College of Horticulture & Landscape Architecture, Northeast Agricultural University, Harbin, Heilongjiang, China.
National-Local Joint Engineering Research Center for Development and Utilization of Small Fruits in Cold Regions, National Development and Reform Commission, Harbin, Heilongjiang, China.
PeerJ. 2023 Oct 10;11:e16272. doi: 10.7717/peerj.16272. eCollection 2023.
Blackcurrant (), red currant (), white currant (), and gooseberry () belong to Grossulariaceae and are popular small-berry crops worldwide. The lack of genomic data has severely limited their systematic classification and molecular breeding.
The complete chloroplast (cp) genomes of these four taxa were assembled for the first time using MGI-DNBSEQ reads, and their genome structures, repeat elements and protein-coding genes were annotated. By genomic comparison of the present four and previous released five cp genomes, the genomic variations were identified. By phylogenetic analysis based on maximum-likelihood and Bayesian methods, the phylogeny of Grossulariaceae and the infrageneric relationships of the were revealed.
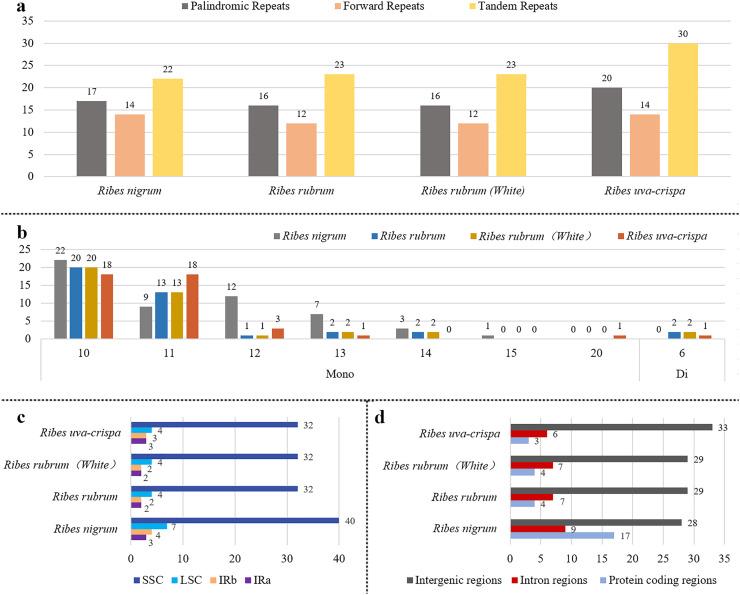
The four cp genomes have lengths ranging from 157,450 to 157,802 bp and 131 shared genes. A total of 3,322 SNPs and 485 Indels were identified from the nine released cp genomes. Red currant and white currant have 100% identical cp genomes partially supporting the hypothesis that white currant () is a fruit color variant of red currant (). The most polymorphic genic and intergenic region is and , respectively. The phylogenetic analysis demonstrated the monophyly of Grossulariaceae in Saxifragales and the paraphyletic relationship between Saxifragaceae and Grossulariaceae. Notably, the subgenus is well nested within the subgenus and shows a paraphyletic relationship with the co-ancestor of and sections, which challenges the dichotomous subclassification of the genus based on morphology (subgenus and subgenus ). These data, results, and insights lay a foundation for the phylogenetic research and breeding of species.
黑穗醋栗()、红穗醋栗()、白穗醋栗()和醋栗()属于茶藨子科,是全球广受欢迎的小浆果作物。缺乏基因组数据严重限制了它们的系统分类和分子育种。
首次使用 MGI-DNBSEQ 读取物组装了这四个分类群的完整叶绿体(cp)基因组,并对其基因组结构、重复元件和蛋白质编码基因进行了注释。通过对目前四个和以前发布的五个 cp 基因组的基因组比较,确定了基因组变异。通过最大似然和贝叶斯方法的系统发育分析,揭示了茶藨子科的系统发育和醋栗属的种下关系。
这四个 cp 基因组的长度范围为 157450 到 157802bp,共有 131 个共享基因。从 9 个发布的 cp 基因组中鉴定出 3322 个单核苷酸多态性(SNP)和 485 个插入缺失(Indels)。红穗醋栗和白穗醋栗的 cp 基因组完全相同,这部分支持白穗醋栗()是红穗醋栗()的果实颜色变体的假说。最具多态性的基因内和基因间区域分别是和。系统发育分析表明,茶藨子科在虎耳草目中是单系的,而 Saxifragaceae 和 Grossulariaceae 之间是并系的。值得注意的是,醋栗属的 亚属很好地嵌套在 亚属内,与 和 节的共同祖先呈并系关系,这对基于形态学的醋栗属二分法(亚属和亚属)提出了挑战。这些数据、结果和见解为醋栗属物种的系统发育研究和育种奠定了基础。