• 文献检索
  • 文档翻译
  • 深度研究
  • 学术资讯
  • Suppr Zotero 插件Zotero 插件
  • 邀请有礼
  • 套餐&价格
  • 历史记录
应用&插件
Suppr Zotero 插件Zotero 插件浏览器插件Mac 客户端Windows 客户端微信小程序
定价
高级版会员购买积分包购买API积分包
服务
文献检索文档翻译深度研究API 文档MCP 服务
关于我们
关于 Suppr公司介绍联系我们用户协议隐私条款
关注我们

Suppr 超能文献

核心技术专利:CN118964589B侵权必究
粤ICP备2023148730 号-1Suppr @ 2026

文献检索

告别复杂PubMed语法,用中文像聊天一样搜索,搜遍4000万医学文献。AI智能推荐,让科研检索更轻松。

立即免费搜索

文件翻译

保留排版,准确专业,支持PDF/Word/PPT等文件格式,支持 12+语言互译。

免费翻译文档

深度研究

AI帮你快速写综述,25分钟生成高质量综述,智能提取关键信息,辅助科研写作。

立即免费体验

将神经元网络暴露于 5G-3.5GHz 信号下。

exposure of neuronal networks to the 5G-3.5 GHz signal.

机构信息

Univ. Bordeaux, CNRS, Bordeaux INP, IMS, UMR 5218, Talence, France.

Paris Sciences et Lettres Research University, École Pratique des Hautes Études (EPHE), Paris, France.

出版信息

Front Public Health. 2023 Aug 7;11:1231360. doi: 10.3389/fpubh.2023.1231360. eCollection 2023.

DOI:10.3389/fpubh.2023.1231360
PMID:37608978
原文链接:https://pmc.ncbi.nlm.nih.gov/articles/PMC10441122/
Abstract

INTRODUCTION

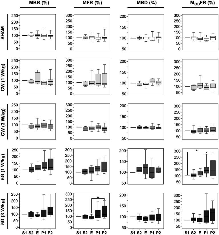
The current deployment of the fifth generation (5G) of wireless communications raises new questions about the potential health effects of exposure to radiofrequency (RF) fields. So far, most of the established biological effects of RF have been known to be caused by heating. We previously reported inhibition of the spontaneous electrical activity of neuronal networks in vitro when exposed to 1.8 GHz signals at specific absorption rates (SAR) well above the guidelines. The present study aimed to assess the effects of RF fields at 3.5 GHz, one of the frequencies related to 5G, on neuronal activity in-vitro. Potential differences in the effects elicited by continuous-wave (CW) and 5G-modulated signals were also investigated.

METHODS

Spontaneous activity of neuronal cultures from embryonic cortices was recorded using 60-electrode multi-electrode arrays (MEAs) between 17 and 27 days in vitro. The neuronal cultures were subjected to 15 min RF exposures at SAR of 1, 3, and 28 W/kg.

RESULTS

At SAR close to the guidelines (1 and 3 W/kg), we found no conclusive evidence that 3.5 GHz RF exposure impacts the activity of neurons in vitro. On the contrary, CW and 5G-modulated signals elicited a clear decrease in bursting and total firing rates during RF exposure at high SAR levels (28 W/kg). Our experimental findings extend our previous results, showing that RF, at 1.8 to 3.5 GHz, inhibits the electrical activity of neurons in vitro at levels above environmental standards.

摘要

简介

当前第五代(5G)无线通信的部署引发了新的问题,即接触射频(RF)场可能对健康产生影响。到目前为止,RF 的大多数已确立的生物学效应已知是由加热引起的。我们之前曾报道过,当以远高于指南规定的特定吸收率(SAR)暴露于 1.8GHz 信号时,体外神经元网络的自发电活动会受到抑制。本研究旨在评估 3.5GHz 的 RF 场对体外神经元活性的影响,3.5GHz 是与 5G 相关的频率之一。还研究了连续波(CW)和 5G 调制信号引起的效应的潜在差异。

方法

使用 60 电极多电极阵列(MEA)在体外 17 至 27 天之间记录来自胚胎皮质的神经元培养物的自发活动。将神经元培养物在 SAR 为 1、3 和 28 W/kg 的条件下进行 15 分钟的 RF 暴露。

结果

在接近指南的 SAR(1 和 3 W/kg)下,我们没有确凿的证据表明 3.5GHz RF 暴露会影响体外神经元的活性。相反,在高 SAR 水平(28 W/kg)下,CW 和 5G 调制信号在 RF 暴露期间会明显降低爆发和总发射率。我们的实验结果扩展了我们之前的结果,表明 RF 在 1.8 至 3.5GHz 之间,在高于环境标准的水平上抑制体外神经元的电活动。

https://cdn.ncbi.nlm.nih.gov/pmc/blobs/9aa2/10441122/00b5197efe12/fpubh-11-1231360-g008.jpg
https://cdn.ncbi.nlm.nih.gov/pmc/blobs/9aa2/10441122/bae5b0a458a3/fpubh-11-1231360-g001.jpg
https://cdn.ncbi.nlm.nih.gov/pmc/blobs/9aa2/10441122/8968381666a4/fpubh-11-1231360-g002.jpg
https://cdn.ncbi.nlm.nih.gov/pmc/blobs/9aa2/10441122/eb43c5cf4b6b/fpubh-11-1231360-g003.jpg
https://cdn.ncbi.nlm.nih.gov/pmc/blobs/9aa2/10441122/a25bbca7e15e/fpubh-11-1231360-g004.jpg
https://cdn.ncbi.nlm.nih.gov/pmc/blobs/9aa2/10441122/d238d06af0f4/fpubh-11-1231360-g005.jpg
https://cdn.ncbi.nlm.nih.gov/pmc/blobs/9aa2/10441122/eafd814d357b/fpubh-11-1231360-g006.jpg
https://cdn.ncbi.nlm.nih.gov/pmc/blobs/9aa2/10441122/6530600dce93/fpubh-11-1231360-g007.jpg
https://cdn.ncbi.nlm.nih.gov/pmc/blobs/9aa2/10441122/00b5197efe12/fpubh-11-1231360-g008.jpg
https://cdn.ncbi.nlm.nih.gov/pmc/blobs/9aa2/10441122/bae5b0a458a3/fpubh-11-1231360-g001.jpg
https://cdn.ncbi.nlm.nih.gov/pmc/blobs/9aa2/10441122/8968381666a4/fpubh-11-1231360-g002.jpg
https://cdn.ncbi.nlm.nih.gov/pmc/blobs/9aa2/10441122/eb43c5cf4b6b/fpubh-11-1231360-g003.jpg
https://cdn.ncbi.nlm.nih.gov/pmc/blobs/9aa2/10441122/a25bbca7e15e/fpubh-11-1231360-g004.jpg
https://cdn.ncbi.nlm.nih.gov/pmc/blobs/9aa2/10441122/d238d06af0f4/fpubh-11-1231360-g005.jpg
https://cdn.ncbi.nlm.nih.gov/pmc/blobs/9aa2/10441122/eafd814d357b/fpubh-11-1231360-g006.jpg
https://cdn.ncbi.nlm.nih.gov/pmc/blobs/9aa2/10441122/6530600dce93/fpubh-11-1231360-g007.jpg
https://cdn.ncbi.nlm.nih.gov/pmc/blobs/9aa2/10441122/00b5197efe12/fpubh-11-1231360-g008.jpg

相似文献

1
exposure of neuronal networks to the 5G-3.5 GHz signal.将神经元网络暴露于 5G-3.5GHz 信号下。
Front Public Health. 2023 Aug 7;11:1231360. doi: 10.3389/fpubh.2023.1231360. eCollection 2023.
2
Decreased spontaneous electrical activity in neuronal networks exposed to radiofrequency 1,800 MHz signals.暴露于 1800MHz 射频信号的神经元网络中自发性电活动的减少。
J Neurophysiol. 2018 Dec 1;120(6):2719-2729. doi: 10.1152/jn.00589.2017. Epub 2018 Aug 22.
3
Effects of 5G-modulated 3.5 GHz radiofrequency field exposures on HSF1, RAS, ERK, and PML activation in live fibroblasts and keratinocytes cells.5G 调制 3.5GHz 射频场暴露对活成纤维细胞和角化细胞中 HSF1、RAS、ERK 和 PML 激活的影响。
Sci Rep. 2023 May 23;13(1):8305. doi: 10.1038/s41598-023-35397-w.
4
In-vitro exposure of neuronal networks to the GSM-1800 signal.将神经网络进行体外暴露于GSM - 1800信号的实验。
Bioelectromagnetics. 2013 Dec;34(8):571-8. doi: 10.1002/bem.21805. Epub 2013 Aug 1.
5
IEEE Committee on Man and Radiation-COMAR Technical Information Statement: Health and Safety Issues Concerning Exposure of the General Public to Electromagnetic Energy from 5G Wireless Communications Networks.IEEE 人与辐射委员会-COMAR 技术信息声明:公众接触 5G 无线通信网络电磁能的健康和安全问题。
Health Phys. 2020 Aug;119(2):236-246. doi: 10.1097/HP.0000000000001301.
6
DNA strand breaks are not induced in human cells exposed to 2.1425 GHz band CW and W-CDMA modulated radiofrequency fields allocated to mobile radio base stations.暴露于分配给移动无线电基站的2.1425吉赫兹频段连续波和W-CDMA调制射频场的人类细胞中,不会诱导DNA链断裂。
Bioelectromagnetics. 2006 Jan;27(1):51-7. doi: 10.1002/bem.20179.
7
Phosphorylation and gene expression of p53 are not affected in human cells exposed to 2.1425 GHz band CW or W-CDMA modulated radiation allocated to mobile radio base stations.暴露于分配给移动无线电基站的2.1425吉赫兹频段连续波(CW)或W-CDMA调制辐射下的人体细胞中,p53的磷酸化和基因表达不受影响。
Bioelectromagnetics. 2006 Sep;27(6):494-504. doi: 10.1002/bem.20238.
8
Changes in the excitability of primary hippocampal neurons following exposure to 3.0 GHz radiofrequency electromagnetic fields.暴露于 3.0GHz 射频电磁场后原代海马神经元兴奋性的变化。
Sci Rep. 2022 Mar 3;12(1):3506. doi: 10.1038/s41598-022-06914-0.
9
Possible health effects on the human brain by various generations of mobile telecommunication: a review based estimation of 5G impact.不同代移动通信技术对人类大脑可能产生的健康影响:基于对 5G 影响评估的综述。
Int J Radiat Biol. 2022;98(7):1210-1221. doi: 10.1080/09553002.2022.2026516. Epub 2022 Jan 31.
10
Human Fibroblasts In Vitro Exposed to 2.45 GHz Continuous and Pulsed Wave Signals: Evaluation of Biological Effects with a Multimethodological Approach.人纤维原细胞离体暴露于 2.45GHz 连续波和脉冲波信号下:采用多方法学评估生物效应
Int J Mol Sci. 2020 Sep 25;21(19):7069. doi: 10.3390/ijms21197069.

引用本文的文献

1
Exposure to 26.5 GHz, 5G modulated and unmodulated signal, does not affect key cellular endpoints of human neuroblastoma cells.暴露于26.5吉赫兹、5G调制和未调制信号下,不会影响人类神经母细胞瘤细胞的关键细胞终点。
Sci Rep. 2025 Jul 1;15(1):20614. doi: 10.1038/s41598-025-04834-3.
2
Effects of Mobile Electromagnetic Exposure on Brain Oscillations and Cortical Excitability: Scoping Review.移动电磁暴露对脑振荡和皮层兴奋性的影响:范围综述
Sensors (Basel). 2025 Apr 26;25(9):2749. doi: 10.3390/s25092749.
3
Repeated Head Exposures to a 5G-3.5 GHz Signal Do Not Alter Behavior but Modify Intracortical Gene Expression in Adult Male Mice.

本文引用的文献

1
Structural Modularity Tunes Mesoscale Criticality in Biological Neuronal Networks.结构模块化调节生物神经网络中的介观临界性。
J Neurosci. 2023 Apr 5;43(14):2515-2526. doi: 10.1523/JNEUROSCI.1420-22.2023. Epub 2023 Mar 3.
2
Long-term morphological and functional dynamics of human stem cell-derived neuronal networks on high-density micro-electrode arrays.人干细胞衍生神经网络在高密度微电极阵列上的长期形态学和功能动力学
Front Neurosci. 2022 Oct 4;16:951964. doi: 10.3389/fnins.2022.951964. eCollection 2022.
3
Comparative study between radiofrequency-induced and muscimol-induced inhibition of cultured networks of cortical neuron.
成年雄性小鼠反复头部暴露于5G - 3.5GHz信号下不会改变行为,但会改变皮质内基因表达。
Int J Mol Sci. 2025 Mar 10;26(6):2459. doi: 10.3390/ijms26062459.
4
Effects of Head-Only Exposure to 900 MHz GSM Electromagnetic Fields in Rats: Changes in Neuronal Activity as Revealed by c-Fos Imaging without Concomitant Cognitive Impairments.大鼠仅头部暴露于900 MHz GSM电磁场的影响:通过c-Fos成像揭示的神经元活动变化且无伴随认知障碍。
Biomedicines. 2024 Aug 27;12(9):1954. doi: 10.3390/biomedicines12091954.
射频诱导与 muscimol 诱导抑制皮质神经元培养网络的比较研究。
PLoS One. 2022 Aug 31;17(8):e0268605. doi: 10.1371/journal.pone.0268605. eCollection 2022.
4
Spontaneous Ca events are linked to the development of neuronal firing during maturation in mice primary hippocampal culture cells.自发性钙事件与小鼠原代海马培养细胞成熟过程中神经元放电的发展有关。
Arch Biochem Biophys. 2022 Sep 30;727:109330. doi: 10.1016/j.abb.2022.109330. Epub 2022 Jun 22.
5
In Vitro Pain Assay Using Human iPSC-Derived Sensory Neurons and Microelectrode Array.人诱导多能干细胞衍生感觉神经元和微电极阵列的体外疼痛检测。
Toxicol Sci. 2022 Jun 28;188(1):131-141. doi: 10.1093/toxsci/kfac045.
6
Changes in the excitability of primary hippocampal neurons following exposure to 3.0 GHz radiofrequency electromagnetic fields.暴露于 3.0GHz 射频电磁场后原代海马神经元兴奋性的变化。
Sci Rep. 2022 Mar 3;12(1):3506. doi: 10.1038/s41598-022-06914-0.
7
Guidelines for Limiting Exposure to Electromagnetic Fields (100 kHz to 300 GHz).电磁场暴露限制导则(100 kHz 至 300 GHz)。
Health Phys. 2020 May;118(5):483-524. doi: 10.1097/HP.0000000000001210.
8
Millimeter Wave Radiation Activates Leech Nociceptors via TRPV1-Like Receptor Sensitization.毫米波辐射通过 TRPV1 样受体敏化激活水蛭伤害感受器。
Biophys J. 2019 Jun 18;116(12):2331-2345. doi: 10.1016/j.bpj.2019.04.021. Epub 2019 Apr 25.
9
A Systematic Review of In Vitro and In Vivo Radio Frequency Exposure Methods.射频体外和体内暴露方法的系统评价
IEEE Rev Biomed Eng. 2020;13:340-351. doi: 10.1109/RBME.2019.2912023. Epub 2019 Apr 18.
10
Decreased spontaneous electrical activity in neuronal networks exposed to radiofrequency 1,800 MHz signals.暴露于 1800MHz 射频信号的神经元网络中自发性电活动的减少。
J Neurophysiol. 2018 Dec 1;120(6):2719-2729. doi: 10.1152/jn.00589.2017. Epub 2018 Aug 22.