Department of Dermatology, Rasool Akram Medical Complex Clinical Research Development Center (RCRDC), School of Medicine, Iran University of Medical Sciences (IUMS), Tehran, Iran.
Skin and Stem Cell Research Center, Tehran University of Medical Sciences, Tehran, Iran.
Stem Cell Res Ther. 2023 Sep 23;14(1):269. doi: 10.1186/s13287-023-03480-8.
The appearance of skin scars is known as one of the main side effects of skin burns. Stromal vascular fraction (SVF), as a rich source of cell populations with tissue regeneration properties, plays an important role in the healing of skin lesions. Fractional CO lasers have occupied a special place in treating skin lesions, particularly skin scars, since their introduction. Our study aimed to compare the combination of SVF and fractional CO laser with fractional CO laser alone in the treatment of burn scars.
This double-blind clinical trial study was conducted on ten patients with burn scars that were treated three times with a fractional CO laser at site of burn lesions, and one of the two areas studied was randomly injected with SVF. Two months after completion of the procedure, patients' scars were assessed using the Vancouver scar scale (VSS), biometric criteria, and physician and patient satisfaction ratings.
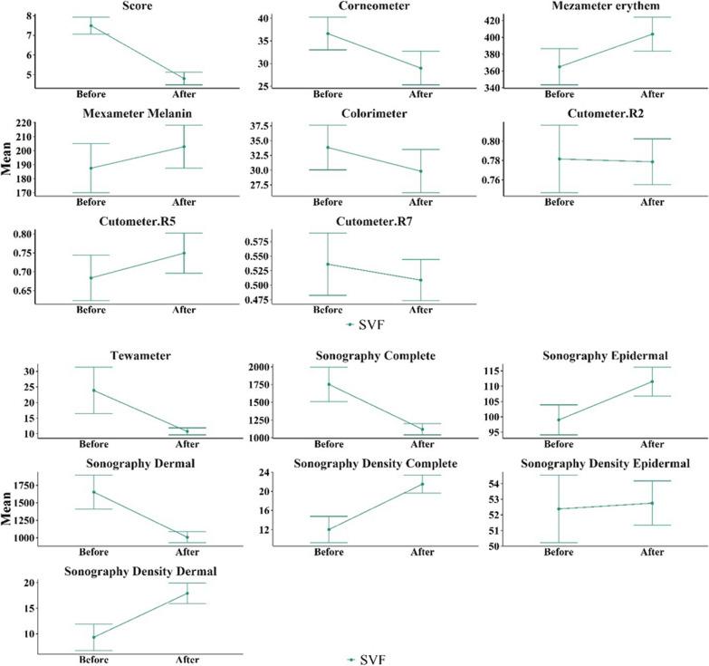
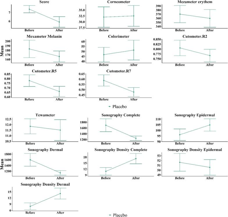
The results confirmed a significant improvement in VSS, cutometry, R7 criteria, complete density sonography, and skin density sonography in the fractional CO laser-treated group. The VSS criteria, epidermal thickness sonography, complete density sonography, and skin density sonography in the group treated with the combination of fractional CO laser and SVF also showed significant improvement. The VSS criteria and melanin index of Mexameter in the group treated with SVF in combination with fractional CO laser were significantly better than the group treated with fractional CO laser alone. Also, physician and patient satisfaction in the group treated with SVF injection in combination with fractional CO laser was significantly higher than the other group.
The results confirm the efficacy of SVF injection in combination with fractional CO laser in the treatment of burn scars and can be considered as a treatment option for better management of these lesions.
The study protocol was retrospectively registered at Iranian Registry of Clinical Trials with code: IRCT20210515051307N1, Registration date: 2021-11-14, URL: https://www.irct.ir/trial/56337 .
皮肤疤痕的出现是皮肤烧伤的主要副作用之一。基质血管成分 (SVF) 作为具有组织再生特性的细胞群体的丰富来源,在皮肤损伤的愈合中起着重要作用。自引入以来,分数 CO2 激光在治疗皮肤病变,特别是皮肤疤痕方面占据了特殊地位。我们的研究旨在比较 SVF 与分数 CO2 激光联合治疗与单独使用分数 CO2 激光治疗烧伤疤痕的效果。
这是一项双盲临床试验研究,对 10 名烧伤疤痕患者进行了三次治疗,在烧伤病变部位使用分数 CO2 激光,其中一个研究区域随机注射 SVF。治疗程序完成两个月后,使用温哥华疤痕量表(VSS)、生物计量标准、医生和患者满意度评分评估患者的疤痕。
结果证实,在接受分数 CO2 激光治疗的组中,VSS、皮肤弹性仪、R7 标准、完全密度超声和皮肤密度超声均有显著改善。接受分数 CO2 激光联合 SVF 治疗的组中,VSS 标准、表皮厚度超声、完全密度超声和皮肤密度超声也有显著改善。接受 SVF 联合分数 CO2 激光治疗组的 VSS 标准和 Mexameter 黑色素指数明显优于单独接受分数 CO2 激光治疗组。此外,SVF 注射联合分数 CO2 激光治疗组的医生和患者满意度明显高于单独接受分数 CO2 激光治疗组。
结果证实了 SVF 注射联合分数 CO2 激光治疗烧伤疤痕的疗效,可以作为更好管理这些病变的治疗选择。
该研究方案已在伊朗临床试验注册中心进行了回顾性注册,注册号为:IRCT20210515051307N1,注册日期:2021 年 11 月 14 日,网址:https://www.irct.ir/trial/56337。