• 文献检索
  • 文档翻译
  • 深度研究
  • 学术资讯
  • Suppr Zotero 插件Zotero 插件
  • 邀请有礼
  • 套餐&价格
  • 历史记录
应用&插件
Suppr Zotero 插件Zotero 插件浏览器插件Mac 客户端Windows 客户端微信小程序
定价
高级版会员购买积分包购买API积分包
服务
文献检索文档翻译深度研究API 文档MCP 服务
关于我们
关于 Suppr公司介绍联系我们用户协议隐私条款
关注我们

Suppr 超能文献

核心技术专利:CN118964589B侵权必究
粤ICP备2023148730 号-1Suppr @ 2026

文献检索

告别复杂PubMed语法,用中文像聊天一样搜索,搜遍4000万医学文献。AI智能推荐,让科研检索更轻松。

立即免费搜索

文件翻译

保留排版,准确专业,支持PDF/Word/PPT等文件格式,支持 12+语言互译。

免费翻译文档

深度研究

AI帮你快速写综述,25分钟生成高质量综述,智能提取关键信息,辅助科研写作。

立即免费体验

转录组学和非靶向代谢组学分析揭示 中的类黄酮生物合成途径。

Transcriptomic and Non-Targeted Metabolomic Analyses Reveal the Flavonoid Biosynthesis Pathway in .

机构信息

Shandong Provincial Key Laboratory of Agricultural Microbiology, College of Plant Protection, Shandong Agricultural University, Tai'an 271018, China.

Shandong Mushroom Industiral Technology Innonation Research Institute, Jining 272000, China.

出版信息

Molecules. 2022 Apr 4;27(7):2334. doi: 10.3390/molecules27072334.

DOI:10.3390/molecules27072334
PMID:35408732
原文链接:https://pmc.ncbi.nlm.nih.gov/articles/PMC9000485/
Abstract

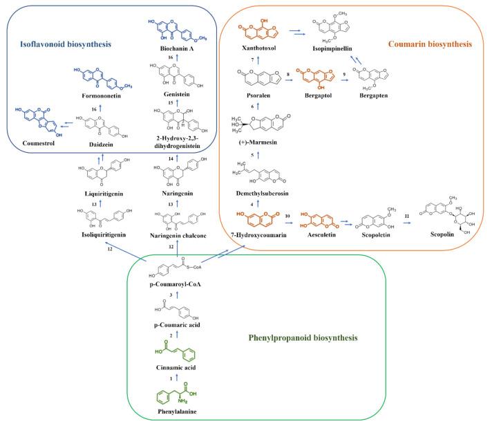
Flavonoids, which are abundant in plants, are recognized for their antioxidant and anticancer roles in clinical applications. However, little is known about the molecular basis of flavonoid biosynthesis in fungi. In this study, we found that inclusion of leachate of Korshinsk peashrub () in the fermentation medium increased the total flavonoid content of the edible fungus by 23.6% relative to that grown in a control medium. Combined transcriptomic and non-targeted metabolomic analysis of the flavonoid biosynthesis pathway in illustrated that there are important metabolites in the phenylpropanoid, coumarin and isoflavonoid biosynthesis pathways. In addition, we found that certain homologous genes encode phenylalanine ammonia lyase (PAL), polyphenol oxidase (PPO) and chalcone isomerase (CHI) in these biosynthesis pathways. These results, in this study, provide a new line for studying the regulation of flavonoid production in edible fungi.

摘要

类黄酮在植物中含量丰富,其在临床应用中具有抗氧化和抗癌作用已得到认可。然而,关于真菌中类黄酮生物合成的分子基础知之甚少。在这项研究中,我们发现,在发酵培养基中加入沙棘叶浸提液可使食用真菌的总类黄酮含量相对于对照培养基中生长的真菌增加 23.6%。对 中类黄酮生物合成途径的转录组和非靶向代谢组学分析表明,在苯丙烷、香豆素和异黄酮生物合成途径中有重要代谢物。此外,我们发现这些生物合成途径中的某些同源基因编码苯丙氨酸解氨酶(PAL)、多酚氧化酶(PPO)和查尔酮异构酶(CHI)。本研究结果为研究食用真菌中类黄酮的生产调控提供了新途径。

https://cdn.ncbi.nlm.nih.gov/pmc/blobs/9d64/9000485/a6528f827fc4/molecules-27-02334-g005.jpg
https://cdn.ncbi.nlm.nih.gov/pmc/blobs/9d64/9000485/8679bd2fdb49/molecules-27-02334-g001.jpg
https://cdn.ncbi.nlm.nih.gov/pmc/blobs/9d64/9000485/6471cc778836/molecules-27-02334-g002.jpg
https://cdn.ncbi.nlm.nih.gov/pmc/blobs/9d64/9000485/064b396e03e4/molecules-27-02334-g003.jpg
https://cdn.ncbi.nlm.nih.gov/pmc/blobs/9d64/9000485/94fed51f7ddb/molecules-27-02334-g004.jpg
https://cdn.ncbi.nlm.nih.gov/pmc/blobs/9d64/9000485/a6528f827fc4/molecules-27-02334-g005.jpg
https://cdn.ncbi.nlm.nih.gov/pmc/blobs/9d64/9000485/8679bd2fdb49/molecules-27-02334-g001.jpg
https://cdn.ncbi.nlm.nih.gov/pmc/blobs/9d64/9000485/6471cc778836/molecules-27-02334-g002.jpg
https://cdn.ncbi.nlm.nih.gov/pmc/blobs/9d64/9000485/064b396e03e4/molecules-27-02334-g003.jpg
https://cdn.ncbi.nlm.nih.gov/pmc/blobs/9d64/9000485/94fed51f7ddb/molecules-27-02334-g004.jpg
https://cdn.ncbi.nlm.nih.gov/pmc/blobs/9d64/9000485/a6528f827fc4/molecules-27-02334-g005.jpg

相似文献

1
Transcriptomic and Non-Targeted Metabolomic Analyses Reveal the Flavonoid Biosynthesis Pathway in .转录组学和非靶向代谢组学分析揭示 中的类黄酮生物合成途径。
Molecules. 2022 Apr 4;27(7):2334. doi: 10.3390/molecules27072334.
2
Integrated transcriptomic and metabolomic analyses elucidate the mechanism of flavonoid biosynthesis in the regulation of mulberry seed germination under salt stress.综合转录组学和代谢组学分析阐明了黄酮类生物合成在调控盐胁迫下桑椹种子萌发中的作用机制。
BMC Plant Biol. 2024 Feb 21;24(1):132. doi: 10.1186/s12870-024-04804-3.
3
Integrated Transcriptomic and Metabolomic analysis reveals a transcriptional regulation network for the biosynthesis of carotenoids and flavonoids in 'Cara cara' navel Orange.综合转录组学和代谢组学分析揭示了‘Cara cara’脐橙类胡萝卜素和类黄酮生物合成的转录调控网络。
BMC Plant Biol. 2021 Jan 7;21(1):29. doi: 10.1186/s12870-020-02808-3.
4
Integrative transcriptomic and metabolomic analyses reveal the phenylpropanoid and flavonoid biosynthesis of Prunus mume.综合转录组学和代谢组学分析揭示了梅花中苯丙烷类和类黄酮类生物合成途径。
J Plant Res. 2024 Jan;137(1):95-109. doi: 10.1007/s10265-023-01500-5. Epub 2023 Nov 8.
5
Combined Metabolomics and Transcriptomics Analysis of the Distribution of Flavonoids in the Fibrous Root and Taproot of Coll.et Hemsl.结合代谢组学和转录组学分析川牛膝纤维根和主根中类黄酮的分布
Genes (Basel). 2024 Jun 22;15(7):828. doi: 10.3390/genes15070828.
6
Phenylalanine ammonia lyase is more relevant than Chalcone synthase and Chalcone isomerase in the biosynthesis of flavonoids during postharvest senescence of broccoli.苯丙氨酸解氨酶在花椰菜采后衰老过程中黄酮类生物合成中的作用比查尔酮合酶和查尔酮异构酶更重要。
J Food Biochem. 2022 Feb;46(2):e14054. doi: 10.1111/jfbc.14054. Epub 2022 Jan 16.
7
Metabolomics and transcriptome analysis of the biosynthesis mechanism of flavonoids in the seeds of Euryale ferox Salisb at different developmental stages.不同发育阶段芡实种子中黄酮类化合物生物合成机制的代谢组学和转录组学分析。
Mol Genet Genomics. 2021 Jul;296(4):953-970. doi: 10.1007/s00438-021-01790-1. Epub 2021 May 19.
8
Drought stress-responsive abscisic acid and salicylic acid crosstalk with the phenylpropanoid pathway in soybean seeds.干旱胁迫响应下脱落酸和水杨酸与大豆种子中苯丙烷类途径的相互作用
Physiol Plant. 2023 Sep-Oct;175(5):e14050. doi: 10.1111/ppl.14050.
9
A Comparison of the Flavonoid Biosynthesis Mechanisms of Species by Analyzing the Transcriptome and Metabolome.通过分析转录组和代谢组比较 种黄酮类生物合成机制。
Int J Mol Sci. 2022 Oct 9;23(19):11980. doi: 10.3390/ijms231911980.
10
Metabolomics and transcriptomics provide insights into the flavonoid biosynthesis pathway in the roots of developing Aster tataricus.代谢组学和转录组学为研究紫菀属植物根中类黄酮生物合成途径提供了新视角。
J Plant Res. 2023 Jan;136(1):139-156. doi: 10.1007/s10265-022-01426-4. Epub 2022 Dec 15.

引用本文的文献

1
Flavonoids as key players in cold tolerance: molecular insights and applications in horticultural crops.黄酮类化合物在耐寒性中的关键作用:分子见解及在园艺作物中的应用
Hortic Res. 2025 Jan 2;12(4):uhae366. doi: 10.1093/hr/uhae366. eCollection 2025 Apr.
2
The Metabolomic Profiling of the Flavonoid Compounds in Red Wine Grapes and the Impact of Training Systems in the Southern Subtropical Region of China.中国南方亚热带地区红葡萄中类黄酮化合物的代谢组学分析及栽培制度的影响。
Int J Mol Sci. 2024 Aug 7;25(16):8624. doi: 10.3390/ijms25168624.
3
Integrative Analysis of Transcriptome and Metabolome Sheds Light on Flavonoid Biosynthesis in the Fruiting Body of .

本文引用的文献

1
The MADS-box transcription factor regulates secondary metabolism in .MADS-box 转录因子调控的次生代谢产物在中的合成。
Mycologia. 2021 Jan-Feb;113(1):12-19. doi: 10.1080/00275514.2020.1810515. Epub 2020 Oct 21.
2
The Genome of the Medicinal Macrofungus Provides Insights Into the Synthesis of Diverse Secondary Metabolites.药用大型真菌的基因组为多种次生代谢产物的合成提供了见解。
Front Microbiol. 2020 Jan 14;10:3035. doi: 10.3389/fmicb.2019.03035. eCollection 2019.
3
Pathway enzyme engineering for flavonoid production in recombinant microbes.
转录组和代谢组的综合分析揭示了……子实体中黄酮类生物合成的奥秘。(原文中“the Fruiting Body of.”后面缺少具体内容)
J Fungi (Basel). 2024 Mar 27;10(4):254. doi: 10.3390/jof10040254.
4
Secrets of Flavonoid Synthesis in Mushroom Cells.蘑菇细胞中类黄酮合成的奥秘。
Cells. 2022 Sep 29;11(19):3052. doi: 10.3390/cells11193052.
重组微生物中黄酮类化合物生产的途径酶工程
Metab Eng Commun. 2019 Oct 17;9:e00104. doi: 10.1016/j.mec.2019.e00104. eCollection 2019 Dec.
4
MetaboLights: a resource evolving in response to the needs of its scientific community.代谢组学文献共享资源库(MetaboLights):一个响应其科研群体需求而不断发展的资源库。
Nucleic Acids Res. 2020 Jan 8;48(D1):D440-D444. doi: 10.1093/nar/gkz1019.
5
Anti-inflammatory effects of flavonoids.黄酮类化合物的抗炎作用。
Food Chem. 2019 Nov 30;299:125124. doi: 10.1016/j.foodchem.2019.125124. Epub 2019 Jul 3.
6
Validation of reference genes for quantitative gene expression analysis in Auricularia cornea.验证银耳角膜定量基因表达分析中参考基因的有效性。
J Microbiol Methods. 2019 Aug;163:105658. doi: 10.1016/j.mimet.2019.105658. Epub 2019 Jun 26.
7
Enhanced Ganoderic Acids Accumulation and Transcriptional Responses of Biosynthetic Genes in Fruiting Bodies by Elicitation Supplementation.通过添加诱导物来增强灵芝酸的积累和生物合成基因的转录响应。
Int J Mol Sci. 2019 Jun 10;20(11):2830. doi: 10.3390/ijms20112830.
8
Evaluation of bioactivities and phenolic contents of wild edible mushrooms from northeastern Thailand.泰国东北部野生可食用蘑菇的生物活性和酚类成分评估。
Food Sci Biotechnol. 2017 Dec 12;27(1):193-202. doi: 10.1007/s10068-017-0237-5. eCollection 2018 Feb.
9
Flavonoid subclasses and type 2 diabetes mellitus risk: a meta-analysis of prospective cohort studies.类黄酮亚类与 2 型糖尿病风险:前瞻性队列研究的荟萃分析。
Crit Rev Food Sci Nutr. 2019;59(17):2850-2862. doi: 10.1080/10408398.2018.1476964. Epub 2019 Jan 21.
10
Proteomic Analysis Revealed the Fruiting-Body Protein Profile of Auricularia polytricha.蛋白质组学分析揭示了毛木耳子实体的蛋白质谱。
Curr Microbiol. 2017 Aug;74(8):943-951. doi: 10.1007/s00284-017-1268-0. Epub 2017 May 29.