Suppr超能文献

原子转移自由基聚合(ATRP)在药物递送系统合成中的应用研究进展

Recent Advances in the Application of ATRP in the Synthesis of Drug Delivery Systems.

作者信息

Szewczyk-Łagodzińska Matylda, Plichta Andrzej, Dębowski Maciej, Kowalczyk Sebastian, Iuliano Anna, Florjańczyk Zbigniew

机构信息

Faculty of Chemistry, Warsaw University of Technology, Noakowskiego 3, 00-664 Warsaw, Poland.

出版信息

Polymers (Basel). 2023 Feb 28;15(5):1234. doi: 10.3390/polym15051234.

Abstract

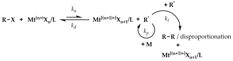
Advances in atom transfer radical polymerization (ATRP) have enabled the precise design and preparation of nanostructured polymeric materials for a variety of biomedical applications. This paper briefly summarizes recent developments in the synthesis of bio-therapeutics for drug delivery based on linear and branched block copolymers and bioconjugates using ATRP, which have been tested in drug delivery systems (DDSs) over the past decade. An important trend is the rapid development of a number of smart DDSs that can release bioactive materials in response to certain external stimuli, either physical (e.g., light, ultrasound, or temperature) or chemical factors (e.g., changes in pH values and/or environmental redox potential). The use of ATRPs in the synthesis of polymeric bioconjugates containing drugs, proteins, and nucleic acids, as well as systems applied in combination therapies, has also received considerable attention.

摘要

原子转移自由基聚合(ATRP)技术的进步使得人们能够精确设计和制备用于各种生物医学应用的纳米结构聚合物材料。本文简要总结了基于线性和支化嵌段共聚物以及生物共轭物,利用ATRP合成用于药物递送的生物治疗剂的最新进展,这些生物治疗剂在过去十年中已在药物递送系统(DDS)中进行了测试。一个重要趋势是快速发展了许多智能DDS,它们可以响应某些外部刺激(物理刺激,如光、超声或温度;或化学因素,如pH值变化和/或环境氧化还原电位)释放生物活性材料。ATRP在合成含药物、蛋白质和核酸的聚合物生物共轭物以及联合治疗应用系统中的应用也受到了相当大的关注。

https://cdn.ncbi.nlm.nih.gov/pmc/blobs/a922/10007417/6bc772c5c0b4/polymers-15-01234-g001.jpg

文献检索

告别复杂PubMed语法,用中文像聊天一样搜索,搜遍4000万医学文献。AI智能推荐,让科研检索更轻松。

立即免费搜索

文件翻译

保留排版,准确专业,支持PDF/Word/PPT等文件格式,支持 12+语言互译。

免费翻译文档

深度研究

AI帮你快速写综述,25分钟生成高质量综述,智能提取关键信息,辅助科研写作。

立即免费体验