023 Oct;37(15):3282-3289. doi: 10.1038/s41433-023-02505-z. Epub 2023 Mar 23.
DRUSENOID 色素上皮脱离:遗传和临床特征。
Int J Mol Sci. 2021 Apr 15;22(8):4074. doi: 10.3390/ijms22084074.
4
Lipid Signaling in Ocular Neovascularization.脂质信号在眼部新生血管中的作用。
Int J Mol Sci. 2020 Jul 4;21(13):4758. doi: 10.3390/ijms21134758.
5
Clinical and genetic characteristics of pachydrusen in patients with exudative age-related macular degeneration.渗出型年龄相关性黄斑变性患者的盘状硬性渗出的临床和遗传学特征。
Sci Rep. 2019 Aug 15;9(1):11906. doi: 10.1038/s41598-019-48494-6.
6
Pseudodrusen pattern and development of late age-related macular degeneration in the fellow eye of the unilateral case.单侧病例对侧眼的假性小体模式和晚期年龄相关性黄斑变性的发展。
Jpn J Ophthalmol. 2019 Sep;63(5):374-381. doi: 10.1007/s10384-019-00680-9. Epub 2019 Jul 2.
7
Natural History of Drusenoid Pigment Epithelial Detachment Associated with Age-Related Macular Degeneration: Age-Related Eye Disease Study 2 Report No. 17.年龄相关性黄斑变性相关的渗出性色素上皮脱离的自然史:年龄相关性眼病研究 2 报告第 17 号。
Ophthalmology. 2019 Feb;126(2):261-273. doi: 10.1016/j.ophtha.2018.08.017. Epub 2018 Aug 22.
8
Long-term Choroidal Thickness Changes in Eyes With Drusenoid Pigment Epithelium Detachment.有玻璃膜疣样色素上皮脱离的眼中脉络膜厚度的长期变化。
Am J Ophthalmol. 2018 Jul;191:23-33. doi: 10.1016/j.ajo.2018.03.038. Epub 2018 Apr 3.
9
Prevalence and characteristics of pseudodrusen subtypes in advanced age-related macular degeneration.高龄相关性黄斑变性中假性玻璃膜疣亚型的患病率及特征
Graefes Arch Clin Exp Ophthalmol. 2017 Jun;255(6):1125-1131. doi: 10.1007/s00417-017-3622-0. Epub 2017 Mar 1.
10
PREDICTIVE FACTORS FOR DEVELOPMENT OF NEOVASCULAR AGE-RELATED MACULAR DEGENERATION: A Spectral-Domain Optical Coherence Tomography Study.预测新生血管性年龄相关性黄斑变性的发生因素:一项频域光学相干断层扫描研究。
Retina. 2018 Feb;38(2):245-252. doi: 10.1097/IAE.0000000000001540.