Center of Sports, Federal University of Santa Catarina, 88040-900 Florianópolis, SC, Brazil.
Health and Sport Science Center, State University of Santa Catarina, 88080-350 Florianópolis, SC, Brazil.
Int J Environ Res Public Health. 2022 Sep 24;19(19):12091. doi: 10.3390/ijerph191912091.
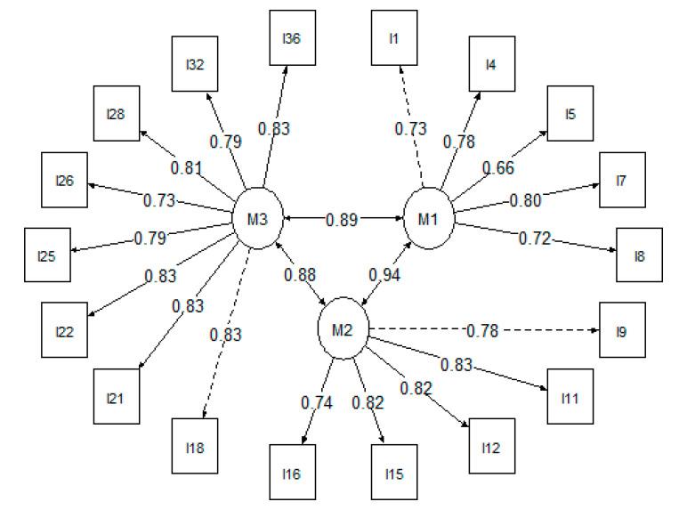
Constructivism is used as a powerful theoretical outlook to support teaching, learning, and curriculum in physical education and sport. The Constructivist Teaching Practices Inventory in Elementary Physical Education (CTPI-EPE) is a valid instrument for assessing in-service teachers. However, there is a need to translate constructivist teaching practices for PE into other languages. This study examined the validity of the Portuguese version of the adapted CTPI-EPE for Brazilian physical education preservice teachers (PST). The sample comprised of 869 physical education PSTs from Brazil. Data were collected through an online form. Aiken's V was used to examine content validity, and Bayesian methods used for exploratory and confirmatory factor analysis. The results showed adequate content and internal structure of the translated and adapted questionnaire. This study highlighted the validity of the Portuguese version of the CTPI-EPE, which could be considered an important instrument for self-reflection by PSTs, and provide information for improved training in higher education toward constructivist teaching.
建构主义被用作一种强大的理论观点,支持体育教育中的教学、学习和课程。《小学体育中的建构主义教学实践量表》(CTPI-EPE)是评估在职教师的有效工具。然而,需要将体育教育中的建构主义教学实践翻译成其他语言。本研究检验了经改编的 CTPI-EPE 的葡萄牙语版本在巴西体育教育职前教师(PST)中的有效性。样本包括来自巴西的 869 名体育教育职前教师。数据通过在线表格收集。Aiken's V 用于检验内容效度,贝叶斯方法用于探索性和验证性因素分析。结果表明,经过翻译和改编的问卷具有足够的内容和内部结构。本研究强调了 CTPI-EPE 的葡萄牙语版本的有效性,该版本可以被视为 PST 自我反思的重要工具,并为高等教育中建构主义教学的改进培训提供信息。