Suppr超能文献

一项针对全国移动健康计划中成年人的身体活动趋势的研究:一项基于人群的队列研究,涉及 411528 名成年人。

Physical Activity Trends Among Adults in a National Mobile Health Program: A Population-Based Cohort Study of 411,528 Adults.

机构信息

Department of Statistics and Data Science, National University of Singapore, Singapore.

Saw Swee Hock School of Public Health, National University of Singapore and National University Health System, Singapore.

出版信息

Am J Epidemiol. 2023 Feb 24;192(3):397-407. doi: 10.1093/aje/kwac193.

Abstract

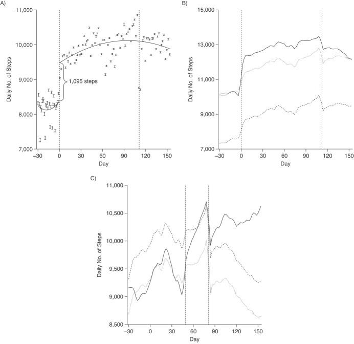
Physical inactivity is a global public health challenge, and effective, large-scale interventions are needed. We examined the effectiveness of a population-wide mobile health (mHealth) intervention in Singapore, National Steps Challenge Season 3 (NSC3) and 2 booster challenges (Personal Pledge and Corporate Challenge). The study includes 411,528 participants. We used regression discontinuity design and difference-in-difference with fixed-effects regression to examine the association of NSC3 and the additional booster challenges on daily step counts. Participants tended to be female (58.5%), with an average age of 41.5 years (standard deviation, 13.9) and body mass index (weight (kg)/height (m)2) of 23.8 (standard deviation, 4.5). We observed that NSC3 was associated with a mean increase of 1,437 steps (95% confidence interval (CI): 1,408, 1,467) per day. Enrollments in Personal Pledge and Corporate Challenge were associated with additional mean increases of 1,172 (95% CI: 1,123, 1,222) and 896 (95% CI: 862, 930) steps per day, respectively. For NSC3, the associated mean increase in the step counts across different sex and age groups varied, with greater increases for female participants and those in the oldest age group. We provide real-world evidence suggesting that NSC3 was associated with improvements in participants' step counts. Results suggest NSC3 is an effective and appealing population-wide mHealth physical activity intervention.

摘要

身体活动不足是一个全球性的公共卫生挑战,需要采取有效的大规模干预措施。我们研究了新加坡全民健康移动应用(mHealth)干预措施,即国家步数挑战赛第 3 季(NSC3)和 2 个助推挑战赛(个人承诺挑战赛和企业挑战赛)的有效性。该研究纳入了 411,528 名参与者。我们使用回归不连续性设计和固定效应回归的差分法来检验 NSC3 以及额外的助推挑战赛对日常步数的影响。参与者倾向于为女性(58.5%),平均年龄为 41.5 岁(标准差 13.9),体重指数(体重(kg)/身高(m)2)为 23.8(标准差 4.5)。我们观察到 NSC3 与每天平均增加 1,437 步(95%置信区间(CI):1,408,1,467)相关。个人承诺挑战赛和企业挑战赛的参与与每天额外增加 1,172 步(95% CI:1,123,1,222)和 896 步(95% CI:1,123,1,222)相关。对于 NSC3,不同性别和年龄组的参与者的步数增加均值存在差异,女性参与者和年龄最大的组的增加幅度更大。我们提供了真实世界的证据,表明 NSC3 与参与者的步数增加有关。结果表明,NSC3 是一种有效且吸引人的全民 mHealth 体力活动干预措施。

https://cdn.ncbi.nlm.nih.gov/pmc/blobs/34fb/9985108/05698c031d68/kwac193f1.jpg

文献检索

告别复杂PubMed语法,用中文像聊天一样搜索,搜遍4000万医学文献。AI智能推荐,让科研检索更轻松。

立即免费搜索

文件翻译

保留排版,准确专业,支持PDF/Word/PPT等文件格式,支持 12+语言互译。

免费翻译文档

深度研究

AI帮你快速写综述,25分钟生成高质量综述,智能提取关键信息,辅助科研写作。

立即免费体验