Department of Health Sciences, Université du Québec à Chicoutimi, Chicoutimi, QC G7H 2B1, Canada.
Int J Environ Res Public Health. 2023 May 31;20(11):6012. doi: 10.3390/ijerph20116012.
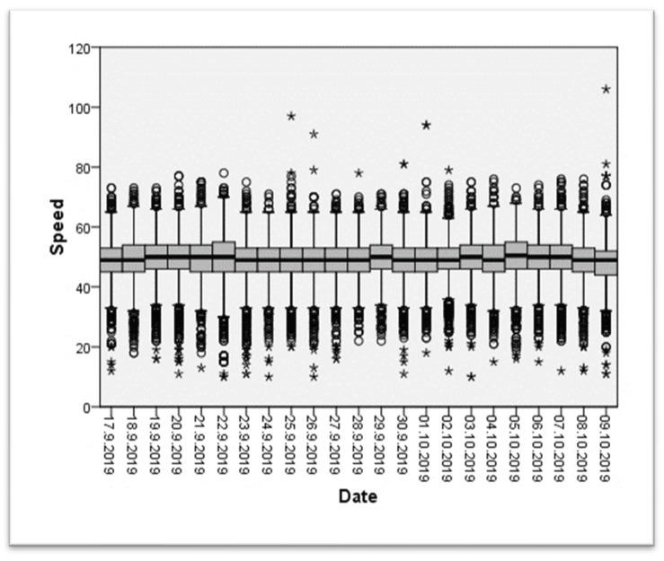
For the past few years, police officers from the City of Saguenay have been installing a billboard combined with a damaged car along roadsides to make drivers aware of the road risks related to dangerous behaviors at the wheel. To assess the short-term effect of this device, evaluative research with a quasi-experimental design with pre-exposure, during, and post-exposure. The results show a significant decrease ( < 0.001) of 0.637 km/h for the first site (a 70 km/h zone) and 0.269 km/h for the second site (a 50 km/h zone) when the device is exposed. At the time of this last evaluation, a reduction of 1.255 km/h remained even after the advertising panel was removed. Although minimal, this speed reduction where the billboards are placed shows the police that this awareness-raising approach works since it reduces the speed of motorists at very low cost.
在过去的几年里,来自萨格奈市的警察一直在路边安装一个带有损坏汽车的广告牌,以提醒司机注意与车轮危险行为相关的道路风险。为了评估该设备的短期效果,采用了具有预暴露、暴露中和暴露后阶段的准实验设计进行评估性研究。结果表明,当设备暴露时,第一个地点(限速 70 公里/小时的区域)的速度显著下降(<0.001),为 0.637 公里/小时,第二个地点(限速 50 公里/小时的区域)的速度下降 0.269 公里/小时。在最后一次评估时,即使广告板被移除,速度仍降低了 1.255 公里/小时。尽管速度降低幅度很小,但在广告牌所在的地方,这种减速表明这种提高认识的方法是有效的,因为它以非常低的成本降低了驾驶者的速度。