Suppr超能文献

基于中药的移动健康应用程序对糖尿病前期个体的有效性:随机对照试验。

The Effectiveness of a Traditional Chinese Medicine-Based Mobile Health App for Individuals With Prediabetes: Randomized Controlled Trial.

机构信息

Department of Nursing, College of Nursing, National Yang Ming Chiao Tung University, Taipei City, Taiwan.

Tai's Traditional Chinese Medicine Clinic, Taipei City, Taiwan.

出版信息

JMIR Mhealth Uhealth. 2023 Jun 20;11:e41099. doi: 10.2196/41099.

Abstract

BACKGROUND

Traditional Chinese medicine (TCM) theories assert that body constitution and meridian energy lay the foundation for disease prevention. TCM-based health concepts have not yet been incorporated into mobile health (mHealth) apps for individuals with prediabetes.

OBJECTIVE

The aim of this study was to examine the effectiveness of a TCM mHealth app for individuals with prediabetes.

METHODS

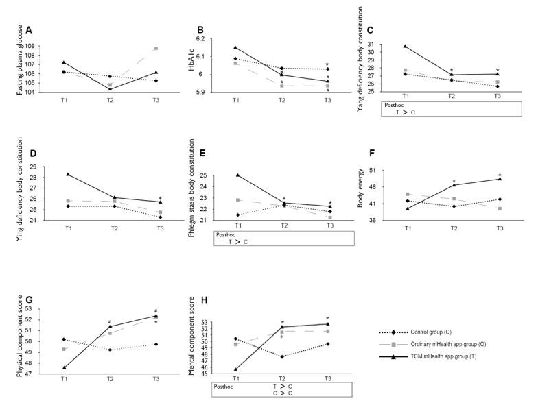
This randomized controlled trial recruited 121 individuals with prediabetes at a teaching hospital in New Taipei City between February 2020 and May 2021. The participants were randomly assigned to the TCM mHealth app group (n=42), ordinary mHealth app group (n=41), or control group (n=38). All participants received the usual care that included 15-20 minutes of health education about the disease, along with healthy diet and exercise encouragement. The ordinary mHealth app included physical activity (PA), diet, and disease education, along with individual records. The TCM mHealth app additionally included qi and body constitution information, along with constitution-based PA and diet advice. The control group received the usual care alone and did not have access to any app. Data were collected at baseline, at the end of the 12-week intervention, and 1 month after the intervention. Body constitution, including yang-deficiency, yin-deficiency, and phlegm-stasis, was measured according to the Body Constitution Questionnaire, with higher scores indicating a greater deficiency. Body energy was examined using the Meridian Energy Analysis Device. The Short-Form 36 questionnaire was used to evaluate health-related quality of life (HRQOL), which yielded physical component scores and mental component scores, with higher scores indicating better physical and mental aspects of HRQOL, respectively.

RESULTS

Compared to the control group, the TCM mHealth app group showed greater improvement in hemoglobin A (HbA), yang-deficiency and phlegm-stasis body constitution, and BMI; however, no significant differences were found in these outcomes between the TCM mHealth app and ordinary mHealth app groups. The TCM mHealth app group showed better improvement in body energy and mental component scores than the ordinary mHealth app group. There were no significant differences in fasting plasma glucose, yin-deficiency body constitution, Dietary Approaches to Stop Hypertension dietary behavior, and total PA among the three groups after the intervention.

CONCLUSIONS

Use of either the ordinary or TCM mHealth app improved HRQOL among individuals with prediabetes. Compared to the outcomes of controls not using any app, use of the TCM mHealth app was effective at improving HbA, BMI, yang-deficiency and phlegm-stasis body constitution, and HRQOL. Moreover, using the TCM mHealth app seemed to improve the body energy and HRQOL more than when using the ordinary mHealth app. Further studies with a larger sample size and longer follow-up period may be necessary to determine whether the differences favoring the TCM app are clinically meaningful.

TRIAL REGISTRATION

ClinicalTrials.gov NCT04096989; https://clinicaltrials.gov/ct2/show/NCT04096989.

摘要

背景

传统中医(TCM)理论认为体质和经络能量是疾病预防的基础。基于 TCM 的健康理念尚未纳入针对糖尿病前期患者的移动健康(mHealth)应用程序中。

目的

本研究旨在检验针对糖尿病前期患者的 TCM mHealth 应用程序的有效性。

方法

本随机对照试验于 2020 年 2 月至 2021 年 5 月在新北市的一家教学医院招募了 121 名糖尿病前期患者。参与者被随机分配至 TCM mHealth 应用程序组(n=42)、普通 mHealth 应用程序组(n=41)或对照组(n=38)。所有参与者均接受常规护理,包括 15-20 分钟关于疾病的健康教育,以及健康饮食和运动鼓励。普通 mHealth 应用程序包括身体活动(PA)、饮食和疾病教育,以及个人记录。TCM mHealth 应用程序还包括气和体质信息,以及基于体质的 PA 和饮食建议。对照组仅接受常规护理,无法使用任何应用程序。数据在基线、12 周干预结束时以及干预结束后 1 个月收集。体质,包括阳虚、阴虚和痰瘀,根据体质问卷进行测量,得分越高表示缺陷越大。使用经络能量分析装置检查身体能量。使用简短形式 36 问卷评估健康相关生活质量(HRQOL),得出身体成分评分和心理成分评分,得分越高分别表示身体和心理方面的 HRQOL 越好。

结果

与对照组相比,TCM mHealth 应用程序组的血红蛋白 A(HbA)、阳虚和痰瘀体质以及 BMI 均有更大改善;然而,TCM mHealth 应用程序组和普通 mHealth 应用程序组在这些结果方面无显著差异。TCM mHealth 应用程序组的身体能量和心理成分评分改善优于普通 mHealth 应用程序组。三组干预后空腹血糖、阴虚体质、停止高血压膳食方法的饮食行为和总 PA 无显著差异。

结论

使用普通或 TCM mHealth 应用程序均可改善糖尿病前期患者的 HRQOL。与未使用任何应用程序的对照组相比,使用 TCM mHealth 应用程序可有效改善 HbA、BMI、阳虚和痰瘀体质以及 HRQOL。此外,与使用普通 mHealth 应用程序相比,使用 TCM mHealth 应用程序似乎更能改善身体能量和 HRQOL。需要进一步开展具有更大样本量和更长随访期的研究,以确定 TCM 应用程序是否具有临床意义的优势。

试验注册

ClinicalTrials.gov NCT04096989;https://clinicaltrials.gov/ct2/show/NCT04096989。

https://cdn.ncbi.nlm.nih.gov/pmc/blobs/826f/10337399/d88cda43fd43/mhealth_v11i1e41099_fig1.jpg

文献检索

告别复杂PubMed语法,用中文像聊天一样搜索,搜遍4000万医学文献。AI智能推荐,让科研检索更轻松。

立即免费搜索

文件翻译

保留排版,准确专业,支持PDF/Word/PPT等文件格式,支持 12+语言互译。

免费翻译文档

深度研究

AI帮你快速写综述,25分钟生成高质量综述,智能提取关键信息,辅助科研写作。

立即免费体验