Suppr超能文献

基于红细胞分布宽度与血小板比值的慢性阻塞性肺疾病急性加重患者住院死亡率预测模型。

A Prediction Model for In-Hospital Mortality of Acute Exacerbations of Chronic Obstructive Pulmonary Disease Patients Based on Red Cell Distribution Width-to-Platelet Ratio.

机构信息

Department of Pulmonary and Critical Care Medicine, Affiliated Hospital of Jianghan University, Wuhan City, Hubei, 430000, People's Republic of China.

Department of Respiratory Medicine, Shanghai Xuhui Central Hospital, Zhongshan-Xuhui Hospital, Fudan University, Shanghai, 200031, People's Republic of China.

出版信息

Int J Chron Obstruct Pulmon Dis. 2023 Sep 20;18:2079-2091. doi: 10.2147/COPD.S418162. eCollection 2023.

Abstract

PURPOSE

To explore the association between red cell distribution width (RDW)-to-platelet ratio (RPR) and in-hospital mortality of acute exacerbations of chronic obstructive pulmonary disease (AECOPD) patients and establish a prediction model based on RPR and other predictors.

MATERIAL AND METHODS

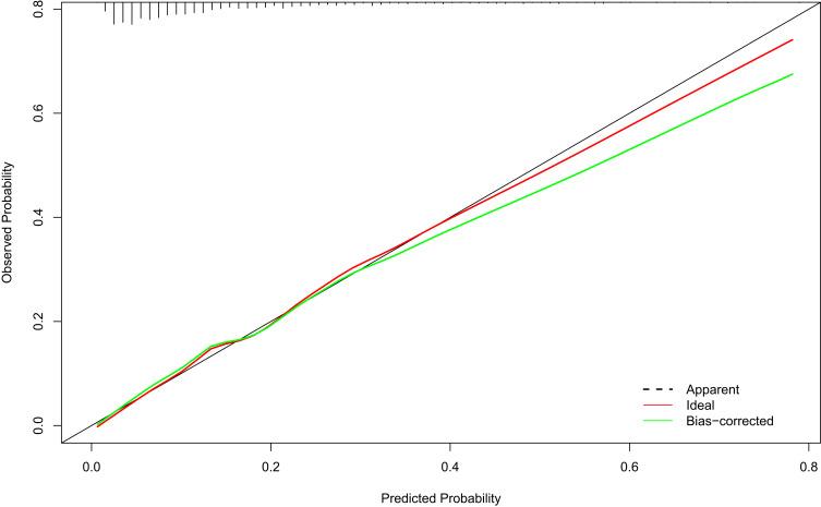
This cohort study included 1922 AECOPD patients aged ≥18 years in the Medical Information Mart for Intensive Care (MIMIC)-III and MIMIC-IV as well as 1738 AECOPD patients from eICU Collaborative Research Database (eICU-CRD). Possible confounding factors were screened out by univariate logistic regression, and multivariable logistic regression was applied to evaluate the association between RPR and in-hospital mortality of AECOPD patients. The area under the curve (AUC), calibration curve and decision curve analysis (DCA) curve were plotted to evaluate the predictive value of the model. The median follow-up time was 3.14 (1.87, 6.25) day.

RESULTS

At the end of follow-up, there were 1660 patients survived and 262 subjects died. After adjusting for confounders, we found that Log (RPR×1000) was linked with elevated risk of in-hospital mortality of AECOPD patients [odds ratio (OR)=1.36, 95% confidence interval (CI): 1.01-1.84]. The prediction model was constructed using predictors including Log (RPR×1000), age, malignant cancer, atrial fibrillation, ventilation, renal failure, diastolic blood pressure (DBP), temperature, Glasgow Coma Scale (GCS) score, white blood cell (WBC), creatinine, blood urea nitrogen (BUN), hemoglobin, infectious diseases and anion gap. The AUC of the prediction model was 0.785 (95% CI: 0.751-0.820) in the training set, 0.721 (95% CI: 0.662-0.780) in the testing set, and 0.795 (95% CI: 0.762-0.827) in the validation set.

CONCLUSION

RPR was associated with the in-hospital mortality of AECOPD patients. The prediction model for the in-hospital mortality of AECOPD patients based on RPR and other predictors presented good predictive performance, which might help the clinicians to quickly identify AECOPD patients at high risk of in-hospital mortality.

摘要

目的

探讨红细胞分布宽度(RDW)与血小板比值(RPR)与慢性阻塞性肺疾病急性加重(AECOPD)患者住院死亡率之间的关系,并基于 RPR 和其他预测因子建立预测模型。

材料与方法

本队列研究纳入了 Medical Information Mart for Intensive Care(MIMIC)-III 和 MIMIC-IV 中的 1922 名年龄≥18 岁的 AECOPD 患者以及 eICU 协作研究数据库(eICU-CRD)中的 1738 名 AECOPD 患者。通过单因素逻辑回归筛选可能的混杂因素,然后采用多因素逻辑回归评估 RPR 与 AECOPD 患者住院死亡率之间的关系。绘制曲线下面积(AUC)、校准曲线和决策曲线分析(DCA)曲线以评估模型的预测价值。中位随访时间为 3.14(1.87,6.25)天。

结果

随访结束时,有 1660 名患者存活,262 名患者死亡。调整混杂因素后,我们发现 Log(RPR×1000)与 AECOPD 患者住院死亡率升高相关[比值比(OR)=1.36,95%置信区间(CI):1.01-1.84]。该预测模型使用包括 Log(RPR×1000)、年龄、恶性肿瘤、心房颤动、通气、肾功能衰竭、舒张压(DBP)、温度、格拉斯哥昏迷评分(GCS)、白细胞(WBC)、肌酐、尿素氮(BUN)、血红蛋白、传染病和阴离子间隙在内的预测因子构建。该预测模型在训练集中的 AUC 为 0.785(95%CI:0.751-0.820),在测试集中的 AUC 为 0.721(95%CI:0.662-0.780),在验证集中的 AUC 为 0.795(95%CI:0.762-0.827)。

结论

RPR 与 AECOPD 患者的住院死亡率相关。基于 RPR 和其他预测因子的 AECOPD 患者住院死亡率预测模型具有良好的预测性能,可能有助于临床医生快速识别住院死亡率较高的 AECOPD 患者。

https://cdn.ncbi.nlm.nih.gov/pmc/blobs/7f22/10518148/8f80f6803e22/COPD-18-2079-g0001.jpg

文献AI研究员

20分钟写一篇综述,助力文献阅读效率提升50倍。

立即体验

用中文搜PubMed

大模型驱动的PubMed中文搜索引擎

马上搜索

文档翻译

学术文献翻译模型,支持多种主流文档格式。

立即体验