• 文献检索
  • 文档翻译
  • 深度研究
  • 学术资讯
  • Suppr Zotero 插件Zotero 插件
  • 邀请有礼
  • 套餐&价格
  • 历史记录
应用&插件
Suppr Zotero 插件Zotero 插件浏览器插件Mac 客户端Windows 客户端微信小程序
定价
高级版会员购买积分包购买API积分包
服务
文献检索文档翻译深度研究API 文档MCP 服务
关于我们
关于 Suppr公司介绍联系我们用户协议隐私条款
关注我们

Suppr 超能文献

核心技术专利:CN118964589B侵权必究
粤ICP备2023148730 号-1Suppr @ 2026

文献检索

告别复杂PubMed语法,用中文像聊天一样搜索,搜遍4000万医学文献。AI智能推荐,让科研检索更轻松。

立即免费搜索

文件翻译

保留排版,准确专业,支持PDF/Word/PPT等文件格式,支持 12+语言互译。

免费翻译文档

深度研究

AI帮你快速写综述,25分钟生成高质量综述,智能提取关键信息,辅助科研写作。

立即免费体验

考虑碳排放交易、绿色创新和绿色消费者的闭环供应链网络再制造策略选择。

Remanufacturing Strategy Choice of a Closed-Loop Supply Chain Network Considering Carbon Emission Trading, Green Innovation, and Green Consumers.

机构信息

Department of Management Science and Engineering, Qingdao University, Qingdao 266071, China.

School of Business Administration, Northeastern University, Shenyang 110169, China.

出版信息

Int J Environ Res Public Health. 2022 Jun 1;19(11):6782. doi: 10.3390/ijerph19116782.

DOI:10.3390/ijerph19116782
PMID:35682364
原文链接:https://pmc.ncbi.nlm.nih.gov/articles/PMC9180780/
Abstract

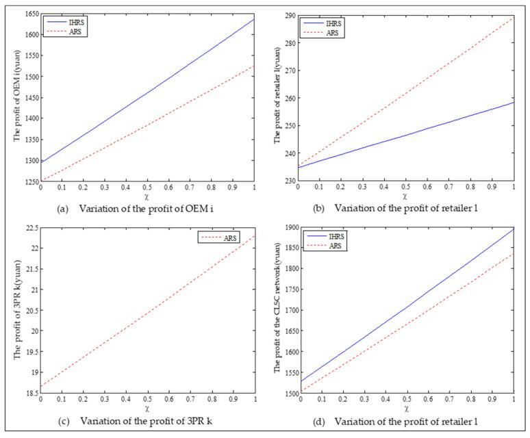
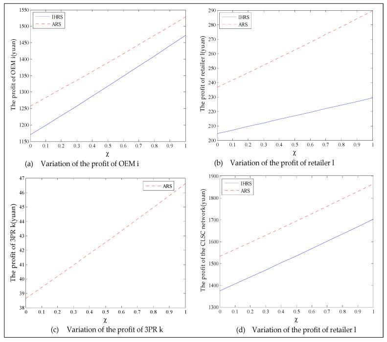
Due to increasingly serious environmental pollution problems and governments' strengthening of environmental impact supervision, manufacturing companies are seeking green production methods, implementing carbon trading systems, and promoting the trend towards green remanufacturing. Thus, this paper introduces green factors to the existing closed-loop supply chain network models and studies the impact of carbon trading, green innovation efforts, and green consumers on the choice between two remanufacturing strategies: an in-house remanufacturing strategy and an authorized remanufacturing strategy. The results concerning the choice of the remanufacturing strategy are as follows: from the perspective of obtaining more profits, when the carbon trading price is low, the companies choose the authorized remanufacturing strategy; when the carbon trading price is high, the companies choose to remanufacture by themselves. For all the green innovation efforts and the proportions of green consumers, when the recovery rate of the used product is low, the companies choose to remanufacture by themselves; when the recovery rate of the used product is high, the companies choose the authorized remanufacturing strategy.

摘要

由于环境污染问题日益严重,政府加强了环境影响监管,制造企业正在寻求绿色生产方法,实施碳交易体系,并推动绿色再制造的发展趋势。因此,本文将绿色因素引入现有的闭环供应链网络模型,并研究了碳交易、绿色创新努力和绿色消费者对两种再制造策略(内部再制造策略和授权再制造策略)选择的影响。关于再制造策略选择的结果如下:从获得更多利润的角度来看,当碳交易价格较低时,企业选择授权再制造策略;当碳交易价格较高时,企业选择自行再制造。对于所有的绿色创新努力和绿色消费者的比例,当旧产品的回收率较低时,企业选择自行再制造;当旧产品的回收率较高时,企业选择授权再制造策略。

https://cdn.ncbi.nlm.nih.gov/pmc/blobs/609f/9180780/34c2b5737b31/ijerph-19-06782-g025.jpg
https://cdn.ncbi.nlm.nih.gov/pmc/blobs/609f/9180780/3b083addb4cc/ijerph-19-06782-g004.jpg
https://cdn.ncbi.nlm.nih.gov/pmc/blobs/609f/9180780/cc2d1e00e7b8/ijerph-19-06782-g006.jpg
https://cdn.ncbi.nlm.nih.gov/pmc/blobs/609f/9180780/88b249cd55b2/ijerph-19-06782-g008.jpg
https://cdn.ncbi.nlm.nih.gov/pmc/blobs/609f/9180780/4289ed5736e1/ijerph-19-06782-g012.jpg
https://cdn.ncbi.nlm.nih.gov/pmc/blobs/609f/9180780/576a8d3749a5/ijerph-19-06782-g013.jpg
https://cdn.ncbi.nlm.nih.gov/pmc/blobs/609f/9180780/3b4f16842e4e/ijerph-19-06782-g014.jpg
https://cdn.ncbi.nlm.nih.gov/pmc/blobs/609f/9180780/0cbb22a4f69f/ijerph-19-06782-g015.jpg
https://cdn.ncbi.nlm.nih.gov/pmc/blobs/609f/9180780/0a9c8c28f3a6/ijerph-19-06782-g016.jpg
https://cdn.ncbi.nlm.nih.gov/pmc/blobs/609f/9180780/dba2f673f9d2/ijerph-19-06782-g017.jpg
https://cdn.ncbi.nlm.nih.gov/pmc/blobs/609f/9180780/635c3488f076/ijerph-19-06782-g018.jpg
https://cdn.ncbi.nlm.nih.gov/pmc/blobs/609f/9180780/a2c31f6d596f/ijerph-19-06782-g019.jpg
https://cdn.ncbi.nlm.nih.gov/pmc/blobs/609f/9180780/d7957d789b01/ijerph-19-06782-g020.jpg
https://cdn.ncbi.nlm.nih.gov/pmc/blobs/609f/9180780/f66602d2b5b1/ijerph-19-06782-g021.jpg
https://cdn.ncbi.nlm.nih.gov/pmc/blobs/609f/9180780/198491d6b6be/ijerph-19-06782-g022.jpg
https://cdn.ncbi.nlm.nih.gov/pmc/blobs/609f/9180780/e0ec650aa238/ijerph-19-06782-g023.jpg
https://cdn.ncbi.nlm.nih.gov/pmc/blobs/609f/9180780/65a7b4e182aa/ijerph-19-06782-g024.jpg
https://cdn.ncbi.nlm.nih.gov/pmc/blobs/609f/9180780/34c2b5737b31/ijerph-19-06782-g025.jpg
https://cdn.ncbi.nlm.nih.gov/pmc/blobs/609f/9180780/3b083addb4cc/ijerph-19-06782-g004.jpg
https://cdn.ncbi.nlm.nih.gov/pmc/blobs/609f/9180780/cc2d1e00e7b8/ijerph-19-06782-g006.jpg
https://cdn.ncbi.nlm.nih.gov/pmc/blobs/609f/9180780/88b249cd55b2/ijerph-19-06782-g008.jpg
https://cdn.ncbi.nlm.nih.gov/pmc/blobs/609f/9180780/4289ed5736e1/ijerph-19-06782-g012.jpg
https://cdn.ncbi.nlm.nih.gov/pmc/blobs/609f/9180780/576a8d3749a5/ijerph-19-06782-g013.jpg
https://cdn.ncbi.nlm.nih.gov/pmc/blobs/609f/9180780/3b4f16842e4e/ijerph-19-06782-g014.jpg
https://cdn.ncbi.nlm.nih.gov/pmc/blobs/609f/9180780/0cbb22a4f69f/ijerph-19-06782-g015.jpg
https://cdn.ncbi.nlm.nih.gov/pmc/blobs/609f/9180780/0a9c8c28f3a6/ijerph-19-06782-g016.jpg
https://cdn.ncbi.nlm.nih.gov/pmc/blobs/609f/9180780/dba2f673f9d2/ijerph-19-06782-g017.jpg
https://cdn.ncbi.nlm.nih.gov/pmc/blobs/609f/9180780/635c3488f076/ijerph-19-06782-g018.jpg
https://cdn.ncbi.nlm.nih.gov/pmc/blobs/609f/9180780/a2c31f6d596f/ijerph-19-06782-g019.jpg
https://cdn.ncbi.nlm.nih.gov/pmc/blobs/609f/9180780/d7957d789b01/ijerph-19-06782-g020.jpg
https://cdn.ncbi.nlm.nih.gov/pmc/blobs/609f/9180780/f66602d2b5b1/ijerph-19-06782-g021.jpg
https://cdn.ncbi.nlm.nih.gov/pmc/blobs/609f/9180780/198491d6b6be/ijerph-19-06782-g022.jpg
https://cdn.ncbi.nlm.nih.gov/pmc/blobs/609f/9180780/e0ec650aa238/ijerph-19-06782-g023.jpg
https://cdn.ncbi.nlm.nih.gov/pmc/blobs/609f/9180780/65a7b4e182aa/ijerph-19-06782-g024.jpg
https://cdn.ncbi.nlm.nih.gov/pmc/blobs/609f/9180780/34c2b5737b31/ijerph-19-06782-g025.jpg

相似文献

1
Remanufacturing Strategy Choice of a Closed-Loop Supply Chain Network Considering Carbon Emission Trading, Green Innovation, and Green Consumers.考虑碳排放交易、绿色创新和绿色消费者的闭环供应链网络再制造策略选择。
Int J Environ Res Public Health. 2022 Jun 1;19(11):6782. doi: 10.3390/ijerph19116782.
2
Carbon tax vs. carbon trading in China: which is better for promoting sustainable development of remanufacturing companies?碳税与碳交易在中国:哪个更有利于促进再制造企业的可持续发展?
Environ Sci Pollut Res Int. 2024 Mar;31(11):16710-16724. doi: 10.1007/s11356-024-32127-1. Epub 2024 Feb 7.
3
The Impact of Legal Recycling Constraints and Carbon Trading Mechanisms on Decision Making in Closed-Loop Supply Chain.法律回收限制和碳交易机制对闭环供应链决策的影响。
Int J Environ Res Public Health. 2022 Jun 16;19(12):7400. doi: 10.3390/ijerph19127400.
4
Managing Supplier-Manufacturer Closed-Loop Supply Chain Considering Product Design and Take-Back Legislation.考虑产品设计和回收立法的供应商-制造商闭环供应链管理。
Int J Environ Res Public Health. 2019 Feb 20;16(4):623. doi: 10.3390/ijerph16040623.
5
Comparatively Analyzing the Impact of Government Subsidy and Carbon Tax Policy on Authorized Remanufacturing.比较分析政府补贴和碳税政策对授权再制造的影响。
Int J Environ Res Public Health. 2021 Aug 5;18(16):8293. doi: 10.3390/ijerph18168293.
6
Research on the Evolutionary Game of Construction and Demolition Waste (CDW) Recycling Units' Green Behavior, Considering Remanufacturing Capability.考虑再制造能力的建筑和拆除废物(CDW)回收单位绿色行为演化博弈研究。
Int J Environ Res Public Health. 2021 Sep 2;18(17):9268. doi: 10.3390/ijerph18179268.
7
Optimal ordering and production decisions for remanufacturing firms with carbon options under demand uncertainty.需求不确定下具有碳期权的再制造企业的最优订购和生产决策。
Environ Sci Pollut Res Int. 2023 Mar;30(12):34378-34393. doi: 10.1007/s11356-022-24335-4. Epub 2022 Dec 13.
8
Decision making and benefit analysis of closed-loop remanufacturing supply chain considering government subsidies.考虑政府补贴的闭环再制造供应链决策与效益分析
Heliyon. 2024 Sep 26;10(19):e38487. doi: 10.1016/j.heliyon.2024.e38487. eCollection 2024 Oct 15.
9
Remanufacturing and channel strategies in e-commerce closed-loop supply chain.电子商务闭环供应链中的再制造和渠道策略。
PLoS One. 2024 May 16;19(5):e0303447. doi: 10.1371/journal.pone.0303447. eCollection 2024.
10
How does carbon emission trading scheme affect enterprise green technology innovation: evidence from China's A-share non-financial listed companies.碳排放交易计划如何影响企业绿色技术创新:来自中国A股非金融上市公司的证据
Environ Sci Pollut Res Int. 2023 Mar;30(13):35588-35601. doi: 10.1007/s11356-022-24768-x. Epub 2022 Dec 19.

引用本文的文献

1
Decision making and benefit analysis of closed-loop remanufacturing supply chain considering government subsidies.考虑政府补贴的闭环再制造供应链决策与效益分析
Heliyon. 2024 Sep 26;10(19):e38487. doi: 10.1016/j.heliyon.2024.e38487. eCollection 2024 Oct 15.
2
Complex effects of cooperative behavior on authorized remanufacturing supply chain decisions under subsidies.补贴下合作行为对授权再制造供应链决策的复杂影响。
PLoS One. 2023 Sep 21;18(9):e0291940. doi: 10.1371/journal.pone.0291940. eCollection 2023.
3
Pricing Policies of Green Dual-Channel Supply Chain with Fairness Concerns and Altruistic Preferences Based on Consumers' Environmental Awareness and Channel Preference.

本文引用的文献

1
Incentive Mechanisms for Carbon Emission Abatement Considering Consumers' Low-Carbon Awareness under Cap-and-Trade Regulation.在总量管制与交易制度下考虑消费者低碳意识的碳减排激励机制。
Int J Environ Res Public Health. 2022 Mar 30;19(7):4104. doi: 10.3390/ijerph19074104.
2
The Impact of Government Subsidies on the Low-Carbon Supply Chain Based on Carbon Emission Reduction Level.基于减排水平的政府补贴对低碳供应链的影响。
Int J Environ Res Public Health. 2021 Jul 16;18(14):7603. doi: 10.3390/ijerph18147603.
3
Trade-in Strategy and Competition between Two Independent Remanufacturers.
考虑消费者环境意识和渠道偏好的公平关切和利他偏好的绿色双渠道供应链定价策略。
Int J Environ Res Public Health. 2022 Oct 19;19(20):13564. doi: 10.3390/ijerph192013564.
4
Win-Win: Anthropogenic circularity for metal criticality and carbon neutrality.双赢:金属关键度与碳中和的人为循环性
Front Environ Sci Eng. 2023;17(2):23. doi: 10.1007/s11783-023-1623-2. Epub 2022 Sep 5.
5
Optimal Decisions in a Multi-Party Closed-Loop Supply Chain Considering Green Marketing and Carbon Tax Policy.考虑绿色营销和碳税政策的多方闭环供应链中的最优决策。
Int J Environ Res Public Health. 2022 Jul 28;19(15):9244. doi: 10.3390/ijerph19159244.
两种独立再制造商的以旧换新策略与竞争
Int J Environ Res Public Health. 2021 Jun 23;18(13):6745. doi: 10.3390/ijerph18136745.
4
Dual-Channel Global Closed-Loop Supply Chain Network Optimization Based on Random Demand and Recovery Rate.基于随机需求和回收率的双通道全球闭环供应链网络优化
Int J Environ Res Public Health. 2020 Nov 25;17(23):8768. doi: 10.3390/ijerph17238768.
5
Analyzing the Effect of Government Subsidy on the Development of the Remanufacturing Industry.分析政府补贴对再制造产业发展的影响。
Int J Environ Res Public Health. 2020 May 19;17(10):3550. doi: 10.3390/ijerph17103550.
6
Who Drives Green Innovation? A Game Theoretical Analysis of a Closed-Loop Supply Chain under Different Power Structures.谁推动了绿色创新?不同权力结构下闭环供应链的博弈理论分析。
Int J Environ Res Public Health. 2020 Mar 27;17(7):2274. doi: 10.3390/ijerph17072274.
7
Equilibrium Points in N-Person Games.N人博弈中的平衡点
Proc Natl Acad Sci U S A. 1950 Jan;36(1):48-9. doi: 10.1073/pnas.36.1.48.