Suppr超能文献

胶质纤维酸性蛋白和神经丝轻链在阿尔茨海默病中的现实世界适用性

Real-world applicability of glial fibrillary acidic protein and neurofilament light chain in Alzheimer's disease.

作者信息

Parvizi Tandis, König Theresa, Wurm Raphael, Silvaieh Sara, Altmann Patrick, Klotz Sigrid, Rommer Paulus Stefan, Furtner Julia, Regelsberger Günther, Lehrner Johann, Traub-Weidinger Tatjana, Gelpi Ellen, Stögmann Elisabeth

机构信息

Department of Neurology, Medical University of Vienna, Vienna, Austria.

Division of Neuropathology and Neurochemistry, Department of Neurology, Medical University of Vienna, Vienna, Austria.

出版信息

Front Aging Neurosci. 2022 Aug 22;14:887498. doi: 10.3389/fnagi.2022.887498. eCollection 2022.

Abstract

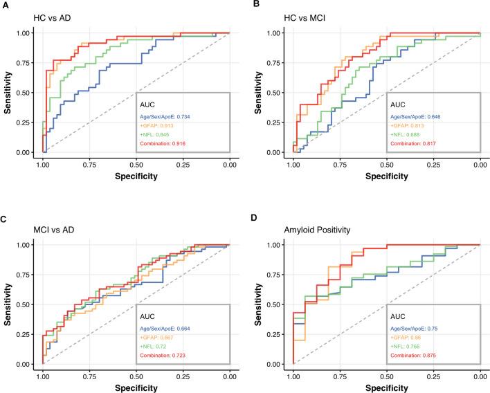
Blood-based biomarkers may add a great benefit in detecting the earliest neuropathological changes in patients with Alzheimer's disease (AD). We examined the utility of neurofilament light chain (NfL) and glial fibrillary acidic protein (GFAP) regarding clinical diagnosis and differentiation between amyloid positive and negative patients. To evaluate the practical application of these biomarkers in a routine clinical setting, we conducted this study in a heterogeneous memory-clinic population. We included 167 patients in this retrospective cross-sectional study, 123 patients with an objective cognitive decline [mild cognitive impairment (MCI) due to AD, = 63, and AD-dementia, = 60] and 44 age-matched healthy controls (HC). Cerebrospinal fluid (CSF) and plasma concentrations of NfL and GFAP were measured with single molecule array (SIMOA) technology using the Neurology 2-Plex B kit from Quanterix. To assess the discriminatory potential of different biomarkers, age- and sex-adjusted receiver operating characteristic (ROC) curves were calculated and the area under the curve (AUC) of each model was compared. We constructed a panel combining plasma NfL and GFAP with known AD risk factors (Combination panel: age+sex++GFAP+NfL). With an AUC of 91.6% (95%CI = 0.85-0.98) for HC vs. AD and 81.7% (95%CI = 0.73-0.90) for HC vs. MCI as well as an AUC of 87.5% (95%CI = 0.73-0.96) in terms of predicting amyloid positivity, this panel showed a promising discriminatory power to differentiate these populations. The combination of plasma GFAP and NfL with well-established risk factors discerns amyloid positive from negative patients and could potentially be applied to identify patients who would benefit from a more invasive assessment of amyloid pathology. In the future, improved prediction of amyloid positivity with a noninvasive test may decrease the number and costs of a more invasive or expensive diagnostic approach.

摘要

基于血液的生物标志物可能在检测阿尔茨海默病(AD)患者最早的神经病理变化方面带来巨大益处。我们研究了神经丝轻链(NfL)和胶质纤维酸性蛋白(GFAP)在临床诊断以及淀粉样蛋白阳性和阴性患者鉴别方面的效用。为了评估这些生物标志物在常规临床环境中的实际应用,我们在一个异质性记忆门诊人群中开展了这项研究。在这项回顾性横断面研究中,我们纳入了167名患者,其中123名有客观认知功能下降[因AD导致的轻度认知障碍(MCI),n = 63,以及AD痴呆,n = 60],44名年龄匹配的健康对照(HC)。使用Quanterix公司的Neurology 2 - Plex B试剂盒,通过单分子阵列(SIMOA)技术测量脑脊液(CSF)和血浆中NfL和GFAP的浓度。为了评估不同生物标志物的鉴别潜力,计算了年龄和性别调整后的受试者操作特征(ROC)曲线,并比较了每个模型的曲线下面积(AUC)。我们构建了一个将血浆NfL和GFAP与已知AD风险因素相结合的组合(组合面板:年龄+性别+ + GFAP + NfL)。该组合在HC与AD之间的AUC为91.6%(95%CI = 0.85 - 0.98),在HC与MCI之间的AUC为81.7%(95%CI = 0.73 - 0.90),在预测淀粉样蛋白阳性方面的AUC为87.5%(95%CI = 0.73 - 0.96),显示出区分这些人群的良好鉴别能力。血浆GFAP和NfL与既定风险因素的组合能够区分淀粉样蛋白阳性和阴性患者,并有可能用于识别那些将从更具侵入性的淀粉样蛋白病理学评估中获益的患者。未来,通过非侵入性检测对淀粉样蛋白阳性进行更好的预测可能会减少更具侵入性或昂贵诊断方法的数量和成本。

https://cdn.ncbi.nlm.nih.gov/pmc/blobs/89da/9441692/e536a488f532/fnagi-14-887498-g0001.jpg

文献检索

告别复杂PubMed语法,用中文像聊天一样搜索,搜遍4000万医学文献。AI智能推荐,让科研检索更轻松。

立即免费搜索

文件翻译

保留排版,准确专业,支持PDF/Word/PPT等文件格式,支持 12+语言互译。

免费翻译文档

深度研究

AI帮你快速写综述,25分钟生成高质量综述,智能提取关键信息,辅助科研写作。

立即免费体验