• 文献检索
  • 文档翻译
  • 深度研究
  • 学术资讯
  • Suppr Zotero 插件Zotero 插件
  • 邀请有礼
  • 套餐&价格
  • 历史记录
应用&插件
Suppr Zotero 插件Zotero 插件浏览器插件Mac 客户端Windows 客户端微信小程序
定价
高级版会员购买积分包购买API积分包
服务
文献检索文档翻译深度研究API 文档MCP 服务
关于我们
关于 Suppr公司介绍联系我们用户协议隐私条款
关注我们

Suppr 超能文献

核心技术专利:CN118964589B侵权必究
粤ICP备2023148730 号-1Suppr @ 2026

文献检索

告别复杂PubMed语法,用中文像聊天一样搜索,搜遍4000万医学文献。AI智能推荐,让科研检索更轻松。

立即免费搜索

文件翻译

保留排版,准确专业,支持PDF/Word/PPT等文件格式,支持 12+语言互译。

免费翻译文档

深度研究

AI帮你快速写综述,25分钟生成高质量综述,智能提取关键信息,辅助科研写作。

立即免费体验

质子泵抑制剂降低吉非替尼或厄洛替尼治疗晚期肺癌患者的生存率。

Proton pump inhibitors reduce the survival of advanced lung cancer patients with therapy of gefitinib or erlotinib.

机构信息

School of Pharmacy, College of Pharmacy, Kaohsiung Medical University, 100, Shih-Chuan 1st Road, Kaohsiung, 807, Taiwan.

Department of Pharmacy, Kaohsiung Medical University Hospital, Kaohsiung Medical University, Kaohsiung, Taiwan.

出版信息

Sci Rep. 2022 Apr 29;12(1):7002. doi: 10.1038/s41598-022-10938-x.

DOI:10.1038/s41598-022-10938-x
PMID:35488047
原文链接:https://pmc.ncbi.nlm.nih.gov/articles/PMC9054789/
Abstract

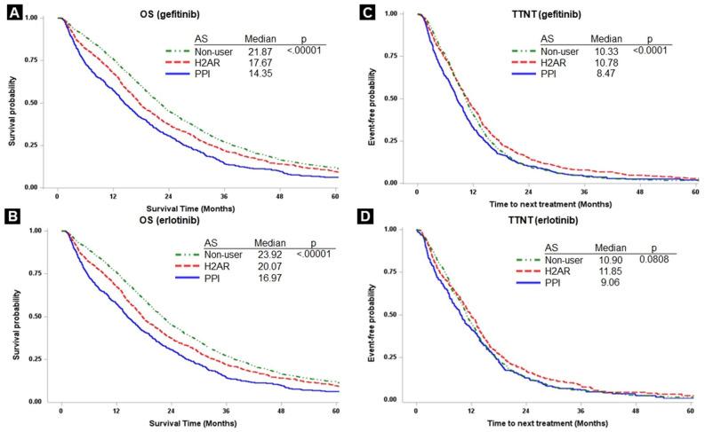
Gefitinib and erlotinib are the first-line tyrosine kinase inhibitors (TKI) for advanced non-small-cell lung cancer. However, co-administration of either drug with proton pump inhibitors (PPI) or histamine-2 receptor antagonists (H2RA) may reduce TKI's bioavailability. Therefore, we aimed to investigate the effects of these drug-drug interactions. We surveyed nationwide population-based databases between Jan 1, 2010, and Dec 30, 2018. Newly diagnosed patients with advanced lung adenocarcinoma who received first-line gefitinib or erlotinib were identified. Effects on overall survival (OS) and time to next treatment (TTNT) association between PPIs or H2RAs and co-administrated gefitinib or erlotinib were evaluated. PPIs or H2RAs users were defined if the period overlapped with TKIs by ≥ 20%. A total of 4340 gefitinib and 1635 erlotinib users were included. PPI group had the shortest median OS and TTNT compared to the H2RA and non-user groups (in gefitinib cohort: OS: 14.35 vs. 17.67 vs. 21.87 months; P < 0.0001, TTNT: 8.47 vs. 10.78 vs. 10.33 months; P < 0.0001); (in erlotinib cohort: OS: 16.97 vs. 20.07 vs. 23.92 months; P < 0.0001, TTNT: 9.06 vs. 11.85 vs. 10.90 months; P = 0.0808). Compared with the non-user group, the adjusted hazard ratio (aHR) of the PPI group in the gefitinib was 1.58 on OS (95% CI 1.42-1.76), 1.37 on TTNT (95% CI 1.24-1.52); in the erlotinib was 1.54 on OS (95% CI 1.30-1.82) and 1.19 on TTNT (95% CI 1.01-1.39). Concurrent use of PPIs with first-line gefitinib or erlotinib therapy was associated with a worse OS and TTNT in patients with lung adenocarcinoma harboring EGFR mutations.

摘要

吉非替尼和厄洛替尼是晚期非小细胞肺癌的一线酪氨酸激酶抑制剂(TKI)。然而,质子泵抑制剂(PPI)或组胺-2 受体拮抗剂(H2RA)与这些药物的联合使用可能会降低 TKI 的生物利用度。因此,我们旨在研究这些药物-药物相互作用的影响。我们调查了 2010 年 1 月 1 日至 2018 年 12 月 30 日期间全国范围内的基于人群的数据库。确定了接受一线吉非替尼或厄洛替尼治疗的晚期肺腺癌新诊断患者。评估了 PPI 或 H2RA 与联合应用吉非替尼或厄洛替尼之间对总生存期(OS)和下一次治疗时间(TTNT)的影响。如果 PPI 或 H2RA 的使用期与 TKI 重叠时间≥20%,则将其定义为 PPI 或 H2RA 用户。共纳入 4340 例吉非替尼和 1635 例厄洛替尼使用者。与 H2RA 组和非使用者组相比,PPI 组的中位 OS 和 TTNT 最短(在吉非替尼队列中:OS:14.35 比 17.67 比 21.87 个月;P<0.0001,TTNT:8.47 比 10.78 比 10.33 个月;P<0.0001);(在厄洛替尼队列中:OS:16.97 比 20.07 比 23.92 个月;P<0.0001,TTNT:9.06 比 11.85 比 10.90 个月;P=0.0808)。与非使用者组相比,吉非替尼 PPI 组的调整后的危害比(aHR)在 OS 方面为 1.58(95%CI 1.42-1.76),在 TTNT 方面为 1.37(95%CI 1.24-1.52);在厄洛替尼中,OS 为 1.54(95%CI 1.30-1.82),TTNT 为 1.19(95%CI 1.01-1.39)。在携带 EGFR 突变的肺腺癌患者中,一线吉非替尼或厄洛替尼治疗联合使用 PPI 与较差的 OS 和 TTNT 相关。

https://cdn.ncbi.nlm.nih.gov/pmc/blobs/786f/9054789/ff9e3dcacf55/41598_2022_10938_Fig3_HTML.jpg
https://cdn.ncbi.nlm.nih.gov/pmc/blobs/786f/9054789/5d09891bbe68/41598_2022_10938_Fig1_HTML.jpg
https://cdn.ncbi.nlm.nih.gov/pmc/blobs/786f/9054789/87886644f94d/41598_2022_10938_Fig2_HTML.jpg
https://cdn.ncbi.nlm.nih.gov/pmc/blobs/786f/9054789/ff9e3dcacf55/41598_2022_10938_Fig3_HTML.jpg
https://cdn.ncbi.nlm.nih.gov/pmc/blobs/786f/9054789/5d09891bbe68/41598_2022_10938_Fig1_HTML.jpg
https://cdn.ncbi.nlm.nih.gov/pmc/blobs/786f/9054789/87886644f94d/41598_2022_10938_Fig2_HTML.jpg
https://cdn.ncbi.nlm.nih.gov/pmc/blobs/786f/9054789/ff9e3dcacf55/41598_2022_10938_Fig3_HTML.jpg

相似文献

1
Proton pump inhibitors reduce the survival of advanced lung cancer patients with therapy of gefitinib or erlotinib.质子泵抑制剂降低吉非替尼或厄洛替尼治疗晚期肺癌患者的生存率。
Sci Rep. 2022 Apr 29;12(1):7002. doi: 10.1038/s41598-022-10938-x.
2
Clinical Impact of Gastric Acid-Suppressing Medication Use on the Efficacy of Erlotinib and Gefitinib in Patients With Advanced Non-Small-Cell Lung Cancer Harboring EGFR Mutations.使用胃酸抑制药物对携带EGFR突变的晚期非小细胞肺癌患者中厄洛替尼和吉非替尼疗效的临床影响
Clin Lung Cancer. 2016 Sep;17(5):412-418. doi: 10.1016/j.cllc.2016.01.006. Epub 2016 Feb 5.
3
Clinical impact of tetracyclines and/or proton pump inhibitors on the efficacy of epidermal growth factor receptor inhibitors in non-small cell lung cancer: a retrospective cohort study.四环素类药物和/或质子泵抑制剂对表皮生长因子受体抑制剂治疗非小细胞肺癌疗效的临床影响:一项回顾性队列研究。
BMC Cancer. 2023 Feb 13;23(1):151. doi: 10.1186/s12885-023-10623-w.
4
Comparing survival and subsequent treatment of first-line tyrosine kinase inhibitors in patients of advanced lung adenocarcinoma with epidermal growth factor receptor mutation.比较表皮生长因子受体突变的晚期肺腺癌患者一线酪氨酸激酶抑制剂的生存率及后续治疗情况。
J Formos Med Assoc. 2022 Jan;121(1 Pt 1):170-180. doi: 10.1016/j.jfma.2021.02.012. Epub 2021 Mar 9.
5
Effects of Histamine 2-receptor Antagonists and Proton Pump Inhibitors on the Pharmacokinetics of Gefitinib in Patients With Non-small-cell Lung Cancer.组胺 2 受体拮抗剂和质子泵抑制剂对非小细胞肺癌患者吉非替尼药代动力学的影响。
Clin Lung Cancer. 2017 Nov;18(6):e433-e439. doi: 10.1016/j.cllc.2017.05.010. Epub 2017 May 10.
6
Effect of smoking status on progression-free and overall survival in non-small cell lung cancer patients receiving erlotinib or gefitinib: a meta-analysis.吸烟状态对接受厄洛替尼或吉非替尼治疗的非小细胞肺癌患者无进展生存期和总生存期的影响:一项荟萃分析。
J Clin Pharm Ther. 2015 Dec;40(6):661-71. doi: 10.1111/jcpt.12332. Epub 2015 Nov 17.
7
Gefitinib or erlotinib in previously treated non-small-cell lung cancer patients: a cohort study in Taiwan.吉非替尼或厄洛替尼用于既往治疗过的非小细胞肺癌患者:台湾的一项队列研究
Cancer Med. 2017 Jul;6(7):1563-1572. doi: 10.1002/cam4.1121. Epub 2017 Jun 22.
8
The Clinical Outcomes of Different First-Line EGFR-TKIs Plus Bevacizumab in Advanced EGFR-Mutant Lung Adenocarcinoma.不同一线表皮生长因子受体酪氨酸激酶抑制剂联合贝伐单抗治疗晚期表皮生长因子受体突变肺腺癌的临床疗效
Cancer Res Treat. 2022 Apr;54(2):434-444. doi: 10.4143/crt.2021.671. Epub 2021 Aug 2.
9
First-line treatment of advanced epidermal growth factor receptor (EGFR) mutation positive non-squamous non-small cell lung cancer.晚期表皮生长因子受体(EGFR)突变阳性非鳞状非小细胞肺癌的一线治疗
Cochrane Database Syst Rev. 2016 May 25(5):CD010383. doi: 10.1002/14651858.CD010383.pub2.
10
EGFR kinase inhibitors and gastric acid suppressants in EGFR-mutant NSCLC: a retrospective database analysis of potential drug interaction.表皮生长因子受体(EGFR)激酶抑制剂与胃酸抑制剂在EGFR突变型非小细胞肺癌中的应用:潜在药物相互作用的回顾性数据库分析
Oncotarget. 2016 Dec 20;7(51):85542-85550. doi: 10.18632/oncotarget.13458.

引用本文的文献

1
Optimizing epidermal growth factor receptor-tyrosine kinase inhibitor treatment in lung cancer: a systematic review and meta-analysis of the influence of gastric acid suppressants.优化肺癌中表皮生长因子受体-酪氨酸激酶抑制剂治疗:关于胃酸抑制剂影响的系统评价和荟萃分析
Transl Lung Cancer Res. 2024 Nov 30;13(11):2934-2946. doi: 10.21037/tlcr-24-537. Epub 2024 Nov 18.
2
Use of Drug Sensitisers to Improve Therapeutic Index in Cancer.使用药物增敏剂提高癌症治疗指数
Pharmaceutics. 2024 Jul 11;16(7):928. doi: 10.3390/pharmaceutics16070928.
3
Estimation of CDK inhibitors by RP-HPLC: application for pharmacokinetic interactions studies with PPIs.

本文引用的文献

1
The efficacy of first-line tyrosine kinase inhibitors combined with co-medications in Asian patients with EGFR mutation non-small cell lung cancer.一线酪氨酸激酶抑制剂联合辅助药物治疗亚洲 EGFR 突变型非小细胞肺癌患者的疗效。
Sci Rep. 2020 Sep 11;10(1):14965. doi: 10.1038/s41598-020-71583-w.
2
Impact of Use of Gastric-Acid Suppressants and Oral Anti-Cancer Agents on Survival Outcomes: A Systematic Review and Meta-Analysis.使用胃酸抑制剂和口服抗癌药物对生存结果的影响:一项系统评价和荟萃分析
Cancers (Basel). 2020 Apr 18;12(4):998. doi: 10.3390/cancers12040998.
3
Concurrent proton-pump inhibitors increase risk of death for lung cancer patients receiving 1st-line gefitinib treatment - a nationwide population-based study.
用反相高效液相色谱法(RP-HPLC)估算细胞周期蛋白依赖性激酶抑制剂:在与质子泵抑制剂(PPIs)的药代动力学相互作用研究中的应用。
Bioanalysis. 2024;16(15):801-812. doi: 10.1080/17576180.2024.2372162. Epub 2024 Jul 17.
4
Prognostic impact of concomitant pH-regulating drugs in patients with non-small cell lung cancer receiving epidermal growth factor receptor tyrosine kinase inhibitors: the Tokushukai REAl-world Data project 01-S1.在接受表皮生长因子受体酪氨酸激酶抑制剂治疗的非小细胞肺癌患者中,联合使用pH调节药物的预后影响:德洲会真实世界数据项目01-S1
Cancer Chemother Pharmacol. 2024 Aug;94(2):197-208. doi: 10.1007/s00280-024-04666-4. Epub 2024 Apr 8.
5
Proton Pump Inhibitors and Cyclin-Dependent Kinase 4/6 Inhibitors in Patients With Breast Cancer.质子泵抑制剂和细胞周期蛋白依赖性激酶 4/6 抑制剂在乳腺癌患者中的应用。
Oncologist. 2024 Jun 3;29(6):e741-e749. doi: 10.1093/oncolo/oyae015.
6
Exposure-response relationship of cabozantinib in patients with metastatic renal cell carcinoma treated in routine care.卡博替尼在常规治疗中转移性肾细胞癌患者中的暴露-反应关系。
Br J Cancer. 2024 Apr;130(6):961-969. doi: 10.1038/s41416-024-02585-y. Epub 2024 Jan 25.
7
Drug-drug interactions with proton pump inhibitors in cancer patients: an underrecognized cause of treatment failure.癌症患者中质子泵抑制剂的药物相互作用:治疗失败的一个被低估的原因。
ESMO Open. 2023 Feb;8(1):100880. doi: 10.1016/j.esmoop.2023.100880. Epub 2023 Feb 8.
8
Combination Use of First-Line Afatinib and Proton-Pump Inhibitors Reduces Overall Survival Among Patients with EGFFR Mutant Lung Cancer.一线阿法替尼与质子泵抑制剂联合使用降低了表皮生长因子受体(EGFR)突变型肺癌患者的总生存期。
Onco Targets Ther. 2022 Dec 28;15:1573-1582. doi: 10.2147/OTT.S387165. eCollection 2022.
一项基于全国人口的研究:同时使用质子泵抑制剂会增加接受一线吉非替尼治疗的肺癌患者的死亡风险
Cancer Manag Res. 2019 Sep 19;11:8539-8546. doi: 10.2147/CMAR.S222278. eCollection 2019.
4
Comparative review of drug-drug interactions with epidermal growth factor receptor tyrosine kinase inhibitors for the treatment of non-small-cell lung cancer.用于治疗非小细胞肺癌的表皮生长因子受体酪氨酸激酶抑制剂的药物相互作用比较综述
Onco Targets Ther. 2019 Jul 9;12:5467-5484. doi: 10.2147/OTT.S194870. eCollection 2019.
5
Impact of Concomitant Administration of Gastric Acid-Suppressive Agents and Pazopanib on Outcomes in Soft-Tissue Sarcoma Patients Treated within the EORTC 62043/62072 Trials.胃抑酸剂与帕唑帕尼联合应用对 EORTC 62043/62072 试验软组织肉瘤患者治疗结局的影响。
Clin Cancer Res. 2019 Mar 1;25(5):1479-1485. doi: 10.1158/1078-0432.CCR-18-2748. Epub 2019 Feb 14.
6
The concomitant use of tyrosine kinase inhibitors and proton pump inhibitors: Prevalence, predictors, and impact on survival and discontinuation of therapy in older adults with cancer.酪氨酸激酶抑制剂与质子泵抑制剂联合使用:老年癌症患者的流行率、预测因素以及对生存和治疗中断的影响。
Cancer. 2019 Apr 1;125(7):1155-1162. doi: 10.1002/cncr.31917. Epub 2019 Jan 3.
7
Global cancer statistics 2018: GLOBOCAN estimates of incidence and mortality worldwide for 36 cancers in 185 countries.全球癌症统计数据 2018:GLOBOCAN 对全球 185 个国家/地区 36 种癌症的发病率和死亡率的估计。
CA Cancer J Clin. 2018 Nov;68(6):394-424. doi: 10.3322/caac.21492. Epub 2018 Sep 12.
8
Clinical impact of gastric acid suppressing medication on the effectiveness of tyrosine kinase inhibitors in lung cancer patients.胃酸抑制药物对肺癌患者酪氨酸激酶抑制剂疗效的临床影响。
J BUON. 2018 May-Jun;23(3):647-653.
9
Cancer statistics, 2018.癌症统计数据,2018 年。
CA Cancer J Clin. 2018 Jan;68(1):7-30. doi: 10.3322/caac.21442. Epub 2018 Jan 4.
10
Evaluation of gefitinib efficacy according to body mass index, body surface area, and body weight in patients with EGFR-mutated advanced non-small cell lung cancer.根据体重指数、体表面积和体重评估吉非替尼对表皮生长因子受体(EGFR)突变的晚期非小细胞肺癌患者的疗效。
Cancer Chemother Pharmacol. 2017 Mar;79(3):497-505. doi: 10.1007/s00280-016-3232-2. Epub 2017 Feb 6.