• 文献检索
  • 文档翻译
  • 深度研究
  • 学术资讯
  • Suppr Zotero 插件Zotero 插件
  • 邀请有礼
  • 套餐&价格
  • 历史记录
应用&插件
Suppr Zotero 插件Zotero 插件浏览器插件Mac 客户端Windows 客户端微信小程序
定价
高级版会员购买积分包购买API积分包
服务
文献检索文档翻译深度研究API 文档MCP 服务
关于我们
关于 Suppr公司介绍联系我们用户协议隐私条款
关注我们

Suppr 超能文献

核心技术专利:CN118964589B侵权必究
粤ICP备2023148730 号-1Suppr @ 2026

文献检索

告别复杂PubMed语法,用中文像聊天一样搜索,搜遍4000万医学文献。AI智能推荐,让科研检索更轻松。

立即免费搜索

文件翻译

保留排版,准确专业,支持PDF/Word/PPT等文件格式,支持 12+语言互译。

免费翻译文档

深度研究

AI帮你快速写综述,25分钟生成高质量综述,智能提取关键信息,辅助科研写作。

立即免费体验

采用低损耗非易失性[化学式:见原文]相变材料对氮化硅微环谐振器进行热光调谐。

Thermo-optic tuning of silicon nitride microring resonators with low loss non-volatile [Formula: see text] phase change material.

作者信息

Ilie Stefan T, Faneca Joaquin, Zeimpekis Ioannis, Bucio Thalía Domínguez, Grabska Katarzyna, Hewak Daniel W, Chong Harold M H, Gardes Frederic Y

机构信息

Optoelectronics Research Centre, University of Southampton, Highfield, Southampton, SO17 1BJ UK.

Instituto de Microelectrónica de Barcelona, IMB-CNM (CSIC), Campus UAB, 08193 Bellaterra, Barcelona Spain.

出版信息

Sci Rep. 2022 Oct 24;12(1):17815. doi: 10.1038/s41598-022-21590-w.

DOI:10.1038/s41598-022-21590-w
PMID:36280699
原文链接:https://pmc.ncbi.nlm.nih.gov/articles/PMC9592623/
Abstract

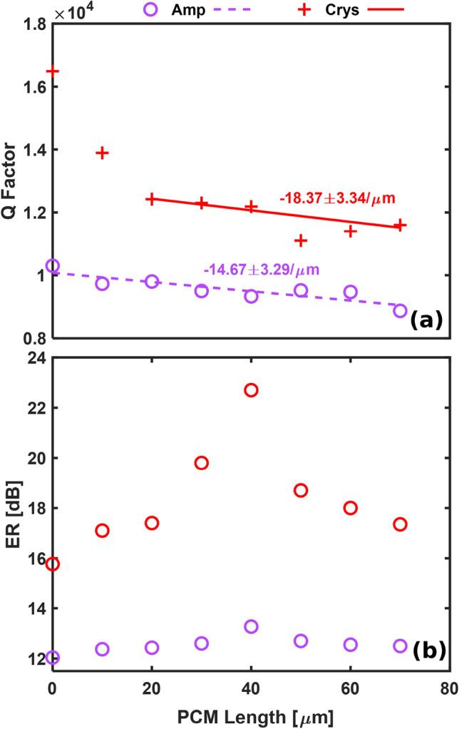
A new family of phase change material based on antimony has recently been explored for applications in near-IR tunable photonics due to its wide bandgap, manifested as broadband transparency from visible to NIR wavelengths. Here, we characterize [Formula: see text] optically and demonstrate the integration of this phase change material in a silicon nitride platform using a microring resonator that can be thermally tuned using the amorphous and crystalline states of the phase change material, achieving extinction ratios of up to 18 dB in the C-band. We extract the thermo-optic coefficient of the amorphous and crystalline states of the [Formula: see text] to be 3.4 x [Formula: see text] and 0.1 x 10[Formula: see text], respectively. Additionally, we detail the first observation of bi-directional shifting for permanent trimming of a non-volatile switch using continuous wave (CW) laser exposure ([Formula: see text] to 5.1 dBm) with a modulation in effective refractive index ranging from +5.23 x [Formula: see text] to [Formula: see text] x 10[Formula: see text]. This work experimentally verifies optical phase modifications and permanent trimming of [Formula: see text], enabling potential applications such as optically controlled memories and weights for neuromorphic architecture and high density switch matrix using a multi-layer PECVD based photonic integrated circuit.

摘要

最近,一种基于锑的新型相变材料因其宽带隙而被探索用于近红外可调谐光子学,其表现为从可见光到近红外波长的宽带透明度。在此,我们对[公式:见正文]进行光学表征,并展示了这种相变材料在氮化硅平台中的集成,使用了一个微环谐振器,该谐振器可以利用相变材料的非晶态和晶态进行热调谐,在C波段实现了高达18 dB的消光比。我们提取出[公式:见正文]非晶态和晶态的热光系数分别为3.4×[公式:见正文]和0.1×10[公式:见正文]。此外,我们详细介绍了首次观察到的使用连续波(CW)激光曝光([公式:见正文]至5.1 dBm)对非易失性开关进行永久微调时的双向偏移,有效折射率调制范围为+5.23×[公式:见正文]至[公式:见正文]×10[公式:见正文]。这项工作通过实验验证了[公式:见正文]的光学相位修改和永久微调,为诸如光控存储器和用于神经形态架构的权重以及使用基于多层PECVD的光子集成电路的高密度开关矩阵等潜在应用提供了可能。

https://cdn.ncbi.nlm.nih.gov/pmc/blobs/eea3/9592623/cc45383c7ed0/41598_2022_21590_Fig7_HTML.jpg
https://cdn.ncbi.nlm.nih.gov/pmc/blobs/eea3/9592623/fef6be47d10b/41598_2022_21590_Fig1_HTML.jpg
https://cdn.ncbi.nlm.nih.gov/pmc/blobs/eea3/9592623/86c5d90cb6ce/41598_2022_21590_Fig2_HTML.jpg
https://cdn.ncbi.nlm.nih.gov/pmc/blobs/eea3/9592623/59ad90706c9a/41598_2022_21590_Fig3_HTML.jpg
https://cdn.ncbi.nlm.nih.gov/pmc/blobs/eea3/9592623/5d805063cf0a/41598_2022_21590_Fig4_HTML.jpg
https://cdn.ncbi.nlm.nih.gov/pmc/blobs/eea3/9592623/c521bcebf5b9/41598_2022_21590_Fig5_HTML.jpg
https://cdn.ncbi.nlm.nih.gov/pmc/blobs/eea3/9592623/ed0c90806bcf/41598_2022_21590_Fig6_HTML.jpg
https://cdn.ncbi.nlm.nih.gov/pmc/blobs/eea3/9592623/cc45383c7ed0/41598_2022_21590_Fig7_HTML.jpg
https://cdn.ncbi.nlm.nih.gov/pmc/blobs/eea3/9592623/fef6be47d10b/41598_2022_21590_Fig1_HTML.jpg
https://cdn.ncbi.nlm.nih.gov/pmc/blobs/eea3/9592623/86c5d90cb6ce/41598_2022_21590_Fig2_HTML.jpg
https://cdn.ncbi.nlm.nih.gov/pmc/blobs/eea3/9592623/59ad90706c9a/41598_2022_21590_Fig3_HTML.jpg
https://cdn.ncbi.nlm.nih.gov/pmc/blobs/eea3/9592623/5d805063cf0a/41598_2022_21590_Fig4_HTML.jpg
https://cdn.ncbi.nlm.nih.gov/pmc/blobs/eea3/9592623/c521bcebf5b9/41598_2022_21590_Fig5_HTML.jpg
https://cdn.ncbi.nlm.nih.gov/pmc/blobs/eea3/9592623/ed0c90806bcf/41598_2022_21590_Fig6_HTML.jpg
https://cdn.ncbi.nlm.nih.gov/pmc/blobs/eea3/9592623/cc45383c7ed0/41598_2022_21590_Fig7_HTML.jpg

相似文献

1
Thermo-optic tuning of silicon nitride microring resonators with low loss non-volatile [Formula: see text] phase change material.采用低损耗非易失性[化学式:见原文]相变材料对氮化硅微环谐振器进行热光调谐。
Sci Rep. 2022 Oct 24;12(1):17815. doi: 10.1038/s41598-022-21590-w.
2
Electrically controlled 1  ×  2 tunable switch using a phase change material embedded silicon microring.采用嵌入相变材料的硅微环的电控1×2可调开关。
Appl Opt. 2021 May 1;60(13):3559-3568. doi: 10.1364/AO.418358.
3
Silicon nitride stress-optic microresonator modulator for optical control applications.用于光控应用的氮化硅应力-光学微谐振器调制器。
Opt Express. 2022 Aug 29;30(18):31816-31827. doi: 10.1364/OE.467721.
4
All-optical phase control in nanophotonic silicon waveguides with epsilon-near-zero nanoheaters.采用近零介电常数纳米加热器的纳米光子硅波导中的全光相位控制。
Sci Rep. 2021 May 4;11(1):9474. doi: 10.1038/s41598-021-88865-6.
5
Thermo-Optic Response and Optical Bistablility of Integrated High-Index Doped Silica Ring Resonators.集成高折射率掺杂二氧化硅环形谐振器的热光响应与光学双稳性
Sensors (Basel). 2023 Dec 11;23(24):9767. doi: 10.3390/s23249767.
6
Non-volatile electrically programmable integrated photonics with a 5-bit operation.具有 5 位操作的非易失性电可编程集成光子学。
Nat Commun. 2023 Jun 12;14(1):3465. doi: 10.1038/s41467-023-39180-3.
7
Broadband tunable microwave photonic phase shifter with low RF power variation in a high-Q AlN microring.基于高Q值氮化铝微环、具有低射频功率变化的宽带可调谐微波光子移相器
Opt Lett. 2016 Aug 1;41(15):3599-602. doi: 10.1364/OL.41.003599.
8
Zn[Formula: see text]Ni[Formula: see text]Te semiconductor nanocrystals in transparent glass for optoelectronic device applications.用于光电器件应用的透明玻璃中的 Zn[化学式:见正文]Ni[化学式:见正文]Te 半导体纳米晶体。
Sci Rep. 2023 May 10;13(1):7627. doi: 10.1038/s41598-023-34591-0.
9
Electro-optically tunable microring resonators on lithium niobate.基于铌酸锂的电光可调微环谐振器。
Opt Lett. 2007 Oct 1;32(19):2777-9. doi: 10.1364/ol.32.002777.
10
Optically-controlled extinction ratio and Q-factor tunable silicon microring resonators based on optical forces.基于光力的光控消光比和品质因数可调谐硅微环谐振器
Sci Rep. 2014 Jun 24;4:5409. doi: 10.1038/srep05409.

引用本文的文献

1
Emerging Trends in Thermo-Optic and Electro-Optic Materials for Tunable Photonic Devices.用于可调谐光子器件的热光和电光材料的新兴趋势。
Materials (Basel). 2025 Jun 13;18(12):2782. doi: 10.3390/ma18122782.
2
Magic Silicon Dioxide for Widely Tunable Photonic Integrated Circuits.用于广泛可调谐光子集成电路的神奇二氧化硅
ACS Photonics. 2025 Feb 5;12(3):1321-1328. doi: 10.1021/acsphotonics.4c01373. eCollection 2025 Mar 19.
3
Decoding the Atomic Structure of GaTe Pulsed Laser Deposition Films for Memory Applications Using Diffraction and First-Principles Simulations.

本文引用的文献

1
Nonvolatile waveguide transmission tuning with electrically-driven ultra-small GST phase-change material.利用电驱动超小 GST 相变材料实现非易失性波导传输调谐
Sci Bull (Beijing). 2019 Jun 15;64(11):782-789. doi: 10.1016/j.scib.2019.04.035. Epub 2019 May 3.
2
Interlaboratory study on SbS interplay between structure, dielectric function, and amorphous-to-crystalline phase change for photonics.用于光子学的结构、介电函数与非晶态到晶态相变之间SbS相互作用的实验室间研究。
iScience. 2022 May 10;25(6):104377. doi: 10.1016/j.isci.2022.104377. eCollection 2022 Jun 17.
3
Nonvolatile programmable silicon photonics using an ultralow-loss SbSe phase change material.
利用衍射和第一性原理模拟解码用于存储器应用的碲化镓脉冲激光沉积薄膜的原子结构
Nanomaterials (Basel). 2023 Jul 23;13(14):2137. doi: 10.3390/nano13142137.
使用超低损耗SbSe相变材料的非易失性可编程硅光子学。
Sci Adv. 2021 Jun 16;7(25). doi: 10.1126/sciadv.abg3500. Print 2021 Jun.
4
Programmable photonic circuits.可编程光子电路。
Nature. 2020 Oct;586(7828):207-216. doi: 10.1038/s41586-020-2764-0. Epub 2020 Oct 7.
5
On-chip sub-wavelength Bragg grating design based on novel low loss phase-change materials.基于新型低损耗相变材料的片上亚波长布拉格光栅设计
Opt Express. 2020 May 25;28(11):16394-16406. doi: 10.1364/OE.389598.
6
Modeling Electrical Switching of Nonvolatile Phase-Change Integrated Nanophotonic Structures with Graphene Heaters.利用石墨烯加热器对非易失性相变集成纳米光子结构的电开关进行建模。
ACS Appl Mater Interfaces. 2020 May 13;12(19):21827-21836. doi: 10.1021/acsami.0c02333. Epub 2020 Apr 28.
7
Subvolt electro-optical modulator on thin-film lithium niobate and silicon nitride hybrid platform.基于薄膜铌酸锂和氮化硅混合平台的亚伏电光调制器。
Opt Lett. 2020 Mar 1;45(5):1112-1115. doi: 10.1364/OL.381892.
8
Tuning silicon-rich nitride microring resonances with graphene capacitors for high-performance computing applications.利用石墨烯电容器调谐富硅氮化物微环共振以用于高性能计算应用。
Opt Express. 2019 Nov 25;27(24):35129-35140. doi: 10.1364/OE.27.035129.
9
Broadband transparent optical phase change materials for high-performance nonvolatile photonics.宽带透明光致相变材料用于高性能非易失性光子学。
Nat Commun. 2019 Sep 30;10(1):4279. doi: 10.1038/s41467-019-12196-4.
10
All-optical spiking neurosynaptic networks with self-learning capabilities.具有自学习能力的全光尖峰神经突触网络。
Nature. 2019 May;569(7755):208-214. doi: 10.1038/s41586-019-1157-8. Epub 2019 May 8.