Suppr超能文献

膳食牛奶或分离豆蛋白可调节大鼠肠道微生物组成。

Dietary Milk or Isolated Legume Proteins Modulate Intestinal Microbiota Composition in Rats.

机构信息

Department of Animal Nutrition and Sustainable Production, Estación Experimental del Zaidin (CSIC), Profesor Abareda 1, 18008 Granada, Spain.

出版信息

Nutrients. 2024 Jan 2;16(1):149. doi: 10.3390/nu16010149.

Abstract

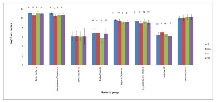
Shifts toward increased proteolytic fermentation, such as, for example, in athlete and high-protein weight loss diets, may alter the relative abundance of microbial species in the gut and generate bioactive, potentially deleterious metabolic products. In the current investigation, intestinal (caecal) microbiota composition was studied in rats fed diets differing only in their constituent proteins: milk (casein (CAS), lactalbumin (LA)) or legume () protein isolates (chickpea protein isolate (CPI), lupin protein isolate (LI)). ANOSIM and Discriminant Analysis showed significant ( < 0.05) differences at both family and genus levels in both microbiota composition and functionality as a consequence of feeding the different proteins. Differences were also significant ( < 0.05) for predicted functionality parameters as determined by PICRUSt analysis. LA induced a generally healthier microbiota composition than CAS, and higher amounts of spp. and Methanogenic_PWY were found in the LI group. LEfSe analysis of bacterial composition and functional activities revealed a number of groups/functions able to explain the different effects found with milk and legume protein isolates. In conclusion, the mostly beneficial modulation of intestinal microbiota generally found with legume-based diets is likely to be due, at least in part, to their constituent proteins.

摘要

向增加蛋白水解发酵的转变,例如,在运动员和高蛋白减肥饮食中,可能会改变肠道中微生物物种的相对丰度,并产生生物活性的、潜在有害的代谢产物。在本研究中,研究了仅在其组成蛋白上有所不同的大鼠肠道(盲肠)微生物群组成:牛奶(酪蛋白(CAS)、乳白蛋白(LA))或豆类(鹰嘴豆蛋白分离物(CPI)、羽扇豆蛋白分离物(LI))。非度量多维尺度分析(ANOSIM)和判别分析表明,由于喂养不同的蛋白质,在微生物群组成和功能方面,在科和属水平上均存在显著差异(<0.05)。通过 PICRUSt 分析预测的功能参数也存在显著差异(<0.05)。与 CAS 相比,LA 诱导的微生物群组成通常更健康,并且在 LI 组中发现了更多的 spp. 和 Methanogenic_PWY。细菌组成和功能活性的 LEfSe 分析揭示了许多能够解释牛奶和豆类蛋白分离物不同影响的组/功能。总之,豆类饮食对肠道微生物群的有益调节,至少部分是由于其组成蛋白。

https://cdn.ncbi.nlm.nih.gov/pmc/blobs/ef6d/10781060/3851548e7435/nutrients-16-00149-g001.jpg

文献AI研究员

20分钟写一篇综述,助力文献阅读效率提升50倍。

立即体验

用中文搜PubMed

大模型驱动的PubMed中文搜索引擎

马上搜索

文档翻译

学术文献翻译模型,支持多种主流文档格式。

立即体验