Suppr超能文献

用于太平洋西北部春小麦品种6B染色体上一个先前未鉴定但广泛应用的抗黑森瘿蚊基因的可靠DNA标记

Reliable DNA Markers for a Previously Unidentified, Yet Broadly Deployed Hessian Fly Resistance Gene on Chromosome 6B in Pacific Northwest Spring Wheat Varieties.

作者信息

Prather Samuel, Schneider Tavin, Gaham Godoy Jayfred, Odubiyi Steven, Bosque-Perez Nilsa A, Rashed Arash, Rynearson Sheri, Pumphrey Michael O

机构信息

Department of Crop and Soil Sciences, Washington State University, Pullman, WA, United States.

InterGrain Pty Ltd., Food Production, Bibra Lake, WA, Australia.

出版信息

Front Plant Sci. 2022 Jun 13;13:779096. doi: 10.3389/fpls.2022.779096. eCollection 2022.

Abstract

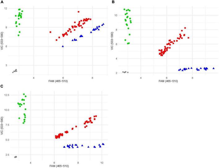
Hessian fly [ (Say)] is a major pest of wheat ( L.) throughout the United States and in several other countries. A highly effective and economically feasible way to control Hessian fly is with resistant cultivars. To date, over 37 Hessian fly resistance genes have been discovered and their approximate locations mapped. Resistance breeding is still limited, though, by the genes' effectiveness against predominant Hessian fly biotypes in a given production area, genetic markers that are developed for low-throughput marker systems, poorly adapted donor germplasm, and/or the inadequacy of closely linked DNA markers to track effective resistance genes in diverse genetic backgrounds. The purposes of this study were to determine the location of the Hessian fly resistance gene in the cultivar "Kelse" (PI 653842) and to develop and validate Kompetitive Allele Specific PCR (KASP) markers for the resistance locus. A mapping population was genotyped and screened for Hessian fly resistance. The resulting linkage map created from 2,089 Single Nucleotide Polymorphism SNP markers placed the resistance locus on the chromosome 6B short arm, near where has been reported. Three flanking SNPs near the resistance locus were converted to KASP assays which were then validated by fine-mapping and testing a large panel of breeding lines from hard and soft wheat germplasm adapted to the Pacific Northwest. The KASP markers presented here are tightly linked to the resistance locus and can be used for marker-assisted selection by breeders working on Hessian fly resistance and allow confirmation of this Hessian fly resistance gene in diverse germplasm.

摘要

黑森瘿蚊[(赛伊)]是美国及其他几个国家小麦的主要害虫。控制黑森瘿蚊的一种高效且经济可行的方法是使用抗性品种。迄今为止,已发现超过37个黑森瘿蚊抗性基因,并绘制了它们的大致位置。然而,抗性育种仍受到以下因素的限制:这些基因对特定生产区域中占主导地位的黑森瘿蚊生物型的有效性、为低通量标记系统开发的遗传标记、适应性差的供体种质,和/或紧密连锁的DNA标记在不同遗传背景下追踪有效抗性基因的不足。本研究的目的是确定品种“凯尔西”(PI 653842)中黑森瘿蚊抗性基因的位置,并开发和验证该抗性位点的竞争性等位基因特异性PCR(KASP)标记。对一个作图群体进行基因分型,并筛选黑森瘿蚊抗性。由2089个单核苷酸多态性(SNP)标记构建的连锁图谱将抗性位点定位在6B染色体短臂上,靠近已报道的位置。抗性位点附近的三个侧翼SNP被转化为KASP分析,然后通过精细定位和测试来自适应太平洋西北地区的硬粒和软粒小麦种质的大量育种系进行验证。本文介绍的KASP标记与抗性位点紧密连锁,可被致力于黑森瘿蚊抗性研究的育种者用于标记辅助选择,并可在不同种质中确认该黑森瘿蚊抗性基因。

https://cdn.ncbi.nlm.nih.gov/pmc/blobs/5b00/9234662/e5862340f1ad/fpls-13-779096-g001.jpg

文献检索

告别复杂PubMed语法,用中文像聊天一样搜索,搜遍4000万医学文献。AI智能推荐,让科研检索更轻松。

立即免费搜索

文件翻译

保留排版,准确专业,支持PDF/Word/PPT等文件格式,支持 12+语言互译。

免费翻译文档

深度研究

AI帮你快速写综述,25分钟生成高质量综述,智能提取关键信息,辅助科研写作。

立即免费体验