Department of Medicine, Solna, Division of Infectious Diseases, Karolinska Institutet, Stockholm, Sweden.
Department of Medicine, Clinical Epidemiology Division, Karolinska Institutet, Stockholm, Sweden.
JAMA Netw Open. 2023 Nov 1;6(11):e2341936. doi: 10.1001/jamanetworkopen.2023.41936.
Quantifying the burden of nosocomial SARS-CoV-2 infections and associated mortality is necessary to assess the need for infection prevention and control measures.
To investigate the occurrence of nosocomial SARS-CoV-2 infections and associated 30-day mortality among patients admitted to hospitals in Region Stockholm, Sweden.
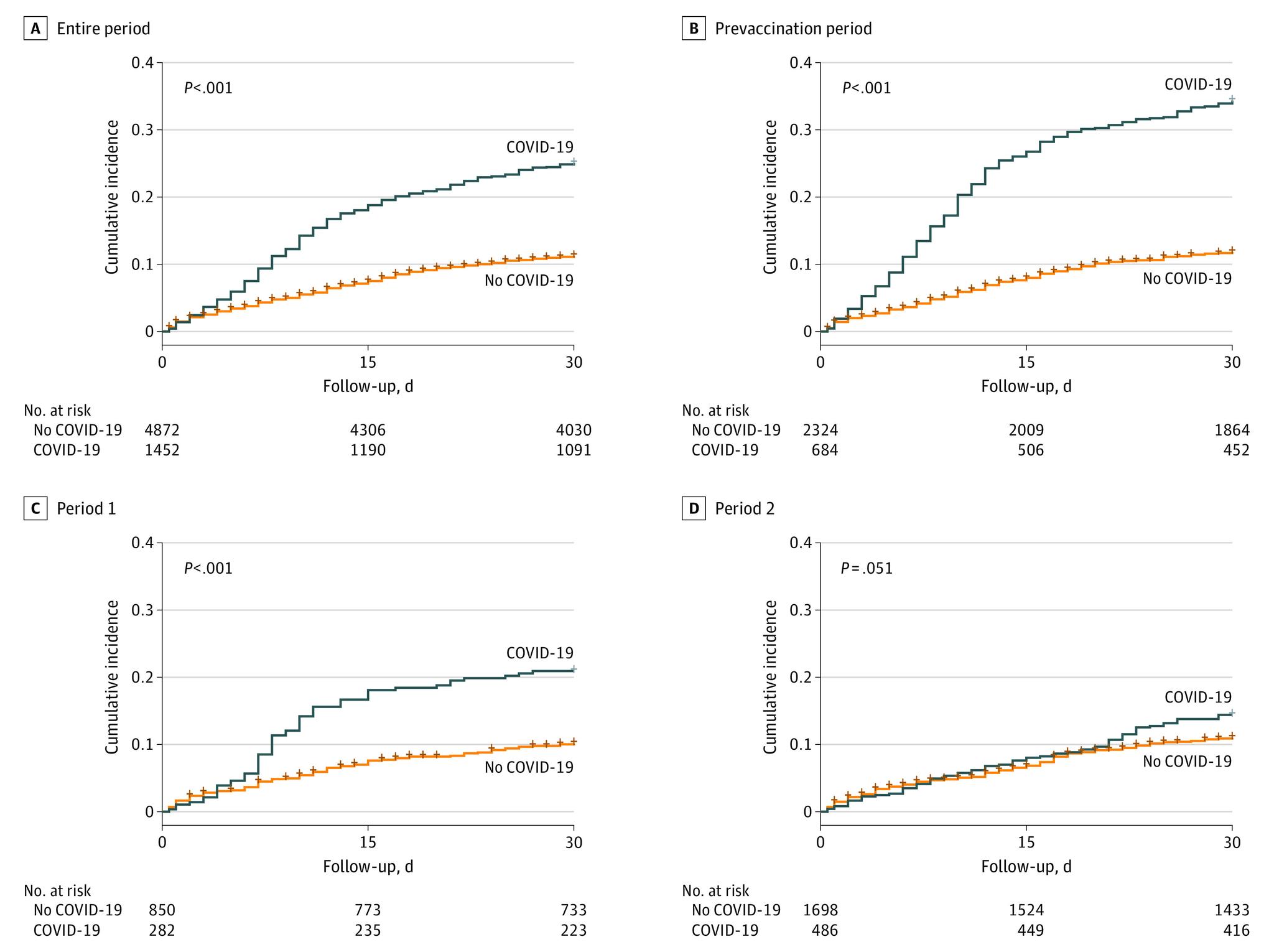
DESIGN, SETTING, AND PARTICIPANTS: A retrospective, matched cohort study divided the period from March 1, 2020, until September 15, 2022, into a prevaccination period, early vaccination and pre-Omicron (period 1), and late vaccination and Omicron (period 2). From among 303 898 patients 18 years or older living in Region Stockholm, 538 951 hospital admissions across all hospitals were included. Hospitalized admissions with nosocomial SARS-CoV-2 infections were matched to as many as 5 hospitalized admissions without nosocomial SARS-CoV-2 by age, sex, length of stay, admission time, and hospital unit.
Nosocomial SARS-CoV-2 infection defined as the first positive polymerase chain reaction test result at least 8 days after hospital admission or within 2 days after discharge.
Primary outcome of 30-day mortality was analyzed using time-to-event analyses with a Cox proportional hazards regression model adjusted for age, sex, educational level, and comorbidities.
Among 2193 patients with SARS-CoV-2 infections or reinfections (1107 women [50.5%]; median age, 80 [IQR, 71-87] years), 2203 nosocomial SARS-CoV-2 infections were identified. The incidence rate of nosocomial SARS-CoV-2 infections was 1.57 (95% CI, 1.51-1.64) per 1000 patient-days. In the matched cohort, 1487 hospital admissions with nosocomial SARS-CoV-2 infections were matched to 5044 hospital admissions without nosocomial SARS-CoV-2 infections. Thirty-day mortality was higher in the prevaccination period (adjusted hazard ratio [AHR], 2.97 [95% CI, 2.50-3.53]) compared with period 1 (AHR, 2.08 [95% CI, 1.50-2.88]) or period 2 (AHR, 1.22 [95% CI, 0.92-1.60]). Among patients with nosocomial SARS-CoV-2 infections, 30-day AHR comparing those with 2 or more doses of SARS-CoV-2 vaccination and those with less than 2 doses was 0.64 (95% CI, 0.46-0.88).
In this matched cohort study, nosocomial SARS-CoV-2 infections were associated with higher 30-day mortality during the early phases of the pandemic and lower mortality during the Omicron variant wave and after the introduction of vaccinations. Mitigation of excess mortality risk from nosocomial transmission should be a strong focus when population immunity is low through implementation of adequate infection prevention and control measures.
量化医院获得性 SARS-CoV-2 感染和相关死亡率对于评估感染预防和控制措施的需求至关重要。
调查在瑞典斯德哥尔摩地区住院的患者中发生的医院获得性 SARS-CoV-2 感染及其 30 天死亡率。
设计、地点和参与者:一项回顾性、匹配队列研究将 2020 年 3 月 1 日至 2022 年 9 月 15 日的时期分为疫苗接种前、早期疫苗接种和前奥密克戎(第 1 期)和晚期疫苗接种和奥密克戎(第 2 期)。在斯德哥尔摩地区 303898 名 18 岁或以上的患者中,共有 538951 名在所有医院住院的患者纳入研究。通过年龄、性别、住院时间、入院时间和医院科室,将医院获得性 SARS-CoV-2 感染的住院患者与多达 5 名没有医院获得性 SARS-CoV-2 感染的住院患者进行匹配。
医院获得性 SARS-CoV-2 感染定义为至少在入院后 8 天或出院后 2 天内首次出现聚合酶链反应检测结果阳性。
使用时间事件分析,采用 Cox 比例风险回归模型对年龄、性别、教育程度和合并症进行调整,分析 30 天死亡率的主要结局。
在 2193 例 SARS-CoV-2 感染或再感染患者(1107 名女性[50.5%];中位年龄,80 [IQR,71-87] 岁)中,发现 2203 例医院获得性 SARS-CoV-2 感染。医院获得性 SARS-CoV-2 感染的发病率为 1.57(95%CI,1.51-1.64)/1000 患者日。在匹配队列中,1487 例医院获得性 SARS-CoV-2 感染患者与 5044 例没有医院获得性 SARS-CoV-2 感染的患者相匹配。与疫苗接种前时期相比,疫苗接种时期 1(调整后的危险比[AHR],2.08 [95%CI,1.50-2.88])或时期 2(AHR,1.22 [95%CI,0.92-1.60])的 30 天死亡率更高。在患有医院获得性 SARS-CoV-2 感染的患者中,与接种 2 剂或以上 SARS-CoV-2 疫苗的患者相比,接种少于 2 剂疫苗的患者 30 天 AHR 为 0.64(95%CI,0.46-0.88)。
在这项匹配队列研究中,医院获得性 SARS-CoV-2 感染与大流行早期的 30 天死亡率较高相关,而在奥密克戎变异株流行期间和疫苗接种后死亡率较低。通过实施适当的感染预防和控制措施,降低因医院传播而导致的超额死亡率风险应成为重点。