• 文献检索
  • 文档翻译
  • 深度研究
  • 学术资讯
  • Suppr Zotero 插件Zotero 插件
  • 邀请有礼
  • 套餐&价格
  • 历史记录
应用&插件
Suppr Zotero 插件Zotero 插件浏览器插件Mac 客户端Windows 客户端微信小程序
定价
高级版会员购买积分包购买API积分包
服务
文献检索文档翻译深度研究API 文档MCP 服务
关于我们
关于 Suppr公司介绍联系我们用户协议隐私条款
关注我们

Suppr 超能文献

核心技术专利:CN118964589B侵权必究
粤ICP备2023148730 号-1Suppr @ 2026

文献检索

告别复杂PubMed语法,用中文像聊天一样搜索,搜遍4000万医学文献。AI智能推荐,让科研检索更轻松。

立即免费搜索

文件翻译

保留排版,准确专业,支持PDF/Word/PPT等文件格式,支持 12+语言互译。

免费翻译文档

深度研究

AI帮你快速写综述,25分钟生成高质量综述,智能提取关键信息,辅助科研写作。

立即免费体验

MRI影像组学可预测前列腺癌的无进展生存期。

MRI radiomics predicts progression-free survival in prostate cancer.

作者信息

Jia Yushan, Quan Shuai, Ren Jialiang, Wu Hui, Liu Aishi, Gao Yang, Hao Fene, Yang Zhenxing, Zhang Tong, Hu He

机构信息

Affiliated Hospital, Inner Mongolia Medical University, Hohhot, China.

Department of Pharmaceuticals Diagnosis, GE Healthcare (China), Shanghai, China.

出版信息

Front Oncol. 2022 Aug 30;12:974257. doi: 10.3389/fonc.2022.974257. eCollection 2022.

DOI:10.3389/fonc.2022.974257
PMID:36110963
原文链接:https://pmc.ncbi.nlm.nih.gov/articles/PMC9468743/
Abstract

OBJECTIVE

To assess the predictive value of magnetic resonance imaging (MRI) radiomics for progression-free survival (PFS) in patients with prostate cancer (PCa).

METHODS

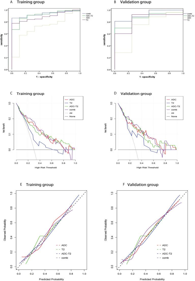
191 patients with prostate cancer confirmed by puncture biopsy or surgical pathology were included in this retrospective study, including 133 in the training group and 58 in the validation group. All patients underwent T2WI and DWI serial scans. Three radiomics models were constructed using univariate logistic regression and Gradient Boosting Decision Tree(GBDT) for feature screening, followed by Cox risk regression to construct a mixed model combining radiomics features and clinicopathological risk factors and to draw a nomogram. The performance of the models was evaluated by receiver operating characteristic curve (ROC), calibration curve and decision curve analysis. The Kaplan-Meier method was applied for survival analysis.

RESULTS

Compared with the radiomics model, the hybrid model consisting of a combination of radiomics features and clinical data performed the best in predicting PFS in PCa patients, with AUCs of 0.926 and 0.917 in the training and validation groups, respectively. Decision curve analysis showed that the radiomics nomogram had good clinical application and the calibration curve proved to have good stability. Survival curves showed that PFS was shorter in the high-risk group than in the low-risk group.

CONCLUSION

The hybrid model constructed from radiomics and clinical data showed excellent performance in predicting PFS in prostate cancer patients. The nomogram provides a non-invasive diagnostic tool for risk stratification of clinical patients.

摘要

目的

评估磁共振成像(MRI)影像组学对前列腺癌(PCa)患者无进展生存期(PFS)的预测价值。

方法

本回顾性研究纳入191例经穿刺活检或手术病理确诊的前列腺癌患者,其中训练组133例,验证组58例。所有患者均接受T2WI和DWI序列扫描。使用单因素逻辑回归和梯度提升决策树(GBDT)进行特征筛选,构建三个影像组学模型,随后采用Cox风险回归构建结合影像组学特征和临床病理危险因素的混合模型并绘制列线图。通过受试者操作特征曲线(ROC)、校准曲线和决策曲线分析评估模型性能。采用Kaplan-Meier法进行生存分析。

结果

与影像组学模型相比,由影像组学特征和临床数据相结合的混合模型在预测PCa患者PFS方面表现最佳,训练组和验证组的AUC分别为0.926和0.917。决策曲线分析表明影像组学列线图具有良好的临床应用价值,校准曲线显示具有良好的稳定性。生存曲线显示高危组的PFS短于低危组。

结论

由影像组学和临床数据构建的混合模型在预测前列腺癌患者PFS方面表现优异。该列线图为临床患者的风险分层提供了一种非侵入性诊断工具。

https://cdn.ncbi.nlm.nih.gov/pmc/blobs/5159/9468743/0ad521d6b699/fonc-12-974257-g006.jpg
https://cdn.ncbi.nlm.nih.gov/pmc/blobs/5159/9468743/c3651bc44efd/fonc-12-974257-g001.jpg
https://cdn.ncbi.nlm.nih.gov/pmc/blobs/5159/9468743/d9a39c39b06f/fonc-12-974257-g002.jpg
https://cdn.ncbi.nlm.nih.gov/pmc/blobs/5159/9468743/cbbff929c91a/fonc-12-974257-g003.jpg
https://cdn.ncbi.nlm.nih.gov/pmc/blobs/5159/9468743/c7f6c2bcdfb7/fonc-12-974257-g004.jpg
https://cdn.ncbi.nlm.nih.gov/pmc/blobs/5159/9468743/4754310611a2/fonc-12-974257-g005.jpg
https://cdn.ncbi.nlm.nih.gov/pmc/blobs/5159/9468743/0ad521d6b699/fonc-12-974257-g006.jpg
https://cdn.ncbi.nlm.nih.gov/pmc/blobs/5159/9468743/c3651bc44efd/fonc-12-974257-g001.jpg
https://cdn.ncbi.nlm.nih.gov/pmc/blobs/5159/9468743/d9a39c39b06f/fonc-12-974257-g002.jpg
https://cdn.ncbi.nlm.nih.gov/pmc/blobs/5159/9468743/cbbff929c91a/fonc-12-974257-g003.jpg
https://cdn.ncbi.nlm.nih.gov/pmc/blobs/5159/9468743/c7f6c2bcdfb7/fonc-12-974257-g004.jpg
https://cdn.ncbi.nlm.nih.gov/pmc/blobs/5159/9468743/4754310611a2/fonc-12-974257-g005.jpg
https://cdn.ncbi.nlm.nih.gov/pmc/blobs/5159/9468743/0ad521d6b699/fonc-12-974257-g006.jpg

相似文献

1
MRI radiomics predicts progression-free survival in prostate cancer.MRI影像组学可预测前列腺癌的无进展生存期。
Front Oncol. 2022 Aug 30;12:974257. doi: 10.3389/fonc.2022.974257. eCollection 2022.
2
Multiparameter MRI Radiomics Model Predicts Preoperative Peritoneal Carcinomatosis in Ovarian Cancer.多参数MRI影像组学模型预测卵巢癌术前腹膜癌转移
Front Oncol. 2021 Oct 21;11:765652. doi: 10.3389/fonc.2021.765652. eCollection 2021.
3
Prediction of clinically significant prostate cancer with a multimodal MRI-based radiomics nomogram.基于多模态磁共振成像的影像组学列线图预测具有临床意义的前列腺癌
Front Oncol. 2022 Jul 15;12:918830. doi: 10.3389/fonc.2022.918830. eCollection 2022.
4
Preoperative contrast-enhanced computed tomography-based radiomics model for overall survival prediction in hepatocellular carcinoma.基于术前增强 CT 的影像组学模型预测肝细胞癌患者总生存期。
World J Gastroenterol. 2022 Aug 21;28(31):4376-4389. doi: 10.3748/wjg.v28.i31.4376.
5
MRI-Based Radiomics Nomogram for Predicting Prostate Cancer with Gray-Zone Prostate-Specific Antigen Levels to Reduce Unnecessary Biopsies.基于MRI的影像组学列线图用于预测处于前列腺特异性抗原灰色区域水平的前列腺癌,以减少不必要的活检。
Diagnostics (Basel). 2022 Dec 1;12(12):3005. doi: 10.3390/diagnostics12123005.
6
Preoperative Prediction of Lymph Node Metastasis of Pancreatic Ductal Adenocarcinoma Based on a Radiomics Nomogram of Dual-Parametric MRI Imaging.基于双参数MRI成像的影像组学列线图对胰腺导管腺癌淋巴结转移的术前预测
Front Oncol. 2022 Jul 6;12:927077. doi: 10.3389/fonc.2022.927077. eCollection 2022.
7
Comparison of Magnetic Resonance Imaging-Based Radiomics Features with Nomogram for Prediction of Prostate Cancer Invasion.基于磁共振成像的影像组学特征与列线图预测前列腺癌侵袭的比较
Int J Gen Med. 2023 Jul 17;16:3043-3051. doi: 10.2147/IJGM.S419039. eCollection 2023.
8
[Prediction of platinum-based chemotherapy sensitivity for epithelial ovarian cancer by multi-sequence MRI-based radiomic nomogram].基于多序列MRI的影像组学列线图预测上皮性卵巢癌铂类化疗敏感性
Zhonghua Yi Xue Za Zhi. 2022 Jan 18;102(3):201-208. doi: 10.3760/cma.j.cn112137-20210816-01844.
9
Multiparametric MRI-based radiomics nomogram for preoperative prediction of lymphovascular invasion and clinical outcomes in patients with breast invasive ductal carcinoma.基于多参数 MRI 的放射组学列线图预测乳腺浸润性导管癌患者的脉管侵犯和临床结局。
Eur Radiol. 2022 Jun;32(6):4079-4089. doi: 10.1007/s00330-021-08504-6. Epub 2022 Jan 20.
10
Radiomics and nomogram of magnetic resonance imaging for preoperative prediction of microvascular invasion in small hepatocellular carcinoma.磁共振成像的放射组学和列线图在小肝细胞癌微血管侵犯术前预测中的应用。
World J Gastroenterol. 2022 Aug 21;28(31):4399-4416. doi: 10.3748/wjg.v28.i31.4399.

引用本文的文献

1
Combining MRI radiomics, hypoxia gene signature score and clinical variables for prediction of biochemical recurrence-free survival after radiotherapy in prostate cancer.联合MRI影像组学、缺氧基因特征评分和临床变量预测前列腺癌放疗后无生化复发生存期
Radiol Med. 2025 Jul 2. doi: 10.1007/s11547-025-02037-4.
2
A nomogram based on radiomic features from peri-prostatic adipose tissue for predicting bone metastasis in first-time diagnosed prostate cancer patients.一种基于前列腺周围脂肪组织放射组学特征的列线图,用于预测首次诊断的前列腺癌患者的骨转移。
Adipocyte. 2025 Dec;14(1):2517583. doi: 10.1080/21623945.2025.2517583. Epub 2025 Jun 19.
3

本文引用的文献

1
Radiomics in prostate cancer: an up-to-date review.前列腺癌中的放射组学:最新综述。
Ther Adv Urol. 2022 Jul 4;14:17562872221109020. doi: 10.1177/17562872221109020. eCollection 2022 Jan-Dec.
2
A Predictive Clinical-Radiomics Nomogram for Survival Prediction of Glioblastoma Using MRI.一种利用磁共振成像(MRI)预测胶质母细胞瘤生存情况的临床影像组学预测列线图。
Diagnostics (Basel). 2021 Nov 4;11(11):2043. doi: 10.3390/diagnostics11112043.
3
A radiomics prognostic scoring system for predicting progression-free survival in patients with stage IV non-small cell lung cancer treated with platinum-based chemotherapy.
An MRI radiomics model for predicting a prostate-specific antigen response following abiraterone treatment in patients with metastatic castration-resistant prostate cancer.
一种用于预测转移性去势抵抗性前列腺癌患者接受阿比特龙治疗后前列腺特异性抗原反应的MRI影像组学模型。
Front Oncol. 2025 Jan 27;15:1491848. doi: 10.3389/fonc.2025.1491848. eCollection 2025.
4
Application of attenuated total reflection-Fourier transform infrared spectroscopy in semi-quantification of blood lipids and characterization of the metabolic syndrome.衰减全反射傅里叶变换红外光谱法在血脂半定量及代谢综合征特征分析中的应用
PLoS One. 2025 Jan 30;20(1):e0316522. doi: 10.1371/journal.pone.0316522. eCollection 2025.
5
Development and Validation of a Deep Learning Model Based on MRI and Clinical Characteristics to Predict Risk of Prostate Cancer Progression.基于MRI和临床特征的深度学习模型用于预测前列腺癌进展风险的开发与验证
Radiol Imaging Cancer. 2025 Jan;7(1):e240078. doi: 10.1148/rycan.240078.
6
Development and Validation of an MRI-Based Radiomics Nomogram to Predict the Prognosis of De Novo Oligometastatic Prostate Cancer Patients.基于MRI的影像组学列线图预测初发寡转移前列腺癌患者预后的开发与验证
Cancer Med. 2024 Dec;13(24):e70481. doi: 10.1002/cam4.70481.
7
Can we predict pathology without surgery? Weighing the added value of multiparametric MRI and whole prostate radiomics in integrative machine learning models.能否不通过手术预测病理?多参数 MRI 和全前列腺放射组学在整合机器学习模型中的附加价值。
Eur Radiol. 2024 Oct;34(10):6241-6253. doi: 10.1007/s00330-024-10699-3. Epub 2024 Mar 20.
8
Robustness of magnetic resonance imaging and positron emission tomography radiomic features in prostate cancer: Impact on recurrence prediction after radiation therapy.前列腺癌中磁共振成像和正电子发射断层扫描影像组学特征的稳健性:对放射治疗后复发预测的影响。
Phys Imaging Radiat Oncol. 2023 Dec 31;29:100530. doi: 10.1016/j.phro.2023.100530. eCollection 2024 Jan.
一种用于预测接受铂类化疗的IV期非小细胞肺癌患者无进展生存期的放射组学预后评分系统。
Chin J Cancer Res. 2021 Oct 31;33(5):592-605. doi: 10.21147/j.issn.1000-9604.2021.05.06.
4
Multiparameter MRI Radiomics Model Predicts Preoperative Peritoneal Carcinomatosis in Ovarian Cancer.多参数MRI影像组学模型预测卵巢癌术前腹膜癌转移
Front Oncol. 2021 Oct 21;11:765652. doi: 10.3389/fonc.2021.765652. eCollection 2021.
5
Prostate Cancer Radiogenomics-From Imaging to Molecular Characterization.前列腺癌放射组学——从成像到分子特征分析。
Int J Mol Sci. 2021 Sep 15;22(18):9971. doi: 10.3390/ijms22189971.
6
Ultrasound-based radiomics score: a potential biomarker for the prediction of progression-free survival in ovarian epithelial cancer.基于超声的放射组学评分:一种预测卵巢上皮癌无进展生存期的潜在生物标志物。
Abdom Radiol (NY). 2021 Oct;46(10):4936-4945. doi: 10.1007/s00261-021-03163-z. Epub 2021 Jun 13.
7
Global Cancer Statistics 2020: GLOBOCAN Estimates of Incidence and Mortality Worldwide for 36 Cancers in 185 Countries.《全球癌症统计数据 2020:全球 185 个国家和地区 36 种癌症的发病率和死亡率估计》。
CA Cancer J Clin. 2021 May;71(3):209-249. doi: 10.3322/caac.21660. Epub 2021 Feb 4.
8
Development and Validation of a Preoperative Magnetic Resonance Imaging Radiomics-Based Signature to Predict Axillary Lymph Node Metastasis and Disease-Free Survival in Patients With Early-Stage Breast Cancer.基于术前磁共振成像放射组学的signature 模型:预测早期乳腺癌患者腋窝淋巴结转移和无病生存的研究
JAMA Netw Open. 2020 Dec 1;3(12):e2028086. doi: 10.1001/jamanetworkopen.2020.28086.
9
Systematic Review and Meta-Analysis of Vesical Imaging-Reporting and Data System (VI-RADS) Inter-Observer Reliability: An Added Value for Muscle Invasive Bladder Cancer Detection.膀胱影像报告和数据系统(VI-RADS)观察者间可靠性的系统评价和Meta分析:对肌层浸润性膀胱癌检测的附加价值
Cancers (Basel). 2020 Oct 15;12(10):2994. doi: 10.3390/cancers12102994.
10
Genetic Landscape of Prostate Cancer Conspicuity on Multiparametric Magnetic Resonance Imaging: A Systematic Review and Bioinformatic Analysis.多参数磁共振成像中前列腺癌显见性的遗传图谱:一项系统综述和生物信息学分析
Eur Urol Open Sci. 2020 Jul;20:37-47. doi: 10.1016/j.euros.2020.06.006.