Mou Yifei, Sun Quanxi, Yuan Cuiling, Zhao Xiaobo, Wang Juan, Yan Caixia, Li Chunjuan, Shan Shihua
Shandong Peanut Research Institute, Qingdao, China.
Front Plant Sci. 2022 Mar 9;13:832785. doi: 10.3389/fpls.2022.832785. eCollection 2022.
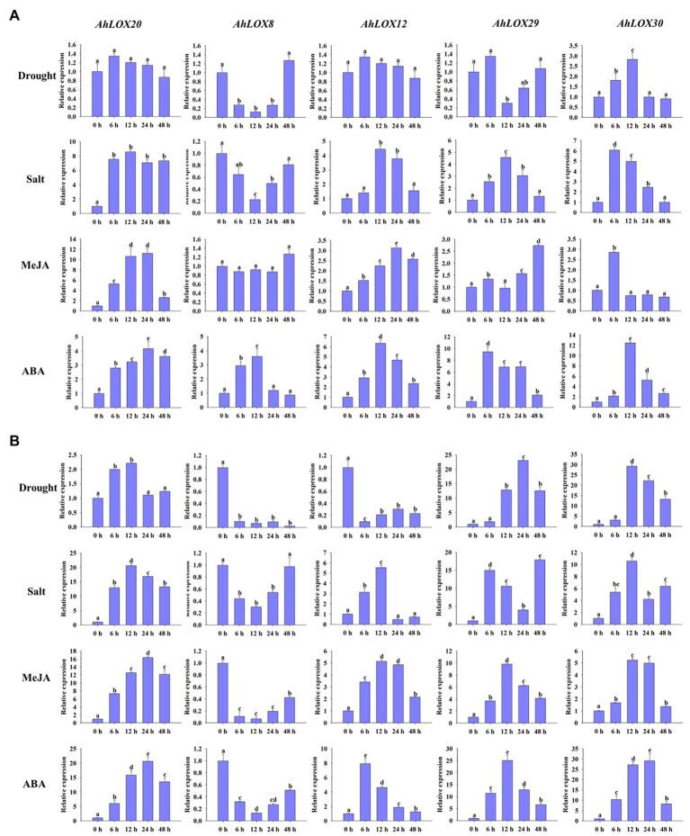
Lipoxygenases (LOXs) are a gene family of nonheme iron-containing dioxygenases that play important roles in plant development and defense responses. To date, a comprehensive analysis of genes and their biological functions in response to abiotic stresses in peanut has not been performed. In this study, a total of 72 putative genes were identified in cultivated () and wild-type peanut ( and ) and classified into three subfamilies: 9-LOX, type I 13-LOX and type II 13-LOX. The gene structures and protein motifs of these peanut LOX genes were highly conserved among most LOXs. We found that the chromosomal distribution of peanut LOXs was not random and that gene duplication played a crucial role in the expansion of the LOX gene family. Cis-acting elements related to development, hormones, and biotic and abiotic stresses were identified in the promoters of peanut genes. The expression patterns of peanut genes were tissue-specific and stress-inducible. Quantitative real-time PCR results further confirmed that peanut gene expression could be induced by drought, salt, methyl jasmonate and abscisic acid treatments, and these genes exhibited diverse expression patterns. Furthermore, overexpression of in enhanced the resistance to drought stress. Compared with wide-type, -overexpressing plants showed significantly decreased malondialdehyde contents, as well as increased chlorophyll degradation, proline accumulation and superoxide dismutase activity, suggesting that the transgenic plants exhibit strengthened capacity to scavenge reactive oxygen species and prevent membrane damage. This systematic study provides valuable information about the functional characteristics of AhLOXs in the regulation of abiotic stress responses of peanut.
脂氧合酶(LOXs)是一类含非血红素铁的双加氧酶基因家族,在植物发育和防御反应中发挥重要作用。迄今为止,尚未对花生中响应非生物胁迫的基因及其生物学功能进行全面分析。在本研究中,在栽培花生()和野生型花生(和)中总共鉴定出72个推定基因,并将其分为三个亚家族:9-LOX、I型13-LOX和II型13-LOX。这些花生LOX基因的基因结构和蛋白质基序在大多数LOX中高度保守。我们发现花生LOXs的染色体分布并非随机,并且基因复制在LOX基因家族的扩展中起关键作用。在花生基因的启动子中鉴定出与发育、激素以及生物和非生物胁迫相关的顺式作用元件。花生基因的表达模式具有组织特异性且受胁迫诱导。定量实时PCR结果进一步证实,干旱、盐、茉莉酸甲酯和脱落酸处理可诱导花生基因表达,并且这些基因表现出不同的表达模式。此外,在中过表达增强了对干旱胁迫的抗性。与野生型相比,过表达植株的丙二醛含量显著降低,同时叶绿素降解增加、脯氨酸积累和超氧化物歧化酶活性增强,这表明转基因植株清除活性氧和防止膜损伤的能力增强。这项系统研究为AhLOXs在花生非生物胁迫反应调控中的功能特性提供了有价值的信息。