Suppr超能文献

构建分类决策树模型以选择估算肾小球滤过率的最佳方程,并更准确地估算。

Construct a classification decision tree model to select the optimal equation for estimating glomerular filtration rate and estimate it more accurately.

机构信息

Nephrology Department, The First Affiliated Hospital of Zhejiang Chinese Medical University (Zhejiang Provincial Hospital of Traditional Chinese Medicine), 54 Youdian Road, Shangcheng District, Hangzhou, Zhejiang Province, China.

Graduate School, Heilongjiang University of Chinese Medicine, No. 24 Heping Road, Xiangfang District, Harbin, Heilongjiang, China.

出版信息

Sci Rep. 2022 Sep 1;12(1):14877. doi: 10.1038/s41598-022-19185-6.

Abstract

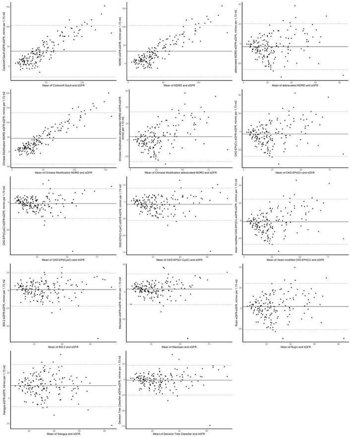
Chronic kidney disease (CKD) has become a worldwide public health problem and accurate assessment of renal function in CKD patients is important for the treatment. Although the glomerular filtration rate (GFR) can accurately evaluate the renal function, the procedure of measurement is complicated. Therefore, endogenous markers are often chosen to estimate GFR indirectly. However, the accuracy of the equations for estimating GFR is not optimistic. To estimate GFR more precisely, we constructed a classification decision tree model to select the most befitting GFR estimation equation for CKD patients. By searching the HIS system of the First Affiliated Hospital of Zhejiang Chinese Medicine University for all CKD patients who visited the hospital from December 1, 2018 to December 1, 2021 and underwent Gate's method of Tc-DTPA renal dynamic imaging to detect GFR, we eventually collected 518 eligible subjects, who were randomly divided into a training set (70%, 362) and a test set (30%, 156). Then, we used the training set data to build a classification decision tree model that would choose the most accurate equation from the four equations of BIS-2, CKD-EPI(CysC), CKD-EPI(Cr-CysC) and Ruijin, and the equation was selected by the model to estimate GFR. Next, we utilized the test set data to verify our tree model, and compared the GFR estimated by the tree model with other 13 equations. Root Mean Square Error (RMSE), Mean Absolute Error (MAE) and Bland-Altman plot were used to evaluate the accuracy of the estimates by different methods. A classification decision tree model, including BSA, BMI, 24-hour Urine protein quantity, diabetic nephropathy, age and RASi, was eventually retrieved. In the test set, the RMSE and MAE of GFR estimated by the classification decision tree model were 12.2 and 8.5 respectively, which were lower than other GFR estimation equations. According to Bland-Altman plot of patients in the test set, the eGFR was calculated based on this model and had the smallest degree of variation. We applied the classification decision tree model to select an appropriate GFR estimation equation for CKD patients, and the final GFR estimation was based on the model selection results, which provided us with greater accuracy in GFR estimation.

摘要

慢性肾脏病(CKD)已成为全球性的公共卫生问题,准确评估 CKD 患者的肾功能对于治疗至关重要。虽然肾小球滤过率(GFR)可以准确评估肾功能,但测量过程较为复杂。因此,通常选择内源性标志物来间接估计 GFR。然而,估计 GFR 的方程的准确性并不乐观。为了更准确地估计 GFR,我们构建了一个分类决策树模型,为 CKD 患者选择最合适的 GFR 估计方程。通过在浙江中医药大学第一附属医院的 HIS 系统中搜索 2018 年 12 月 1 日至 2021 年 12 月 1 日就诊并接受 Gat e 法 Tc-DTPA 肾动态显像检测 GFR 的所有 CKD 患者,最终收集了 518 名符合条件的患者,他们被随机分为训练集(70%,362)和测试集(30%,156)。然后,我们使用训练集数据构建了一个分类决策树模型,该模型将从 BIS-2、CKD-EPI(CysC)、CKD-EPI(Cr-CysC)和瑞金这四个方程中选择最准确的方程来估计 GFR,模型选择的方程来估计 GFR。接下来,我们利用测试集数据验证我们的树模型,并将树模型估计的 GFR 与其他 13 个方程进行比较。使用均方根误差(RMSE)、平均绝对误差(MAE)和 Bland-Altman 图来评估不同方法估计的准确性。最终检索到一个包含 BSA、BMI、24 小时尿蛋白量、糖尿病肾病、年龄和 RASi 的分类决策树模型。在测试集中,分类决策树模型估计的 GFR 的 RMSE 和 MAE 分别为 12.2 和 8.5,低于其他 GFR 估计方程。根据测试集中患者的 Bland-Altman 图,基于该模型计算的 eGFR 变化最小。我们应用分类决策树模型为 CKD 患者选择合适的 GFR 估计方程,最终的 GFR 估计基于模型选择结果,为我们提供了更准确的 GFR 估计。

https://cdn.ncbi.nlm.nih.gov/pmc/blobs/3851/9436941/08b535a7a12a/41598_2022_19185_Fig1_HTML.jpg

文献检索

告别复杂PubMed语法,用中文像聊天一样搜索,搜遍4000万医学文献。AI智能推荐,让科研检索更轻松。

立即免费搜索

文件翻译

保留排版,准确专业,支持PDF/Word/PPT等文件格式,支持 12+语言互译。

免费翻译文档

深度研究

AI帮你快速写综述,25分钟生成高质量综述,智能提取关键信息,辅助科研写作。

立即免费体验