Suppr超能文献

基于金豺-灰狼混合优化算法的特征选择方法。

A feature selection method based on the Golden Jackal-Grey Wolf Hybrid Optimization Algorithm.

机构信息

College of Mining, Liaoning Technical University, Fuxin, Liaoning, China.

College of Science, Liaoning Technical University, Fuxin, Liaoning, China.

出版信息

PLoS One. 2024 Jan 2;19(1):e0295579. doi: 10.1371/journal.pone.0295579. eCollection 2024.

Abstract

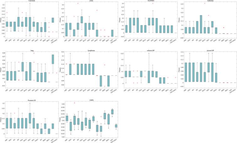
This paper proposes a feature selection method based on a hybrid optimization algorithm that combines the Golden Jackal Optimization (GJO) and Grey Wolf Optimizer (GWO). The primary objective of this method is to create an effective data dimensionality reduction technique for eliminating redundant, irrelevant, and noisy features within high-dimensional datasets. Drawing inspiration from the Chinese idiom "Chai Lang Hu Bao," hybrid algorithm mechanisms, and cooperative behaviors observed in natural animal populations, we amalgamate the GWO algorithm, the Lagrange interpolation method, and the GJO algorithm to propose the multi-strategy fusion GJO-GWO algorithm. In Case 1, the GJO-GWO algorithm addressed eight complex benchmark functions. In Case 2, GJO-GWO was utilized to tackle ten feature selection problems. Experimental results consistently demonstrate that under identical experimental conditions, whether solving complex benchmark functions or addressing feature selection problems, GJO-GWO exhibits smaller means, lower standard deviations, higher classification accuracy, and reduced execution times. These findings affirm the superior optimization performance, classification accuracy, and stability of the GJO-GWO algorithm.

摘要

本文提出了一种基于混合优化算法的特征选择方法,该算法结合了金豺优化算法(Golden Jackal Optimization,GJO)和灰狼优化算法(Grey Wolf Optimizer,GWO)。该方法的主要目的是创建一种有效的数据降维技术,用于消除高维数据集中冗余、不相关和噪声特征。受中国成语“豺狼虎豹”以及在自然动物种群中观察到的混合算法机制和合作行为的启发,我们将 GWO 算法、拉格朗日插值法和 GJO 算法相结合,提出了多策略融合的 GJO-GWO 算法。在案例 1 中,GJO-GWO 算法解决了八个复杂的基准函数问题。在案例 2 中,GJO-GWO 用于解决十个特征选择问题。实验结果一致表明,在相同的实验条件下,无论是解决复杂基准函数还是解决特征选择问题,GJO-GWO 算法的平均值更小、标准差更低、分类准确率更高、执行时间更短。这些结果证实了 GJO-GWO 算法具有优越的优化性能、分类准确性和稳定性。

https://cdn.ncbi.nlm.nih.gov/pmc/blobs/184f/10760777/78e5360cdaa2/pone.0295579.g001.jpg

文献AI研究员

20分钟写一篇综述,助力文献阅读效率提升50倍。

立即体验

用中文搜PubMed

大模型驱动的PubMed中文搜索引擎

马上搜索

文档翻译

学术文献翻译模型,支持多种主流文档格式。

立即体验