• 文献检索
  • 文档翻译
  • 深度研究
  • 学术资讯
  • Suppr Zotero 插件Zotero 插件
  • 邀请有礼
  • 套餐&价格
  • 历史记录
应用&插件
Suppr Zotero 插件Zotero 插件浏览器插件Mac 客户端Windows 客户端微信小程序
定价
高级版会员购买积分包购买API积分包
服务
文献检索文档翻译深度研究API 文档MCP 服务
关于我们
关于 Suppr公司介绍联系我们用户协议隐私条款
关注我们

Suppr 超能文献

核心技术专利:CN118964589B侵权必究
粤ICP备2023148730 号-1Suppr @ 2026

文献检索

告别复杂PubMed语法,用中文像聊天一样搜索,搜遍4000万医学文献。AI智能推荐,让科研检索更轻松。

立即免费搜索

文件翻译

保留排版,准确专业,支持PDF/Word/PPT等文件格式,支持 12+语言互译。

免费翻译文档

深度研究

AI帮你快速写综述,25分钟生成高质量综述,智能提取关键信息,辅助科研写作。

立即免费体验

基于SbSe的高效双异质结太阳能电池的理论见解。

Theoretical insights into a high-efficiency SbSe-based dual-heterojunction solar cell.

作者信息

Mondal Bipanko Kumar, Mostaque Shaikh Khaled, Hossain Jaker

机构信息

Solar Energy Laboratory, Department of Electrical and Electronic Engineering, University of Rajshahi, Rajshahi, 6205, Bangladesh.

出版信息

Heliyon. 2022 Mar 16;8(3):e09120. doi: 10.1016/j.heliyon.2022.e09120. eCollection 2022 Mar.

DOI:10.1016/j.heliyon.2022.e09120
PMID:35846440
原文链接:https://pmc.ncbi.nlm.nih.gov/articles/PMC9280380/
Abstract

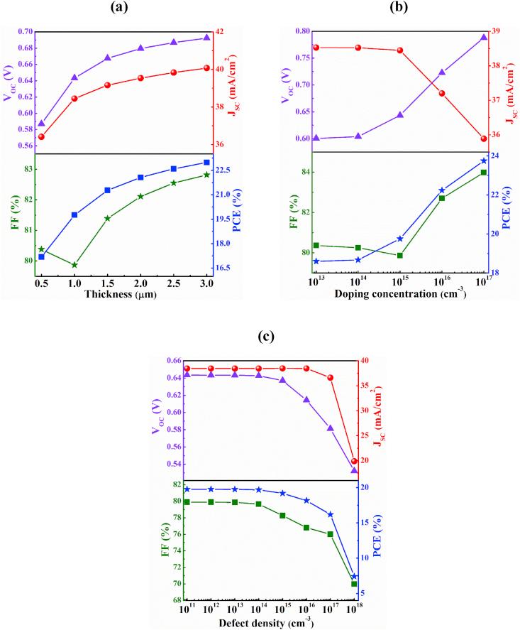
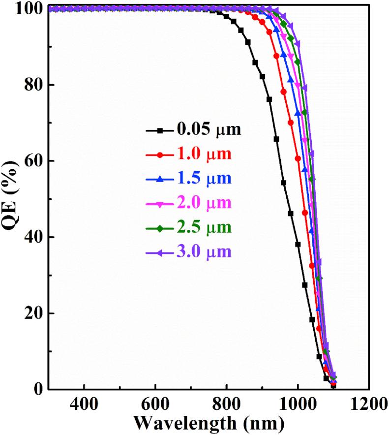
Here, we manifest the design and simulation of an -ZnSe/-SbSe/ -AgInTe dual-heterojunction (DH) solar cell which exhibits a prominent efficiency. The performance of the solar cell has been assessed with reported experimental parameters using SCAPS-1D simulator by varying thickness, doping concentration and defect density in each layer. The proposed structure shows an efficiency of 38.6% with = 0.860 V, = 54.3 mA/cm and FF = 82.77%, respectively. Such a high efficiency close to Shockley-Queisser (SQ) limit of DH solar cell has been achieved as a result of the longer wavelength photon absorption in the -AgInTe back surface field (BSF) layer through a tail-states assisted (TSA) two-step photon upconversion phenomenon. These results indicate hopeful application of AgInTe as a bottom layer in SbSe-based solar cell to enhance the cell performance in future.

摘要

在此,我们展示了一种具有显著效率的 -ZnSe/-SbSe/ -AgInTe 双异质结(DH)太阳能电池的设计与模拟。通过使用 SCAPS-1D 模拟器,通过改变各层的厚度、掺杂浓度和缺陷密度,利用已报道的实验参数对太阳能电池的性能进行了评估。所提出的结构分别显示出效率为 38.6%,开路电压 = 0.860 V,短路电流密度 = 54.3 mA/cm² 以及填充因子 FF = 82.77%。由于在 -AgInTe 背表面场(BSF)层中通过尾态辅助(TSA)两步光子上转换现象实现了更长波长光子吸收,从而实现了如此接近 DH 太阳能电池的肖克利 - 奎塞尔(SQ)极限的高效率。这些结果表明 AgInTe 在基于 SbSe 的太阳能电池中作为底层以提高未来电池性能方面具有有望的应用前景。

https://cdn.ncbi.nlm.nih.gov/pmc/blobs/6aaf/9280380/960860ed72ec/gr6.jpg
https://cdn.ncbi.nlm.nih.gov/pmc/blobs/6aaf/9280380/c5316ad97883/ga1.jpg
https://cdn.ncbi.nlm.nih.gov/pmc/blobs/6aaf/9280380/039bd4324e4c/gr1.jpg
https://cdn.ncbi.nlm.nih.gov/pmc/blobs/6aaf/9280380/6f7f28407b98/gr2.jpg
https://cdn.ncbi.nlm.nih.gov/pmc/blobs/6aaf/9280380/bfae8e00b084/gr3.jpg
https://cdn.ncbi.nlm.nih.gov/pmc/blobs/6aaf/9280380/2e269b59947f/gr4.jpg
https://cdn.ncbi.nlm.nih.gov/pmc/blobs/6aaf/9280380/d4a664af7f5d/gr5.jpg
https://cdn.ncbi.nlm.nih.gov/pmc/blobs/6aaf/9280380/960860ed72ec/gr6.jpg
https://cdn.ncbi.nlm.nih.gov/pmc/blobs/6aaf/9280380/c5316ad97883/ga1.jpg
https://cdn.ncbi.nlm.nih.gov/pmc/blobs/6aaf/9280380/039bd4324e4c/gr1.jpg
https://cdn.ncbi.nlm.nih.gov/pmc/blobs/6aaf/9280380/6f7f28407b98/gr2.jpg
https://cdn.ncbi.nlm.nih.gov/pmc/blobs/6aaf/9280380/bfae8e00b084/gr3.jpg
https://cdn.ncbi.nlm.nih.gov/pmc/blobs/6aaf/9280380/2e269b59947f/gr4.jpg
https://cdn.ncbi.nlm.nih.gov/pmc/blobs/6aaf/9280380/d4a664af7f5d/gr5.jpg
https://cdn.ncbi.nlm.nih.gov/pmc/blobs/6aaf/9280380/960860ed72ec/gr6.jpg

相似文献

1
Theoretical insights into a high-efficiency SbSe-based dual-heterojunction solar cell.基于SbSe的高效双异质结太阳能电池的理论见解。
Heliyon. 2022 Mar 16;8(3):e09120. doi: 10.1016/j.heliyon.2022.e09120. eCollection 2022 Mar.
2
24% Efficient, Simple ZnSe/SbSe Heterojunction Solar Cell: An Analysis of PV Characteristics and Defects.24%效率的简单ZnSe/SbSe异质结太阳能电池:光伏特性与缺陷分析
ACS Omega. 2022 Dec 21;8(1):1632-1642. doi: 10.1021/acsomega.2c07211. eCollection 2023 Jan 10.
3
Concurrent investigation of antimony chalcogenide (SbSe and SbS)-based solar cells with a potential WS electron transport layer.对基于硫属锑化物(SbSe和SbS)且具有潜在WS电子传输层的太阳能电池进行同步研究。
Heliyon. 2022 Dec 2;8(12):e12034. doi: 10.1016/j.heliyon.2022.e12034. eCollection 2022 Dec.
4
Numerical studies on a ternary AgInTe chalcopyrite thin film solar cell.三元AgInTe黄铜矿薄膜太阳能电池的数值研究。
Heliyon. 2023 Aug 7;9(8):e19011. doi: 10.1016/j.heliyon.2023.e19011. eCollection 2023 Aug.
5
SnTe as a BSF enhances the performance of SbSe based solar cell: A numerical approach.作为背表面场的碲化锡提高了基于硒化锑的太阳能电池的性能:一种数值方法。
Heliyon. 2022 Dec 5;8(12):e12043. doi: 10.1016/j.heliyon.2022.e12043. eCollection 2022 Dec.
6
Numerical Simulation of the Performance of SbSe Solar Cell via Optimizing the Optoelectronic Properties Based SCAPS-1D.基于SCAPS-1D通过优化光电特性对SbSe太阳能电池性能进行数值模拟
Materials (Basel). 2022 Sep 9;15(18):6272. doi: 10.3390/ma15186272.
7
Dual-Absorber Solar Cell Design and Simulation Based on SbSe and CZTGSe for High-Efficiency Solar Cells.基于SbSe和CZTGSe的双吸收体高效太阳能电池设计与模拟
Langmuir. 2024 Oct 1;40(39):20352-20367. doi: 10.1021/acs.langmuir.4c01472. Epub 2024 Sep 18.
8
Improving the efficiency of a CIGS solar cell to above 31% with SbS as a new BSF: a numerical simulation approach by SCAPS-1D.以硫化锑作为新型背表面场(BSF)将铜铟镓硒(CIGS)太阳能电池效率提高到31%以上:基于SCAPS-1D的数值模拟方法
RSC Adv. 2024 Jan 8;14(3):1924-1938. doi: 10.1039/d3ra07893k. eCollection 2024 Jan 3.
9
Performance Enhancement of an MoS-Based Heterojunction Solar Cell with an InTe Back Surface Field: A Numerical Simulation Approach.基于InTe背表面场的MoS基异质结太阳能电池性能增强:一种数值模拟方法
ACS Omega. 2023 Feb 8;8(7):7017-7029. doi: 10.1021/acsomega.2c07846. eCollection 2023 Feb 21.
10
Numerical Expedition on the Potential of AgBiS-Based Thin Film Solar Cells Employing Different Carrier Transport Layers.基于AgBiS的采用不同载流子传输层的薄膜太阳能电池潜力的数值研究
ACS Omega. 2024 Aug 6;9(33):35490-35502. doi: 10.1021/acsomega.4c02375. eCollection 2024 Aug 20.

引用本文的文献

1
Numerical Expedition on the Potential of AgBiS-Based Thin Film Solar Cells Employing Different Carrier Transport Layers.基于AgBiS的采用不同载流子传输层的薄膜太阳能电池潜力的数值研究
ACS Omega. 2024 Aug 6;9(33):35490-35502. doi: 10.1021/acsomega.4c02375. eCollection 2024 Aug 20.
2
Design and simulation of a high performance AgCuS jalpaite-based photodetector.基于硫铜银矿的高性能光电探测器的设计与仿真
Heliyon. 2024 May 31;10(11):e32247. doi: 10.1016/j.heliyon.2024.e32247. eCollection 2024 Jun 15.
3
Design and optimization of a high efficiency CdTe-FeSi based double-junction two-terminal tandem solar cell.

本文引用的文献

1
Efficient perovskite solar cells via improved carrier management.通过改进载流子管理提高钙钛矿太阳能电池的效率。
Nature. 2021 Feb;590(7847):587-593. doi: 10.1038/s41586-021-03285-w. Epub 2021 Feb 24.
2
Efficient and Stable Planar n-i-p SbSe Solar Cells Enabled by Oriented 1D Trigonal Selenium Structures.由取向一维三角硒结构实现的高效稳定平面n-i-p SbSe太阳能电池。
Adv Sci (Weinh). 2020 Jun 30;7(16):2001013. doi: 10.1002/advs.202001013. eCollection 2020 Aug.
3
9.2%-efficient core-shell structured antimony selenide nanorod array solar cells.
基于CdTe-FeSi的高效双结两端串联太阳能电池的设计与优化
Heliyon. 2024 Mar 12;10(6):e27994. doi: 10.1016/j.heliyon.2024.e27994. eCollection 2024 Mar 30.
4
Numerical studies on a ternary AgInTe chalcopyrite thin film solar cell.三元AgInTe黄铜矿薄膜太阳能电池的数值研究。
Heliyon. 2023 Aug 7;9(8):e19011. doi: 10.1016/j.heliyon.2023.e19011. eCollection 2023 Aug.
5
Numerical assessment of optoelectrical properties of ZnSe-CdSe solar cell-based with ZnO antireflection coating layer.基于ZnO抗反射涂层的ZnSe-CdSe太阳能电池光电性能的数值评估。
Sci Rep. 2023 Jul 27;13(1):12193. doi: 10.1038/s41598-023-38906-z.
6
High efficiency CuMnSnS thin film solar cells with SnS BSF and CdS ETL layers: A numerical simulation.具有SnS背表面场和CdS电子传输层的高效CuMnSnS薄膜太阳能电池:数值模拟
Heliyon. 2023 Apr 25;9(5):e15716. doi: 10.1016/j.heliyon.2023.e15716. eCollection 2023 May.
9.2% 效率的核壳结构硒化亚锑纳米棒阵列太阳能电池。
Nat Commun. 2019 Jan 10;10(1):125. doi: 10.1038/s41467-018-07903-6.
4
Challenges for commercializing perovskite solar cells.钙钛矿太阳能电池商业化面临的挑战。
Science. 2018 Sep 21;361(6408). doi: 10.1126/science.aat8235.
5
Prediction for electronic, vibrational and thermoelectric properties of chalcopyrite AgX(X=In,Ga)Te: PBE + U approach.黄铜矿AgX(X = In,Ga)Te的电子、振动和热电性质预测:PBE + U方法。
R Soc Open Sci. 2017 Oct 4;4(10):170750. doi: 10.1098/rsos.170750. eCollection 2017 Oct.
6
Photovoltaic materials: Present efficiencies and future challenges.光伏材料:当前效率与未来挑战。
Science. 2016 Apr 15;352(6283):aad4424. doi: 10.1126/science.aad4424.
7
Three-terminal heterojunction bipolar transistor solar cell for high-efficiency photovoltaic conversion.用于高效光伏转换的三端异质结双极晶体管太阳能电池。
Nat Commun. 2015 Apr 22;6:6902. doi: 10.1038/ncomms7902.
8
Optical properties of ZnSe.硒化锌的光学性质。
Phys Rev B Condens Matter. 1991 Apr 15;43(12):9569-9577. doi: 10.1103/physrevb.43.9569.