Centre for Soybean Research of the State Key Laboratory of Agrobiotechnology, School of Life Sciences, The Chinese University of Hong Kong, Hong Kong, China.
Int J Mol Sci. 2022 Jul 7;23(14):7540. doi: 10.3390/ijms23147540.
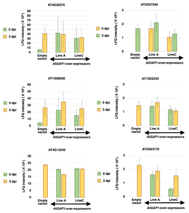
GTP is an important signaling molecule involved in the growth, development, and stress adaptability of plants. The functions are mediated via binding to GTPases which are in turn regulated by GTPase-activating proteins (GAPs). Satellite reports have suggested the positive roles of GAPs in regulating ABA signaling and pathogen resistance in plants. However, the molecular mechanisms that bring forth the pathogen resistance have remained unclear. In this study, we demonstrated that the expression of was inducible by pv. DC3000 ( DC3000). The overexpression of in Arabidopsis promoted the expression of and the resistance to DC3000. Proteomic analyses revealed the enhanced accumulation of cell-wall-modifying proteins as a result of overexpression. By microscopic analyses, we showed that the overexpression of resulted in increased thickness of the mesophyll cell wall and reduced stomatal aperture, which are effective strategies for restricting the entry of foliar pathogens. Altogether, we demonstrated that AtGAP1 increases the resistance to DC3000 in Arabidopsis by promoting cellular strategies that restrict the entry of pathogens into the cells. These results point to a future direction for studying the modes of action of GAPs in regulating plant cell structures and disease resistance.
GTP 是一种参与植物生长、发育和应激适应性的重要信号分子。其功能通过与 GTP 酶结合来介导,而 GTP 酶又受到 GTP 酶激活蛋白(GAPs)的调节。卫星报告表明,GAPs 在调节植物中的 ABA 信号和抗病性方面发挥着积极作用。然而,引发抗病性的分子机制仍不清楚。在这项研究中,我们证明了 GAP1 的表达可被 pv. DC3000( DC3000)诱导。在拟南芥中过表达 GAP1 可促进 基因的表达和对 DC3000 的抗性。蛋白质组学分析显示,过表达导致细胞壁修饰蛋白的积累增加。通过显微镜分析,我们表明过表达 GAP1 导致叶肉细胞壁增厚和气孔孔径减小,这是限制叶部病原体进入的有效策略。总之,我们证明 AtGAP1 通过促进限制病原体进入细胞的细胞策略来增加拟南芥对 DC3000 的抗性。这些结果为研究 GAPs 在调节植物细胞结构和抗病性方面的作用模式指明了未来的方向。