Suppr超能文献

杂交增加了在喀麦隆感染人类的埃及血吸虫种群的遗传多样性。

Hybridization increases genetic diversity in Schistosoma haematobium populations infecting humans in Cameroon.

机构信息

Faculty of Heath Science, Mountain University, P.O. Box 208, Bangangté, Cameroon.

IHPE Lab UMR 5244 CNRS, IFREMER, UPVD, UM, 66000, Perpignan, France.

出版信息

Infect Dis Poverty. 2022 Mar 26;11(1):37. doi: 10.1186/s40249-022-00958-0.

Abstract

BACKGROUND

Hybrids between Schistosoma haematobium (Sh) and S. bovis (Sb) have been found in several African countries as well as in Europe. Since the consequences of this hybridization are still unknown, this study aims to verify the presence of such hybrids in Cameroonian humans, to describe the structure of S. haematobium populations on a large geographic scale, and to examine the impact of these hybrids on genetic diversity and structure of these populations.

METHODS

From January to April 2019, urine from infected children was collected in ten geographically distinct populations. Miracidia were collected from eggs in this urine. To detect the presence of hybrids among these miracidia we genotyped both Cox1 (RD-PCR) and ITS2 gene (PCR-RFLP). Population genetic diversity and structure was assessed by genotyping each miracidium with a panel of 14 microsatellite markers. Gene diversity was measured using both heterozygosity and allelic richness indexes, and genetic structure was analyzed using paired Fst, PCA and Bayesian approaches.

RESULTS

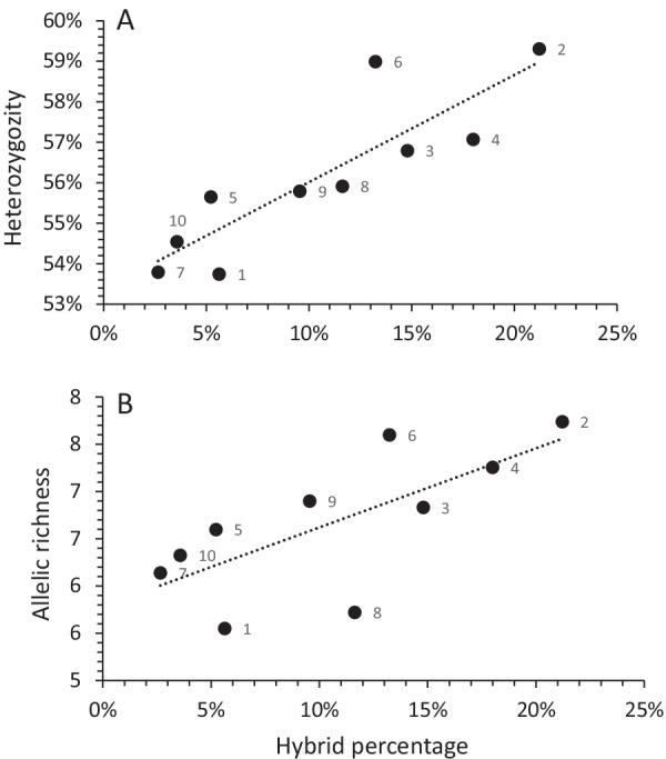
Of the 1327 miracidia studied, 88.7% were identified as pure genotypes of S. haematobium (Sh_Sh/Sh) while the remaining 11.3% were hybrids (7.0% with Sh_Sh/Sb, 3.7% with Sb_Sb/Sh and 0.4% with Sb_Sh/Sb). No miracidium has been identified as a pure genotype of S. bovis. Allelic richness ranged from 5.55 (Loum population) to 7.73 (Matta-Barrage) and differed significantly between populations. Mean heterozygosity ranged from 53.7% (Loum) to 59% (Matta Barrage) with no significant difference. The overall genetic differentiation inferred either by a principal component analysis or by the Bayesian approach shows a partial structure. Southern populations (Loum and Matta Barrage) were clearly separated from other localities but genetic differentiation between northern localities was limited, certainly due to the geographic proximity between these sites.

CONCLUSIONS

Hybrids between S. haematobium and S. bovis were identified in 11.3% of miracidia that hatched from eggs present in the urine of Cameroonian schoolchildren. The percentages of these hybrids are correlated with the genetic diversity of the parasite, indicating that hybridization increases genetic diversity in our sampling sites. Hybridization is therefore a major biological process that shapes the genetic diversity of S. haematobium.

摘要

背景

在多个非洲国家以及欧洲都发现了埃及血吸虫(Sh)和牛血吸虫(Sb)之间的杂交种。由于这种杂交的后果尚不清楚,本研究旨在验证喀麦隆人类中是否存在这种杂交种,描述大地理范围内埃及血吸虫种群的结构,并检查这些杂种对这些种群遗传多样性和结构的影响。

方法

2019 年 1 月至 4 月,从 10 个地理位置不同的人群中收集感染儿童的尿液。从这些尿液中的卵中收集尾蚴。为了检测这些尾蚴中是否存在杂种,我们对 Cox1(RD-PCR)和 ITS2 基因(PCR-RFLP)进行了基因分型。通过用 14 个微卫星标记的面板对每个尾蚴进行基因分型,评估了种群遗传多样性和结构。使用杂合度和等位基因丰富度指数测量基因多样性,并使用配对 Fst、PCA 和贝叶斯方法分析遗传结构。

结果

在所研究的 1327 尾蚴中,88.7%被鉴定为纯埃及血吸虫基因型(Sh_Sh/Sh),而其余 11.3%为杂种(7.0%为 Sh_Sh/Sb,3.7%为 Sb_Sb/Sh,0.4%为 Sb_Sh/Sb)。未鉴定出纯牛血吸虫基因型的尾蚴。等位基因丰富度范围从 5.55(Loum 种群)到 7.73(Matta-Barrage),不同种群之间差异显著。平均杂合度范围从 53.7%(Loum)到 59%(Matta Barrage),无显著差异。主成分分析或贝叶斯方法推断的总遗传分化显示出部分结构。南部种群(Loum 和 Matta Barrage)与其他地点明显分离,但北部地点之间的遗传分化有限,这肯定是由于这些地点之间的地理位置接近。

结论

在喀麦隆学童尿液中的卵孵化的尾蚴中,鉴定出埃及血吸虫和牛血吸虫之间的杂种占 11.3%。这些杂种的百分比与寄生虫的遗传多样性相关,表明杂交在我们的采样地点增加了遗传多样性。因此,杂交是塑造埃及血吸虫遗传多样性的主要生物学过程。

https://cdn.ncbi.nlm.nih.gov/pmc/blobs/0ae2/8962594/b4db5349f81d/40249_2022_958_Fig1_HTML.jpg

文献检索

告别复杂PubMed语法,用中文像聊天一样搜索,搜遍4000万医学文献。AI智能推荐,让科研检索更轻松。

立即免费搜索

文件翻译

保留排版,准确专业,支持PDF/Word/PPT等文件格式,支持 12+语言互译。

免费翻译文档

深度研究

AI帮你快速写综述,25分钟生成高质量综述,智能提取关键信息,辅助科研写作。

立即免费体验