Suppr超能文献

MedXFit——针对久坐不动和缺乏运动的员工进行6个月CrossFit®训练的效果:一项前瞻性、对照、纵向干预研究。

MedXFit-Effects of 6 months CrossFit® in sedentary and inactive employees: A prospective, controlled, longitudinal, intervention study.

作者信息

Brandt Tom, Schmidt Annette, Schinköthe Timo, Heinz Elisabeth, Klaaßen Yannik, Limbara Selina, Mörsdorf Marian

机构信息

Institute of Sports Science, Department of Human Sciences University of the Bundeswehr Munich Neubiberg Germany.

Comprehensive Cancer Center Munich CCCLMU Munich Germany.

出版信息

Health Sci Rep. 2022 Aug 7;5(5):e749. doi: 10.1002/hsr2.749. eCollection 2022 Sep.

Abstract

BACKGROUND AND AIMS

Sedentary behavior and physical inactivity are associated with musculoskeletal disorders (MSD). Muscle and mobility enhancing training is recommended to promote musculoskeletal fitness and prevent MSD. A functional fitness program emphasizing the importance of musculoskeletal fitness is provided by CrossFit®. However, data from long-term CrossFit® interventions assessing measures of musculoskeletal fitness in sedentary and inactive individuals does not exist.

METHODS

Thi prospective, controlled study investigates the effects of 6 months CrossFit® training (2×60 min/week) in inactive adults (in terms of <2 muscle or mobility enhancing training sessions per week) with predominantly sitting or standing occupations. 91 participants were initially assessed, 2 were excluded, 55 self-selected for intervention (IG), and 34 for the control group (CG). Primary endpoint was a change in mobility (Functional Movement Screen score). Secondary endpoints were changed in strength (maximum isometric strength in kg; Dr. Wolff BackCheck®), and well-being (WHO-5 score). Key exploratory endpoints were changes in back-issue measures (pain intensity, limitation, and frequency).

RESULTS

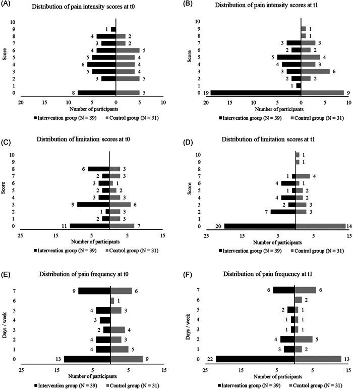
39 participants of IG and 31 of CG completed the evaluation after 6 months. The IG improved significantly more ( < 0.001) compared with the CG in the FMS (² = 0.58), trunk extension (² = 0.46), trunk flexion (² = 0.47), trunk lateral flexion left (² = 0.41), trunk lateral flexion right (² = 0.42), upper body push (² = 0.4), upper body pull (² = 0.25), hip extension left (² = 0.18), and hip extension right (² = 0.4). Change of WHO-5 scores did not significantly differ between groups ( = 0.55; ² = 0.01). Exploratory analysis of back-issue data showed a higher decrease for pain intensity, limitation, and frequency in the IG compared with the CG.

CONCLUSION

This study proves for the first time within the scope of a prospective, controlled study the broad benefits of CrossFit® in inactive adults doing predominantly sedentary work.

摘要

背景与目的

久坐行为和缺乏身体活动与肌肉骨骼疾病(MSD)相关。建议进行增强肌肉和活动能力的训练,以促进肌肉骨骼健康并预防MSD。CrossFit®提供了一项强调肌肉骨骼健康重要性的功能性健身计划。然而,目前尚无长期CrossFit®干预措施评估久坐和缺乏运动个体肌肉骨骼健康指标的数据。

方法

这项前瞻性对照研究调查了6个月的CrossFit®训练(每周2次,每次60分钟)对主要从事坐姿或站姿工作的非运动成年人(每周进行少于2次增强肌肉或活动能力训练)的影响。最初评估了91名参与者,排除2名,55名自行选择参加干预组(IG),34名进入对照组(CG)。主要终点是活动能力的变化(功能性动作筛查评分)。次要终点是力量的变化(以千克为单位的最大等长力量;沃尔夫博士背部检查®)和幸福感(WHO-5评分)。关键探索性终点是背部问题指标的变化(疼痛强度、限制和频率)。

结果

6个月后,IG组的39名参与者和CG组的31名参与者完成了评估。与CG组相比,IG组在功能性动作筛查(FMS)(效应量=0.58)、躯干伸展(效应量=0.46)、躯干屈曲(效应量=0.47)、左侧躯干侧屈(效应量=0.41)、右侧躯干侧屈(效应量=0.42)、上肢推举(效应量=0.4)、上肢拉伸(效应量=0.25)、左侧髋关节伸展(效应量=0.18)和右侧髋关节伸展(效应量=0.4)方面的改善更为显著(P<0.001)。两组之间WHO-5评分的变化无显著差异(P=0.55;效应量=0.01)。对背部问题数据的探索性分析显示,与CG组相比,IG组的疼痛强度、限制和频率下降幅度更大。

结论

本研究在前瞻性对照研究范围内首次证明了CrossFit®对主要从事久坐工作的非运动成年人具有广泛益处。

https://cdn.ncbi.nlm.nih.gov/pmc/blobs/1217/9358326/7a07ff9cd313/HSR2-5-e749-g002.jpg

文献检索

告别复杂PubMed语法,用中文像聊天一样搜索,搜遍4000万医学文献。AI智能推荐,让科研检索更轻松。

立即免费搜索

文件翻译

保留排版,准确专业,支持PDF/Word/PPT等文件格式,支持 12+语言互译。

免费翻译文档

深度研究

AI帮你快速写综述,25分钟生成高质量综述,智能提取关键信息,辅助科研写作。

立即免费体验