Suppr超能文献

一种来自……的新型透明质酸裂解酶的生化与分子特性

Biochemical and Molecular Characteristics of a Novel Hyaluronic Acid Lyase from .

作者信息

Li Xinyue, Li Fang, Ma Junhao, Li Mingjun, Lei Xi, Tang Xianghua, Wu Qian, Huang Zunxi, Zhang Rui

机构信息

College of Life Sciences, Yunnan Normal University, Kunming 650500, China.

Engineering Research Center of Sustainable Development and Utilization of Biomass Energy, Ministry of Education, Yunnan Normal University, Kunming 650500, China.

出版信息

Foods. 2022 Jul 5;11(13):1989. doi: 10.3390/foods11131989.

Abstract

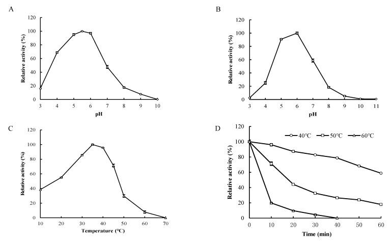
The Gram-negative strain of Citrobacter freundii, YNLX, has the ability to degrade hyaluronic acid. In this study, we expressed a C. freundii hyaluronic acid lyase, from polysaccharide lyase family 8, in Escherichia coli. The purified recombinant enzyme (rHynACF8) showed a substantially higher cleavage activity of hyaluronic acid than chondroitin sulfate. We found that its optimal pH and temperature are 5.5 and 35 °C, respectively. In addition, the enzyme activity was not notably affected by most metal ions. Km and kcat of rHynACF8 towards HA were 1.5 ± 0.01 mg/mL and 30.9 ± 0.5 /s, respectively. rHynACF8 is an endo-acting enzyme. Its cleavage products had dramatically increased antioxidant activity than hyaluronic acid in vitro (p < 0.001). As the molecular weight of hyaluronic acid decreased, the intramolecular interactions among antioxidant functional groups were removed; in the process of the cracking reaction, new double bonds formed and conjugated with the carbonyl group. We presumed that the structural change is the critical factor influencing antioxidant capacity. Overall, we found that rHynACF8 from Gram-negative bacteria with metal ion resistance, indicated the relationship between the function and structure of its antioxidant cleavage product.

摘要

弗氏柠檬酸杆菌的革兰氏阴性菌株YNLX具有降解透明质酸的能力。在本研究中,我们在大肠杆菌中表达了一种来自多糖裂解酶家族8的弗氏柠檬酸杆菌透明质酸裂解酶。纯化后的重组酶(rHynACF8)对透明质酸的裂解活性明显高于硫酸软骨素。我们发现其最适pH和温度分别为5.5和35℃。此外,大多数金属离子对该酶活性无明显影响。rHynACF8对HA的Km和kcat分别为1.5±0.01 mg/mL和30.9±0.5 /s。rHynACF8是一种内切酶。其裂解产物在体外的抗氧化活性比透明质酸显著增加(p<0.001)。随着透明质酸分子量的降低,抗氧化官能团之间的分子内相互作用被消除;在裂解反应过程中,形成了新的双键并与羰基共轭。我们推测结构变化是影响抗氧化能力的关键因素。总体而言,我们发现来自具有金属离子抗性的革兰氏阴性细菌的rHynACF8表明了其抗氧化裂解产物的功能与结构之间的关系。

https://cdn.ncbi.nlm.nih.gov/pmc/blobs/33aa/9265501/6c5e2b0264c6/foods-11-01989-g001.jpg

文献检索

告别复杂PubMed语法,用中文像聊天一样搜索,搜遍4000万医学文献。AI智能推荐,让科研检索更轻松。

立即免费搜索

文件翻译

保留排版,准确专业,支持PDF/Word/PPT等文件格式,支持 12+语言互译。

免费翻译文档

深度研究

AI帮你快速写综述,25分钟生成高质量综述,智能提取关键信息,辅助科研写作。

立即免费体验