Suppr超能文献

血浆和腹腔液纤维连接蛋白和胶原 IV 水平作为子宫内膜异位症潜在生物标志物。

Plasma and Peritoneal Fluid Fibronectin and Collagen IV Levels as Potential Biomarkers of Endometriosis.

机构信息

1st Department of Obstetrics and Gynaecology, Medical University of Warsaw, 02-091 Warsaw, Poland.

Angelius Provita Hospital, 40-611 Katowice, Poland.

出版信息

Int J Mol Sci. 2022 Dec 10;23(24):15669. doi: 10.3390/ijms232415669.

Abstract

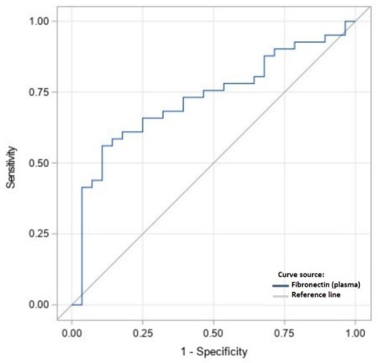
Laparoscopy as a diagnostic tool for patients with suspected endometriosis is associated with several potentially life-threatening complications. Therefore, it is imperative to identify reliable, non-invasive biomarkers of the disease. The aim of this study was to analyse the concentrations of fibronectin and type IV collagen in peritoneal fluid and plasma to assess their role as potential biomarkers in the diagnosis of endometriosis. Fibronectin and collagen IV protein levels were assessed by surface plasmon resonance imaging (SPRi) biosensors with the usage of monoclonal antibodies. All patients enrolled in the study were referred for laparoscopy for the diagnosis of infertility or chronic pelvic pain (n = 84). The study group included patients with endometriosis confirmed during surgery (n = 49). The concentration of fibronectin in the plasma (329.3 ± 98.5 mg/L) and peritoneal fluid (26.8 ± 11.1 μg/L) in women with endometriosis was significantly higher than in the control group (251.2 ± 84.0 mg/L, 7.0 ± 5.9 μg/L). Fibronectin levels were independent of endometriosis stage ( = 0.874, = 0.469). No significant differences were observed in collagen IV levels ( = 0.385, = 0.465). The presence of elevated levels of fibronectin may indicate abnormalities in cell-ECM signalling during the course of endometriosis, and may be a potential biomarker for early detection.

摘要

腹腔镜检查作为疑似子宫内膜异位症患者的诊断工具,与一些潜在的危及生命的并发症有关。因此,识别可靠的、非侵入性的疾病生物标志物至关重要。本研究旨在分析腹腔液和血浆中纤维连接蛋白和 IV 型胶原的浓度,以评估它们作为子宫内膜异位症诊断潜在生物标志物的作用。使用单克隆抗体,通过表面等离子体共振成像(SPRi)生物传感器评估纤维连接蛋白和胶原 IV 蛋白水平。所有入组研究的患者均因不孕症或慢性盆腔痛而行腹腔镜检查(n=84)。研究组包括术中确诊为子宫内膜异位症的患者(n=49)。子宫内膜异位症患者血浆(329.3±98.5mg/L)和腹腔液(26.8±11.1μg/L)中的纤维连接蛋白浓度明显高于对照组(251.2±84.0mg/L,7.0±5.9μg/L)。纤维连接蛋白水平与子宫内膜异位症分期无关(=0.874,=0.469)。IV 型胶原水平无显著差异(=0.385,=0.465)。纤维连接蛋白水平升高可能表明子宫内膜异位症过程中细胞-ECM 信号异常,可能是早期检测的潜在生物标志物。

https://cdn.ncbi.nlm.nih.gov/pmc/blobs/4b15/9778765/7648dec008cd/ijms-23-15669-g001.jpg

相似文献

5
Is the leptin/BMI ratio a reliable biomarker for endometriosis?
Front Endocrinol (Lausanne). 2024 Mar 19;15:1359182. doi: 10.3389/fendo.2024.1359182. eCollection 2024.
6
The SPRi determination of cathepsin L and S in plasma and peritoneal fluid of women with endometriosis.
Adv Med Sci. 2024 Sep;69(2):224-230. doi: 10.1016/j.advms.2024.04.004. Epub 2024 Apr 18.
7
Serum and peritoneal fluid levels of interleukin-6 and interleukin-37 as biomarkers for endometriosis.
Gynecol Endocrinol. 2019 Jul;35(7):571-575. doi: 10.1080/09513590.2018.1554034. Epub 2019 Jan 11.

引用本文的文献

1
The vicious cycle of chronic endometriosis and depression-an immunological and physiological perspective.
Front Med (Lausanne). 2024 Sep 6;11:1425691. doi: 10.3389/fmed.2024.1425691. eCollection 2024.
2
Relaxed fibronectin: a potential novel target for imaging endometriotic lesions.
EJNMMI Res. 2024 Feb 10;14(1):17. doi: 10.1186/s13550-024-01070-0.
3
Molecular and Cellular Advances in Endometriosis Research: Paving the Way for Future Directions.
Int J Mol Sci. 2023 Aug 11;24(16):12663. doi: 10.3390/ijms241612663.

本文引用的文献

1
Plasma and Peritoneal Fluid ZEB Levels in Patients with Endometriosis and Infertility.
Biomedicines. 2022 Oct 1;10(10):2460. doi: 10.3390/biomedicines10102460.
2
Plasma and Peritoneal Poly (ADP-Ribose) Polymerase Levels in Patients with Endometriosis.
Biomedicines. 2022 Oct 1;10(10):2451. doi: 10.3390/biomedicines10102451.
3
The Role of Cadherin 12 (CDH12) in the Peritoneal Fluid among Patients with Endometriosis and Endometriosis-Related Infertility.
Int J Environ Res Public Health. 2022 Sep 14;19(18):11586. doi: 10.3390/ijerph191811586.
4
Laminin-5, Fibronectin, and Type IV Collagen as Potential Biomarkers of Brain Glioma Malignancy.
Biomedicines. 2022 Sep 15;10(9):2290. doi: 10.3390/biomedicines10092290.
5
Molecular Mechanisms Underlying the Association between Endometriosis and Ectopic Pregnancy.
Int J Mol Sci. 2022 Mar 23;23(7):3490. doi: 10.3390/ijms23073490.
6
Diagnostic delay of endometriosis in adults and adolescence-current stage of knowledge.
Adv Med Sci. 2022 Mar;67(1):148-153. doi: 10.1016/j.advms.2022.02.003. Epub 2022 Mar 2.
7
Fibronectin Molecular Status in Plasma of Women with Endometriosis and Fertility Disorders.
Int J Mol Sci. 2021 Oct 22;22(21):11410. doi: 10.3390/ijms222111410.
9
Fibronectin: Molecular Structure, Fibrillar Structure and Mechanochemical Signaling.
Cells. 2021 Sep 16;10(9):2443. doi: 10.3390/cells10092443.

文献AI研究员

20分钟写一篇综述,助力文献阅读效率提升50倍。

立即体验

用中文搜PubMed

大模型驱动的PubMed中文搜索引擎

马上搜索

文档翻译

学术文献翻译模型,支持多种主流文档格式。

立即体验