• 文献检索
  • 文档翻译
  • 深度研究
  • 学术资讯
  • Suppr Zotero 插件Zotero 插件
  • 邀请有礼
  • 套餐&价格
  • 历史记录
应用&插件
Suppr Zotero 插件Zotero 插件浏览器插件Mac 客户端Windows 客户端微信小程序
定价
高级版会员购买积分包购买API积分包
服务
文献检索文档翻译深度研究API 文档MCP 服务
关于我们
关于 Suppr公司介绍联系我们用户协议隐私条款
关注我们

Suppr 超能文献

核心技术专利:CN118964589B侵权必究
粤ICP备2023148730 号-1Suppr @ 2026

文献检索

告别复杂PubMed语法,用中文像聊天一样搜索,搜遍4000万医学文献。AI智能推荐,让科研检索更轻松。

立即免费搜索

文件翻译

保留排版,准确专业,支持PDF/Word/PPT等文件格式,支持 12+语言互译。

免费翻译文档

深度研究

AI帮你快速写综述,25分钟生成高质量综述,智能提取关键信息,辅助科研写作。

立即免费体验

预测创伤性脑损伤的结果:机器学习是最佳方法吗?

Predicting Outcome of Traumatic Brain Injury: Is Machine Learning the Best Way?

作者信息

Bruschetta Roberta, Tartarisco Gennaro, Lucca Lucia Francesca, Leto Elio, Ursino Maria, Tonin Paolo, Pioggia Giovanni, Cerasa Antonio

机构信息

Institute for Biomedical Research and Innovation (IRIB), National Research Council of Italy (CNR), 98164 Messina, Italy.

Department of Engineering, Università Campus Bio-Medico di Roma, Via Alvaro del Portillo 21, 00128 Rome, Italy.

出版信息

Biomedicines. 2022 Mar 16;10(3):686. doi: 10.3390/biomedicines10030686.

DOI:10.3390/biomedicines10030686
PMID:35327488
原文链接:https://pmc.ncbi.nlm.nih.gov/articles/PMC8945356/
Abstract

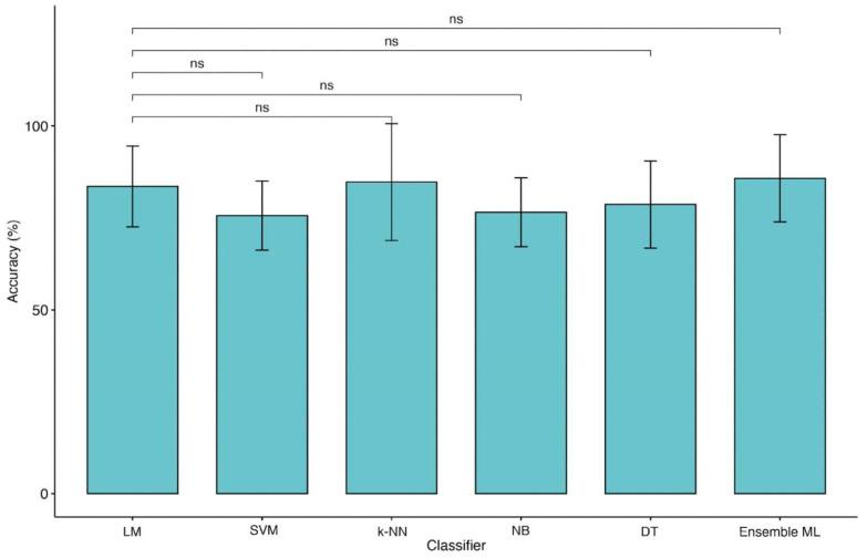
One of the main challenges in traumatic brain injury (TBI) patients is to achieve an early and definite prognosis. Despite the recent development of algorithms based on artificial intelligence for the identification of these prognostic factors relevant for clinical practice, the literature lacks a rigorous comparison among classical regression and machine learning (ML) models. This study aims at providing this comparison on a sample of TBI patients evaluated at baseline (T0), after 3 months from the event (T1), and at discharge (T2). A Classical Linear Regression Model (LM) was compared with independent performances of Support Vector Machine (SVM), k-Nearest Neighbors (k-NN), Naïve Bayes (NB) and Decision Tree (DT) algorithms, together with an ensemble ML approach. The accuracy was similar among LM and ML algorithms on the analyzed sample when two classes of outcome (Positive vs. Negative) approach was used, whereas the NB algorithm showed the worst performance. This study highlights the utility of comparing traditional regression modeling to ML, particularly when using a small number of reliable predictor variables after TBI. The dataset of clinical data used to train ML algorithms will be publicly available to other researchers for future comparisons.

摘要

创伤性脑损伤(TBI)患者面临的主要挑战之一是实现早期明确的预后。尽管最近基于人工智能开发了用于识别这些与临床实践相关的预后因素的算法,但文献中缺乏对经典回归模型和机器学习(ML)模型的严格比较。本研究旨在对一组在基线(T0)、事件发生后3个月(T1)和出院时(T2)进行评估的TBI患者样本进行这种比较。将经典线性回归模型(LM)与支持向量机(SVM)、k近邻(k-NN)、朴素贝叶斯(NB)和决策树(DT)算法的独立性能进行比较,并结合一种集成ML方法。当使用两类结果(阳性与阴性)方法时,LM和ML算法在分析样本上的准确性相似,而NB算法表现最差。本研究强调了将传统回归建模与ML进行比较的实用性,特别是在TBI后使用少量可靠预测变量时。用于训练ML算法的临床数据数据集将向其他研究人员公开,以供未来比较。

https://cdn.ncbi.nlm.nih.gov/pmc/blobs/f69d/8945356/31505165ee33/biomedicines-10-00686-g005.jpg
https://cdn.ncbi.nlm.nih.gov/pmc/blobs/f69d/8945356/780ea85ff491/biomedicines-10-00686-g001.jpg
https://cdn.ncbi.nlm.nih.gov/pmc/blobs/f69d/8945356/ceffe9f1f7e0/biomedicines-10-00686-g002.jpg
https://cdn.ncbi.nlm.nih.gov/pmc/blobs/f69d/8945356/aaed1d8ae157/biomedicines-10-00686-g003.jpg
https://cdn.ncbi.nlm.nih.gov/pmc/blobs/f69d/8945356/e0b59847dea7/biomedicines-10-00686-g004.jpg
https://cdn.ncbi.nlm.nih.gov/pmc/blobs/f69d/8945356/31505165ee33/biomedicines-10-00686-g005.jpg
https://cdn.ncbi.nlm.nih.gov/pmc/blobs/f69d/8945356/780ea85ff491/biomedicines-10-00686-g001.jpg
https://cdn.ncbi.nlm.nih.gov/pmc/blobs/f69d/8945356/ceffe9f1f7e0/biomedicines-10-00686-g002.jpg
https://cdn.ncbi.nlm.nih.gov/pmc/blobs/f69d/8945356/aaed1d8ae157/biomedicines-10-00686-g003.jpg
https://cdn.ncbi.nlm.nih.gov/pmc/blobs/f69d/8945356/e0b59847dea7/biomedicines-10-00686-g004.jpg
https://cdn.ncbi.nlm.nih.gov/pmc/blobs/f69d/8945356/31505165ee33/biomedicines-10-00686-g005.jpg

相似文献

1
Predicting Outcome of Traumatic Brain Injury: Is Machine Learning the Best Way?预测创伤性脑损伤的结果:机器学习是最佳方法吗?
Biomedicines. 2022 Mar 16;10(3):686. doi: 10.3390/biomedicines10030686.
2
Application of machine learning to predict the outcome of pediatric traumatic brain injury.机器学习在预测小儿外伤性脑损伤结果中的应用。
Chin J Traumatol. 2021 Nov;24(6):350-355. doi: 10.1016/j.cjtee.2021.06.003. Epub 2021 Jun 8.
3
Application of Machine Learning Algorithms for Prognostic Assessment in Rotator Cuff Pathologies: A Clinical Data-Based Approach.机器学习算法在肩袖损伤病理预后评估中的应用:基于临床数据的方法
Diagnostics (Basel). 2023 Sep 11;13(18):2915. doi: 10.3390/diagnostics13182915.
4
Comparison of Supervised Machine Learning Algorithms for Classifying of Home Discharge Possibility in Convalescent Stroke Patients: A Secondary Analysis.基于机器学习的监督算法在恢复期脑卒中患者居家康复可能性分类中的比较:二次分析。
J Stroke Cerebrovasc Dis. 2021 Oct;30(10):106011. doi: 10.1016/j.jstrokecerebrovasdis.2021.106011. Epub 2021 Jul 26.
5
Development and validation of consensus machine learning-based models for the prediction of novel small molecules as potential anti-tubercular agents.开发和验证基于共识机器学习的模型,用于预测新型小分子作为潜在的抗结核药物。
Mol Divers. 2022 Jun;26(3):1345-1356. doi: 10.1007/s11030-021-10238-y. Epub 2021 Jun 10.
6
Machine Learning to Predict In-Hospital Morbidity and Mortality after Traumatic Brain Injury.机器学习预测创伤性脑损伤后的住院期间发病率和死亡率。
J Neurotrauma. 2020 Jan 1;37(1):202-210. doi: 10.1089/neu.2018.6276. Epub 2019 Sep 18.
7
Machine learning applications for the prediction of surgical site infection in neurological operations.机器学习在神经外科手术部位感染预测中的应用。
Neurosurg Focus. 2019 Aug 1;47(2):E7. doi: 10.3171/2019.5.FOCUS19241.
8
Machine Learning Approaches to Predict Chronic Lower Back Pain in People Aged over 50 Years.机器学习方法预测 50 岁以上人群的慢性下腰痛
Medicina (Kaunas). 2021 Nov 11;57(11):1230. doi: 10.3390/medicina57111230.
9
Do we need different machine learning algorithms for QSAR modeling? A comprehensive assessment of 16 machine learning algorithms on 14 QSAR data sets.我们是否需要不同的机器学习算法来进行定量构效关系建模?对 16 种机器学习算法在 14 个定量构效关系数据集上的综合评估。
Brief Bioinform. 2021 Jul 20;22(4). doi: 10.1093/bib/bbaa321.
10
Vertebral Column Pathology Diagnosis Using Ensemble Strategies Based on Supervised Machine Learning Techniques.基于监督式机器学习技术的集成策略用于脊柱病理学诊断
Healthcare (Basel). 2024 Jul 2;12(13):1324. doi: 10.3390/healthcare12131324.

引用本文的文献

1
Artificial intelligence in traumatic brain injury: Brain imaging analysis and outcome prediction: A mini review.创伤性脑损伤中的人工智能:脑成像分析与结果预测:一篇综述
World J Crit Care Med. 2025 Sep 9;14(3):107611. doi: 10.5492/wjccm.v14.i3.107611.
2
Comparison of Machine Learning Models in Predicting Mental Health Sequelae Following Concussion in Youth.机器学习模型在预测青少年脑震荡后心理健康后遗症中的比较
AMIA Jt Summits Transl Sci Proc. 2025 Jun 10;2025:422-431. eCollection 2025.
3
Comparison of Machine Learning Models in Predicting Mental Health Sequelae Following Concussion in Youth.

本文引用的文献

1
Diagnostic Developments in Differentiating Unresponsive Wakefulness Syndrome and the Minimally Conscious State.鉴别无反应性觉醒综合征和最低意识状态的诊断进展
Front Neurol. 2022 Jan 13;12:778951. doi: 10.3389/fneur.2021.778951. eCollection 2021.
2
Prognostic Factors in Neurorehabilitation of Stroke: A Comparison among Regression, Neural Network, and Cluster Analyses.中风神经康复中的预后因素:回归分析、神经网络分析和聚类分析的比较
Brain Sci. 2021 Aug 29;11(9):1147. doi: 10.3390/brainsci11091147.
3
Application of machine learning to predict the outcome of pediatric traumatic brain injury.
机器学习模型在预测青少年脑震荡后心理健康后遗症中的比较
medRxiv. 2025 Jan 3:2025.01.02.24319733. doi: 10.1101/2025.01.02.24319733.
4
Machine learning-based prediction of clinical outcomes after traumatic brain injury: Hidden information of early physiological time series.基于机器学习的创伤性脑损伤后临床结局预测:早期生理时间序列的隐藏信息。
CNS Neurosci Ther. 2024 Jul;30(7):e14848. doi: 10.1111/cns.14848.
5
Integrating unsupervised and supervised learning techniques to predict traumatic brain injury: A population-based study.整合无监督和监督学习技术以预测创伤性脑损伤:一项基于人群的研究。
Intell Based Med. 2023;8. doi: 10.1016/j.ibmed.2023.100118. Epub 2023 Nov 8.
6
Traumatic Brain Injury Rehabilitation Outcome Prediction Using Machine Learning Methods.使用机器学习方法预测创伤性脑损伤的康复结果
Arch Rehabil Res Clin Transl. 2023 Oct 2;5(4):100295. doi: 10.1016/j.arrct.2023.100295. eCollection 2023 Dec.
7
Machine Learning Approach for the Prediction of In-Hospital Mortality in Traumatic Brain Injury Using Bio-Clinical Markers at Presentation to the Emergency Department.使用急诊科就诊时的生物临床标志物,通过机器学习方法预测创伤性脑损伤患者的院内死亡率
Diagnostics (Basel). 2023 Aug 5;13(15):2605. doi: 10.3390/diagnostics13152605.
8
Application of Machine Learning Models for Early Detection and Accurate Classification of Type 2 Diabetes.机器学习模型在2型糖尿病早期检测与准确分类中的应用
Diagnostics (Basel). 2023 Jul 15;13(14):2383. doi: 10.3390/diagnostics13142383.
9
Machine learning and network analysis for diagnosis and prediction in disorders of consciousness.机器学习和网络分析在意识障碍中的诊断和预测。
BMC Med Inform Decis Mak. 2023 Feb 28;23(1):41. doi: 10.1186/s12911-023-02128-0.
10
Prognosis prediction in traumatic brain injury patients using machine learning algorithms.利用机器学习算法预测创伤性脑损伤患者的预后。
Sci Rep. 2023 Jan 18;13(1):960. doi: 10.1038/s41598-023-28188-w.
机器学习在预测小儿外伤性脑损伤结果中的应用。
Chin J Traumatol. 2021 Nov;24(6):350-355. doi: 10.1016/j.cjtee.2021.06.003. Epub 2021 Jun 8.
4
Random Forest-Based Prediction of Outcome and Mortality in Patients with Traumatic Brain Injury Undergoing Primary Decompressive Craniectomy.基于随机森林的原发性去骨瓣减压术后创伤性脑损伤患者预后和死亡率预测。
World Neurosurg. 2021 Apr;148:e450-e458. doi: 10.1016/j.wneu.2021.01.002. Epub 2021 Jan 12.
5
Predicting Outcome of Acquired Brain Injury by the Evolution of Paroxysmal Sympathetic Hyperactivity Signs.通过阵发性交感神经过度兴奋体征的演变预测获得性脑损伤的预后
J Neurotrauma. 2021 Jul 15;38(14):1988-1994. doi: 10.1089/neu.2020.7302. Epub 2021 Jan 27.
6
The Impact of Medical Complications in Predicting the Rehabilitation Outcome of Patients With Disorders of Consciousness After Severe Traumatic Brain Injury.医疗并发症对重度创伤性脑损伤后意识障碍患者康复结局的预测影响
Front Hum Neurosci. 2020 Oct 21;14:570544. doi: 10.3389/fnhum.2020.570544. eCollection 2020.
7
Role of LCF scale as an outcome prognostic index in patients with traumatic brain injury.LCF 量表作为创伤性脑损伤患者预后指标的作用。
Neurol Sci. 2021 Jul;42(7):2747-2752. doi: 10.1007/s10072-020-04852-1. Epub 2020 Oct 29.
8
Prediction of in-hospital mortality in patients with post traumatic brain injury using National Trauma Registry and Machine Learning Approach.应用国家创伤登记处和机器学习方法预测创伤性脑损伤患者的院内死亡率。
Scand J Trauma Resusc Emerg Med. 2020 May 27;28(1):44. doi: 10.1186/s13049-020-00738-5.
9
Machine learning algorithms performed no better than regression models for prognostication in traumatic brain injury.机器学习算法在预测创伤性脑损伤方面并不比回归模型表现得更好。
J Clin Epidemiol. 2020 Jun;122:95-107. doi: 10.1016/j.jclinepi.2020.03.005. Epub 2020 Mar 20.
10
Prediction of Early TBI Mortality Using a Machine Learning Approach in a LMIC Population.在低收入和中等收入国家人群中使用机器学习方法预测早期创伤性脑损伤死亡率
Front Neurol. 2020 Jan 24;10:1366. doi: 10.3389/fneur.2019.01366. eCollection 2019.