Suppr超能文献

在儿童中,比较实时 MRI 在自由呼吸期间和标准电影 MRI 在屏气期间的心脏容积测量。

Comparison of cardiac volumetry using real-time MRI during free-breathing with standard cine MRI during breath-hold in children.

机构信息

Department of General Pediatrics, Neonatology and Pediatric Cardiology, University Children's Hospital, Moorenstr. 5, 40225, Dusseldorf, Germany.

Department of Diagnostic and Interventional Radiology, Medical Faculty, Heinrich Heine University, Dusseldorf, Germany.

出版信息

Pediatr Radiol. 2022 Jul;52(8):1462-1475. doi: 10.1007/s00247-022-05327-5. Epub 2022 Mar 30.

Abstract

BACKGROUND

Cardiac real-time magnetic resonance imaging (RT-MRI) provides high-quality images even during free-breathing. Difficulties in post-processing impede its use in clinical routine.

OBJECTIVE

To demonstrate the feasibility of quantitative analysis of cardiac free-breathing RT-MRI and to compare image quality and volumetry during free-breathing RT-MRI in pediatric patients to standard breath-hold cine MRI.

MATERIALS AND METHODS

Pediatric patients (n = 22) received cardiac RT-MRI volumetry during free breathing (1.5 T; short axis; 30 frames per s) in addition to standard breath-hold cine imaging in end-expiration. Real-time images were binned retrospectively based on electrocardiography and respiratory bellows. Image quality and volumetry were compared using the European Cardiovascular Magnetic Resonance registry score, structure visibility rating, linear regression and Bland-Altman analyses.

RESULTS

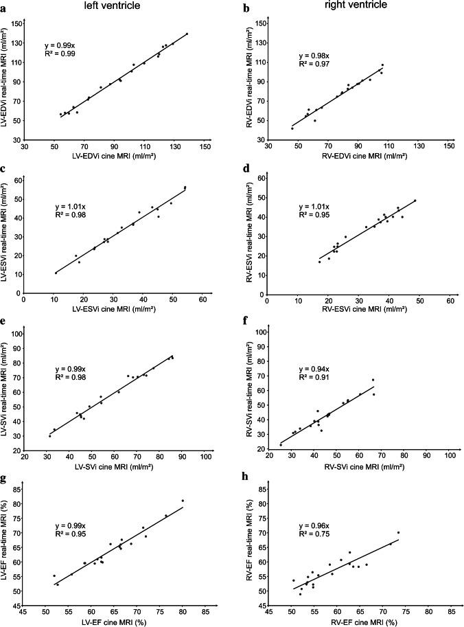
Additional time for binning of real-time images was 2 min. For both techniques, image quality was rated good to excellent. RT-MRI was significantly more robust against artifacts (P < 0.01). Linear regression revealed good correlations for the ventricular volumes. Bland-Altman plots showed a good limit of agreement (LoA) for end-diastolic volume (left ventricle [LV]: LoA -0.1 ± 2.7 ml/m, right ventricle [RV]: LoA -1.9 ± 3.4 ml/m), end-systolic volume (LV: LoA 0.4 ± 1.9 ml/m, RV: LoA 0.6 ± 2.0 ml/m), stroke volume (LV: LoA -0.5 ± 2.3 ml/m, RV: LoA -2.6 ± 3.3 ml/m) and ejection fraction (LV: LoA -0.5 ± 1.6%, RV: LoA -2.1 ± 2.8%).

CONCLUSION

Compared to standard cine MRI with breath hold, RT-MRI during free breathing with retrospective respiratory binning offers good image quality, reduced image artifacts enabling fast quantitative evaluations of ventricular volumes in clinical practice under physiological conditions.

摘要

背景

心脏实时磁共振成像(RT-MRI)即使在自由呼吸时也能提供高质量的图像。后处理的困难阻碍了其在临床常规中的应用。

目的

展示心脏自由呼吸 RT-MRI 定量分析的可行性,并比较儿科患者在自由呼吸 RT-MRI 期间的图像质量和容积与标准屏气电影 MRI 的差异。

材料与方法

儿科患者(n=22)在呼气末接受标准屏气电影 MRI 的同时,还在 1.5 T 进行心脏 RT-MRI 容积测量(短轴;30 帧/秒)。实时图像根据心电图和呼吸波纹管进行回顾性分组。使用欧洲心血管磁共振注册评分、结构可视性评分、线性回归和 Bland-Altman 分析比较图像质量和容积。

结果

实时图像分组额外用时 2 分钟。两种技术的图像质量均评为良好至优秀。RT-MRI 对伪影的稳健性明显更高(P<0.01)。线性回归显示心室容积具有良好的相关性。Bland-Altman 图显示舒张末期容积(左心室 [LV]:LoA -0.1±2.7 ml/m,右心室 [RV]:LoA -1.9±3.4 ml/m)、收缩末期容积(LV:LoA 0.4±1.9 ml/m,RV:LoA 0.6±2.0 ml/m)、心搏量(LV:LoA -0.5±2.3 ml/m,RV:LoA -2.6±3.3 ml/m)和射血分数(LV:LoA -0.5±1.6%,RV:LoA -2.1±2.8%)的一致性良好。

结论

与标准屏气电影 MRI 相比,自由呼吸 RT-MRI 采用回顾性呼吸分组可提供良好的图像质量,减少图像伪影,使快速定量评估心室容积成为生理条件下的临床实践。

https://cdn.ncbi.nlm.nih.gov/pmc/blobs/9476/9271116/87e8af830601/247_2022_5327_Fig1_HTML.jpg

文献检索

告别复杂PubMed语法,用中文像聊天一样搜索,搜遍4000万医学文献。AI智能推荐,让科研检索更轻松。

立即免费搜索

文件翻译

保留排版,准确专业,支持PDF/Word/PPT等文件格式,支持 12+语言互译。

免费翻译文档

深度研究

AI帮你快速写综述,25分钟生成高质量综述,智能提取关键信息,辅助科研写作。

立即免费体验