Suppr超能文献

单纯腭裂患者腭部手术对颅面形态的影响:系统评价与荟萃分析。

Influence of Primary Palatal Surgery on Craniofacial Morphology in Patients with Cleft Palate Only (CPO)-Systematic Review with Meta-Analysis.

机构信息

Department of Interdisciplinary Dentistry, Pomeranian Medical University in Szczecin, 70-111 Szczecin, Poland.

Department of Oral and Maxillofacial Sciences, Sapienza University of Rome, 00161 Rome, Italy.

出版信息

Int J Environ Res Public Health. 2022 Oct 27;19(21):14006. doi: 10.3390/ijerph192114006.

Abstract

BACKGROUND

Cleft palate only (CPO) is the second most prevalent cleft type. Both the cleft and palatal scarring may affect craniofacial growth. The aim of this systematic review was to summarize scientific evidence on effect of palatal surgery on craniofacial morphology in CPO.

METHODS

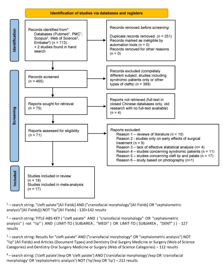
A search was conducted in PubMed, PMC, WoS, Scopus, Embase, using the keywords: "cleft palate" AND ("craniofacial morphology" OR "cephalometric analysis") NOT "lip" with inclusion and exclusion criteria ensuring confident, direct comparison between study groups. The quality assessment was performed with Arrive's scale for radiologic examinations.

RESULTS

Of 713 potential articles, 19 were subjected to qualitative analysis and 17 to meta-analysis, which confirmed reduced SNA in unoperated CPO versus non-cleft individuals. No scientific evidence was found directly assessing the effect of surgery on craniofacial morphology. The negative effect of palatal surgery was seen indirectly: in treated CPO versus non-cleft, the size effect of SNA is bigger than in untreated CPO versus non-cleft. A high heterogeneity came from a few non-European publications.

CONCLUSIONS

CPO is associated with sagittal maxillary deficiency resulting both from the cleft and from primary surgery, disregarding cleft severity in operated CPO patients. Ethnic differences influence craniofacial morphology in CPO. This research received no external funding. Study protocol number in PROSPERO database: CRD42021268957.

摘要

背景

腭裂仅(CPO)是第二常见的腭裂类型。裂隙和腭部瘢痕都可能影响颅面生长。本系统评价的目的是总结腭裂手术对 CPO 颅面形态影响的科学证据。

方法

在 PubMed、PMC、WoS、Scopus、Embase 中使用关键词“cleft palate”AND(“craniofacial morphology”或“cephalometric analysis”)NOT“lip”进行检索,并纳入和排除标准,以确保研究组之间有信心、直接进行比较。使用 Arrive 放射学检查量表进行质量评估。

结果

在 713 篇潜在文章中,19 篇进行了定性分析,17 篇进行了荟萃分析,结果证实未经手术治疗的 CPO 与非裂隙个体相比 SNA 减小。没有直接评估手术对颅面形态影响的科学证据。腭部手术的负面影响是间接的:与非裂隙个体相比,接受治疗的 CPO 与未接受治疗的 CPO 相比,SNA 的大小效应更大。高异质性源于少数非欧洲出版物。

结论

CPO 与矢状上颌骨发育不全有关,这种发育不全既来自裂隙,也来自原发性手术,而不考虑接受手术治疗的 CPO 患者的裂隙严重程度。种族差异影响 CPO 的颅面形态。本研究没有外部资金支持。PROSPERO 数据库中的研究方案编号:CRD42021268957。

https://cdn.ncbi.nlm.nih.gov/pmc/blobs/f3e8/9657752/4ac0ce6c7dea/ijerph-19-14006-g001.jpg

文献检索

告别复杂PubMed语法,用中文像聊天一样搜索,搜遍4000万医学文献。AI智能推荐,让科研检索更轻松。

立即免费搜索

文件翻译

保留排版,准确专业,支持PDF/Word/PPT等文件格式,支持 12+语言互译。

免费翻译文档

深度研究

AI帮你快速写综述,25分钟生成高质量综述,智能提取关键信息,辅助科研写作。

立即免费体验