• 文献检索
  • 文档翻译
  • 深度研究
  • 学术资讯
  • Suppr Zotero 插件Zotero 插件
  • 邀请有礼
  • 套餐&价格
  • 历史记录
应用&插件
Suppr Zotero 插件Zotero 插件浏览器插件Mac 客户端Windows 客户端微信小程序
定价
高级版会员购买积分包购买API积分包
服务
文献检索文档翻译深度研究API 文档MCP 服务
关于我们
关于 Suppr公司介绍联系我们用户协议隐私条款
关注我们

Suppr 超能文献

核心技术专利:CN118964589B侵权必究
粤ICP备2023148730 号-1Suppr @ 2026

文献检索

告别复杂PubMed语法,用中文像聊天一样搜索,搜遍4000万医学文献。AI智能推荐,让科研检索更轻松。

立即免费搜索

文件翻译

保留排版,准确专业,支持PDF/Word/PPT等文件格式,支持 12+语言互译。

免费翻译文档

深度研究

AI帮你快速写综述,25分钟生成高质量综述,智能提取关键信息,辅助科研写作。

立即免费体验

基于 MRI 的影像组学预测模型的开发,用于分类子宫内膜病变。

Development of MRI-based radiomics predictive model for classifying endometrial lesions.

机构信息

Department of Radiology, Jiangxi Provincial People's Hospital, The First Affiliated Hospital of Nanchang Medical College, 152 Aiguo Road, Nanchang, 330006, China.

Department of Gynecology, Jiangxi Provincial People's Hospital, The First Affiliated Hospital of Nanchang Medical College, Nanchang, China.

出版信息

Sci Rep. 2023 Jan 28;13(1):1590. doi: 10.1038/s41598-023-28819-2.

DOI:10.1038/s41598-023-28819-2
PMID:36709399
原文链接:https://pmc.ncbi.nlm.nih.gov/articles/PMC9884294/
Abstract

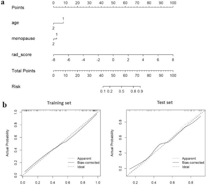
An unbiased and accurate diagnosis of benign and malignant endometrial lesions is essential for the gynecologist, as each type might require distinct treatment. Radiomics is a quantitative method that could facilitate deep mining of information and quantification of the heterogeneity in images, thereby aiding clinicians in proper lesion diagnosis. The aim of this study is to develop an appropriate predictive model for the classification of benign and malignant endometrial lesions, and evaluate potential clinical applicability of the model. 139 patients with pathologically-confirmed endometrial lesions from January 2018 to July 2020 in two independent centers (center A and B) were finally analyzed. Center A was used for training set, while center B was used for test set. The lesions were manually drawn on the largest slice based on the lesion area by two radiologists. After feature extraction and feature selection, the possible associations between radiomics features and clinical parameters were assessed by Uni- and multi- variable logistic regression. The receiver operator characteristic (ROC) curve and DeLong validation were employed to evaluate the possible predictive performance of the models. Decision curve analysis (DCA) was used to evaluate the net benefit of the radiomics nomogram. A radiomics prediction model was established from the 15 selected features, and were found to be relatively high discriminative on the basis of the area under the ROC curve (AUC) for both the training and the test cohorts (AUC = 0.90 and 0.85, respectively). The radiomics nomogram also showed good performance of discrimination for both the training and test cohorts (AUC = 0.91 and 0.86, respectively), and the DeLong test shows that AUCs were significantly different between clinical parameters and nomogram. The result of DCA demonstrated the clinical usefulness of this novel nomogram method. The predictive model constructed based on MRI radiomics and clinical parameters indicated a highly diagnostic efficiency, thereby implying its potential clinical usefulness for the precise identification and prediction of endometrial lesions.

摘要

对妇科医生而言,对良性和恶性子宫内膜病变进行公正和准确的诊断至关重要,因为每种类型可能需要不同的治疗方法。放射组学是一种定量方法,可以促进对信息的深度挖掘和对图像异质性的量化,从而帮助临床医生进行正确的病变诊断。本研究旨在为良性和恶性子宫内膜病变的分类建立一个合适的预测模型,并评估该模型的潜在临床适用性。最终分析了来自两个独立中心(中心 A 和 B)的 139 名经病理证实的子宫内膜病变患者。中心 A 用于训练集,中心 B 用于测试集。两位放射科医生根据病变面积在最大切片上手动绘制病变。在进行特征提取和特征选择后,通过单变量和多变量逻辑回归评估放射组学特征与临床参数之间的可能关联。采用接收者操作特征(ROC)曲线和 DeLong 验证评估模型的可能预测性能。决策曲线分析(DCA)用于评估放射组学列线图的净获益。基于 15 个选定特征建立了放射组学预测模型,基于 ROC 曲线下面积(AUC),该模型在训练和测试队列中均具有较高的区分能力(AUC 分别为 0.90 和 0.85)。放射组学列线图在训练和测试队列中也表现出良好的区分能力(AUC 分别为 0.91 和 0.86),DeLong 检验表明 AUC 在临床参数和列线图之间存在显著差异。DCA 的结果表明了这种新的列线图方法的临床实用性。基于 MRI 放射组学和临床参数构建的预测模型表明具有较高的诊断效率,这意味着其在子宫内膜病变的精确识别和预测方面具有潜在的临床应用价值。

https://cdn.ncbi.nlm.nih.gov/pmc/blobs/555f/9884294/45950e22fb2e/41598_2023_28819_Fig5_HTML.jpg
https://cdn.ncbi.nlm.nih.gov/pmc/blobs/555f/9884294/efddc46ad0d3/41598_2023_28819_Fig1_HTML.jpg
https://cdn.ncbi.nlm.nih.gov/pmc/blobs/555f/9884294/b3644f313de3/41598_2023_28819_Fig2_HTML.jpg
https://cdn.ncbi.nlm.nih.gov/pmc/blobs/555f/9884294/897dce684781/41598_2023_28819_Fig3_HTML.jpg
https://cdn.ncbi.nlm.nih.gov/pmc/blobs/555f/9884294/bdd9f8c99b16/41598_2023_28819_Fig4_HTML.jpg
https://cdn.ncbi.nlm.nih.gov/pmc/blobs/555f/9884294/45950e22fb2e/41598_2023_28819_Fig5_HTML.jpg
https://cdn.ncbi.nlm.nih.gov/pmc/blobs/555f/9884294/efddc46ad0d3/41598_2023_28819_Fig1_HTML.jpg
https://cdn.ncbi.nlm.nih.gov/pmc/blobs/555f/9884294/b3644f313de3/41598_2023_28819_Fig2_HTML.jpg
https://cdn.ncbi.nlm.nih.gov/pmc/blobs/555f/9884294/897dce684781/41598_2023_28819_Fig3_HTML.jpg
https://cdn.ncbi.nlm.nih.gov/pmc/blobs/555f/9884294/bdd9f8c99b16/41598_2023_28819_Fig4_HTML.jpg
https://cdn.ncbi.nlm.nih.gov/pmc/blobs/555f/9884294/45950e22fb2e/41598_2023_28819_Fig5_HTML.jpg

相似文献

1
Development of MRI-based radiomics predictive model for classifying endometrial lesions.基于 MRI 的影像组学预测模型的开发,用于分类子宫内膜病变。
Sci Rep. 2023 Jan 28;13(1):1590. doi: 10.1038/s41598-023-28819-2.
2
MRI-based radiomics nomogram for the preoperative prediction of deep myometrial invasion of FIGO stage I endometrial carcinoma.基于 MRI 的放射组学列线图预测 FIGOⅠ期子宫内膜癌的深肌层浸润。
Med Phys. 2022 Oct;49(10):6505-6516. doi: 10.1002/mp.15835. Epub 2022 Aug 15.
3
Development and validation of CT-based radiomics nomogram for the classification of benign parotid gland tumors.基于 CT 的放射组学列线图构建与验证用于腮腺良恶性肿瘤分类
Med Phys. 2023 Feb;50(2):947-957. doi: 10.1002/mp.16042. Epub 2022 Nov 12.
4
Multi-parametric MRI-based radiomics for the diagnosis of malignant soft-tissue tumor.基于多参数 MRI 的放射组学在恶性软组织肿瘤诊断中的应用。
Magn Reson Imaging. 2022 Sep;91:91-99. doi: 10.1016/j.mri.2022.05.003. Epub 2022 May 4.
5
Preoperative Assessment for High-Risk Endometrial Cancer by Developing an MRI- and Clinical-Based Radiomics Nomogram: A Multicenter Study.通过构建基于MRI和临床的影像组学列线图对高危子宫内膜癌进行术前评估:一项多中心研究
J Magn Reson Imaging. 2020 Dec;52(6):1872-1882. doi: 10.1002/jmri.27289. Epub 2020 Jul 18.
6
Different multiparametric MRI-based radiomics models for differentiating stage IA endometrial cancer from benign endometrial lesions: A multicenter study.基于多参数MRI的不同放射组学模型用于鉴别IA期子宫内膜癌与良性子宫内膜病变:一项多中心研究。
Front Oncol. 2022 Aug 5;12:939930. doi: 10.3389/fonc.2022.939930. eCollection 2022.
7
Application of a nomogram to radiomics labels in the treatment prediction scheme for lumbar disc herniation.列线图在腰椎间盘突出症治疗预测方案中对放射组学标签的应用。
BMC Med Imaging. 2022 Mar 19;22(1):51. doi: 10.1186/s12880-022-00778-6.
8
Development and validation of a radiomics-based nomogram for the preoperative prediction of microsatellite instability in colorectal cancer.基于放射组学的列线图建立与验证:用于术前预测结直肠癌微卫星不稳定性。
BMC Cancer. 2022 May 9;22(1):524. doi: 10.1186/s12885-022-09584-3.
9
MRI-based traditional radiomics and computer-vision nomogram for predicting lymphovascular space invasion in endometrial carcinoma.MRI 基传统放射组学和计算机视觉列线图预测子宫内膜癌淋巴管血管侵犯。
Diagn Interv Imaging. 2021 Jul-Aug;102(7-8):455-462. doi: 10.1016/j.diii.2021.02.008. Epub 2021 Mar 23.
10
Application Values of 2D and 3D Radiomics Models Based on CT Plain Scan in Differentiating Benign from Malignant Ovarian Tumors.基于 CT 平扫的二维和三维放射组学模型在鉴别良恶性卵巢肿瘤中的应用价值。
Biomed Res Int. 2022 Feb 17;2022:5952296. doi: 10.1155/2022/5952296. eCollection 2022.

引用本文的文献

1
Potential value of novel multiparametric MRI radiomics for preoperative prediction of microsatellite instability and Ki-67 expression in endometrial cancer.新型多参数MRI影像组学在子宫内膜癌术前预测微卫星不稳定性和Ki-67表达中的潜在价值
Sci Rep. 2025 Jan 25;15(1):3226. doi: 10.1038/s41598-025-87966-w.
2
Artificial Intelligence in Obstetric and Gynecological MR Imaging.人工智能在妇产科磁共振成像中的应用
Magn Reson Med Sci. 2024 Oct 29. doi: 10.2463/mrms.rev.2024-0077.
3
Evaluating the quality of radiomics-based studies for endometrial cancer using RQS and METRICS tools.

本文引用的文献

1
A radiomics approach for automated diagnosis of ovarian neoplasm malignancy in computed tomography.一种基于放射组学的 CT 自动诊断卵巢肿瘤良恶性的方法。
Sci Rep. 2021 Apr 22;11(1):8730. doi: 10.1038/s41598-021-87775-x.
2
Deep learning model for classifying endometrial lesions.用于子宫内膜病变分类的深度学习模型。
J Transl Med. 2021 Jan 6;19(1):10. doi: 10.1186/s12967-020-02660-x.
3
Whole-Volume Tumor MRI Radiomics for Prognostic Modeling in Endometrial Cancer.全容积肿瘤 MRI 影像组学在子宫内膜癌预后建模中的应用。
使用RQS和METRICS工具评估基于影像组学的子宫内膜癌研究质量。
Eur Radiol. 2025 Jan;35(1):202-214. doi: 10.1007/s00330-024-10947-6. Epub 2024 Jul 16.
4
Application of magnetic resonance imaging radiomics in endometrial cancer: a systematic review and meta-analysis.磁共振成像放射组学在子宫内膜癌中的应用:系统评价和荟萃分析。
Radiol Med. 2024 Mar;129(3):439-456. doi: 10.1007/s11547-024-01765-3. Epub 2024 Feb 13.
5
A Critical Analysis of the Robustness of Radiomics to Variations in Segmentation Methods in F-PSMA-1007 PET Images of Patients Affected by Prostate Cancer.对前列腺癌患者F-PSMA-1007 PET图像分割方法变化下的影像组学稳健性的批判性分析
Diagnostics (Basel). 2023 Dec 11;13(24):3640. doi: 10.3390/diagnostics13243640.
J Magn Reson Imaging. 2021 Mar;53(3):928-937. doi: 10.1002/jmri.27444. Epub 2020 Nov 16.
4
Machine learning-based prediction of microsatellite instability and high tumor mutation burden from contrast-enhanced computed tomography in endometrial cancers.基于机器学习的子宫内膜癌增强 CT 预测微卫星不稳定性和高肿瘤突变负荷。
Sci Rep. 2020 Oct 20;10(1):17769. doi: 10.1038/s41598-020-72475-9.
5
Radiomics in medical imaging-"how-to" guide and critical reflection.医学影像中的放射组学——“操作指南”与批判性思考
Insights Imaging. 2020 Aug 12;11(1):91. doi: 10.1186/s13244-020-00887-2.
6
Radiologists with MRI-based radiomics aids to predict the pelvic lymph node metastasis in endometrial cancer: a multicenter study.基于 MRI 的放射组学辅助放射科医生预测子宫内膜癌盆腔淋巴结转移:一项多中心研究。
Eur Radiol. 2021 Jan;31(1):411-422. doi: 10.1007/s00330-020-07099-8. Epub 2020 Aug 4.
7
Value of MRI Radiomics Based on Enhanced T1WI Images in Prediction of Meningiomas Grade.基于增强 T1WI 图像的 MRI 放射组学在预测脑膜瘤分级中的价值。
Acad Radiol. 2021 May;28(5):687-693. doi: 10.1016/j.acra.2020.03.034. Epub 2020 May 14.
8
Deep learning for the determination of myometrial invasion depth and automatic lesion identification in endometrial cancer MR imaging: a preliminary study in a single institution.深度学习在子宫内膜癌磁共振成像中肌层浸润深度的测定和自动病灶识别中的应用:单中心初步研究。
Eur Radiol. 2020 Sep;30(9):4985-4994. doi: 10.1007/s00330-020-06870-1. Epub 2020 Apr 26.
9
Deep Myometrial Infiltration of Endometrial Cancer on MRI: A Radiomics-Powered Machine Learning Pilot Study.MRI 下子宫内膜癌的深层肌层浸润:基于放射组学的机器学习初步研究。
Acad Radiol. 2021 May;28(5):737-744. doi: 10.1016/j.acra.2020.02.028. Epub 2020 Mar 28.
10
Association between genetic polymorphisms and endometrial cancer risk: a systematic review.遗传多态性与子宫内膜癌风险的关联:系统评价。
J Med Genet. 2020 Sep;57(9):591-600. doi: 10.1136/jmedgenet-2019-106529. Epub 2020 Feb 17.