• 文献检索
  • 文档翻译
  • 深度研究
  • 学术资讯
  • Suppr Zotero 插件Zotero 插件
  • 邀请有礼
  • 套餐&价格
  • 历史记录
应用&插件
Suppr Zotero 插件Zotero 插件浏览器插件Mac 客户端Windows 客户端微信小程序
定价
高级版会员购买积分包购买API积分包
服务
文献检索文档翻译深度研究API 文档MCP 服务
关于我们
关于 Suppr公司介绍联系我们用户协议隐私条款
关注我们

Suppr 超能文献

核心技术专利:CN118964589B侵权必究
粤ICP备2023148730 号-1Suppr @ 2026

文献检索

告别复杂PubMed语法,用中文像聊天一样搜索,搜遍4000万医学文献。AI智能推荐,让科研检索更轻松。

立即免费搜索

文件翻译

保留排版,准确专业,支持PDF/Word/PPT等文件格式,支持 12+语言互译。

免费翻译文档

深度研究

AI帮你快速写综述,25分钟生成高质量综述,智能提取关键信息,辅助科研写作。

立即免费体验

迷瑞香烷型二萜:结构多样性、化学和生物活性的综合综述。

Myrsinane-Type Diterpenes: A Comprehensive Review on Structural Diversity, Chemistry and Biological Activities.

机构信息

Research Institute for Medicines (iMED.Ulisboa), Faculdade de Farmácia, Universidade de Lisboa, Av. Prof. Gama Pinto, 1649-003 Lisboa, Portugal.

ATLÂNTICA-Instituto Universitário, Fábrica da Pólvora de Barcarena, 2730-036 Barcarena, Portugal.

出版信息

Int J Mol Sci. 2023 Dec 21;25(1):147. doi: 10.3390/ijms25010147.

DOI:10.3390/ijms25010147
PMID:38203318
原文链接:https://pmc.ncbi.nlm.nih.gov/articles/PMC10779237/
Abstract

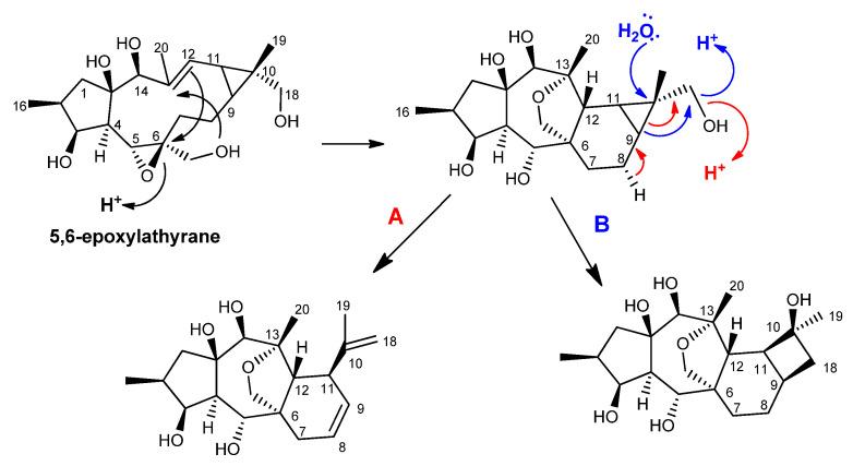
species are important sources of polycyclic and macrocyclic diterpenes, which have been the focus of natural-product-based drug research due to their relevant biological properties, including anticancer, multidrug resistance reversal, antiviral, and anti-inflammatory activities. Premyrsinane, cyclomyrsinane, and myrsinane diterpenes are generally and collectively designated as myrsinane-type diterpenes. These compounds are derived from the macrocyclic lathyrane structure and are characterized by having highly oxygenated rearranged polycyclic systems. This review aims to describe and summarize the distribution and diversity of 220 myrsinane-type diterpenes isolated in the last four decades from about 20 species. Some myrsinane diterpenes obtained from are also described. Discussion on their plausible biosynthetic pathways is presented, as well as isolation procedures and structural elucidation using nuclear magnetic resonance spectroscopy. Furthermore, the most important biological activities are highlighted, which include cytotoxic and immunomodulatory activities, the modulation of efflux pumps, the neuroprotective effects, and the inhibition of enzymes such as urease, HIV-1 reverse transcriptase, and prolyl endopeptidase, among other biological effects.

摘要

植物是多环和大环二萜类化合物的重要来源,由于其相关的生物活性,包括抗癌、多药耐药逆转、抗病毒和抗炎活性,这些化合物一直是基于天然产物的药物研究的焦点。当药烷型二萜类化合物通常被统称为当药烷型二萜类化合物,包括普瑞马林烷、环当药烷和当药烷二萜类化合物。这些化合物来源于大环拉坦烷结构,其特征是具有高度氧化的重排多环系统。本综述旨在描述和总结过去四十年间从大约 20 种植物中分离得到的 220 种当药烷型二萜类化合物的分布和多样性。还描述了一些从植物中获得的当药烷二萜类化合物。讨论了它们可能的生物合成途径,以及使用核磁共振波谱法进行的分离程序和结构阐明。此外,还强调了最重要的生物活性,包括细胞毒性和免疫调节活性、外排泵的调节、神经保护作用以及对酶如脲酶、HIV-1 逆转录酶和脯氨酰内肽酶的抑制作用等其他生物作用。

https://cdn.ncbi.nlm.nih.gov/pmc/blobs/5495/10779237/57b3c878e08a/ijms-25-00147-g022.jpg
https://cdn.ncbi.nlm.nih.gov/pmc/blobs/5495/10779237/8853a2b4e8be/ijms-25-00147-g001.jpg
https://cdn.ncbi.nlm.nih.gov/pmc/blobs/5495/10779237/f1c9c1e7b058/ijms-25-00147-g002.jpg
https://cdn.ncbi.nlm.nih.gov/pmc/blobs/5495/10779237/a6e662a247f2/ijms-25-00147-g003.jpg
https://cdn.ncbi.nlm.nih.gov/pmc/blobs/5495/10779237/e147f71e1740/ijms-25-00147-g004.jpg
https://cdn.ncbi.nlm.nih.gov/pmc/blobs/5495/10779237/26549289036c/ijms-25-00147-g005.jpg
https://cdn.ncbi.nlm.nih.gov/pmc/blobs/5495/10779237/b73d8e9e69da/ijms-25-00147-g006.jpg
https://cdn.ncbi.nlm.nih.gov/pmc/blobs/5495/10779237/02edc52446a6/ijms-25-00147-g007.jpg
https://cdn.ncbi.nlm.nih.gov/pmc/blobs/5495/10779237/1050c50ea7a4/ijms-25-00147-g008.jpg
https://cdn.ncbi.nlm.nih.gov/pmc/blobs/5495/10779237/8eb535d420e6/ijms-25-00147-g009.jpg
https://cdn.ncbi.nlm.nih.gov/pmc/blobs/5495/10779237/16c5bdfcd40b/ijms-25-00147-g010.jpg
https://cdn.ncbi.nlm.nih.gov/pmc/blobs/5495/10779237/5ce1779a337f/ijms-25-00147-g011.jpg
https://cdn.ncbi.nlm.nih.gov/pmc/blobs/5495/10779237/2e8cb6042662/ijms-25-00147-g012.jpg
https://cdn.ncbi.nlm.nih.gov/pmc/blobs/5495/10779237/9eebb147a1a2/ijms-25-00147-g013a.jpg
https://cdn.ncbi.nlm.nih.gov/pmc/blobs/5495/10779237/2a0a328eee1d/ijms-25-00147-g014.jpg
https://cdn.ncbi.nlm.nih.gov/pmc/blobs/5495/10779237/865f3d020a75/ijms-25-00147-g015.jpg
https://cdn.ncbi.nlm.nih.gov/pmc/blobs/5495/10779237/a7edf3a787f2/ijms-25-00147-g016.jpg
https://cdn.ncbi.nlm.nih.gov/pmc/blobs/5495/10779237/f56cc2c7bd39/ijms-25-00147-g017.jpg
https://cdn.ncbi.nlm.nih.gov/pmc/blobs/5495/10779237/11e78afd4c7f/ijms-25-00147-g018.jpg
https://cdn.ncbi.nlm.nih.gov/pmc/blobs/5495/10779237/605dce05d160/ijms-25-00147-g019.jpg
https://cdn.ncbi.nlm.nih.gov/pmc/blobs/5495/10779237/608df7cbb3e2/ijms-25-00147-g020.jpg
https://cdn.ncbi.nlm.nih.gov/pmc/blobs/5495/10779237/bb661340b5db/ijms-25-00147-g021.jpg
https://cdn.ncbi.nlm.nih.gov/pmc/blobs/5495/10779237/57b3c878e08a/ijms-25-00147-g022.jpg
https://cdn.ncbi.nlm.nih.gov/pmc/blobs/5495/10779237/8853a2b4e8be/ijms-25-00147-g001.jpg
https://cdn.ncbi.nlm.nih.gov/pmc/blobs/5495/10779237/f1c9c1e7b058/ijms-25-00147-g002.jpg
https://cdn.ncbi.nlm.nih.gov/pmc/blobs/5495/10779237/a6e662a247f2/ijms-25-00147-g003.jpg
https://cdn.ncbi.nlm.nih.gov/pmc/blobs/5495/10779237/e147f71e1740/ijms-25-00147-g004.jpg
https://cdn.ncbi.nlm.nih.gov/pmc/blobs/5495/10779237/26549289036c/ijms-25-00147-g005.jpg
https://cdn.ncbi.nlm.nih.gov/pmc/blobs/5495/10779237/b73d8e9e69da/ijms-25-00147-g006.jpg
https://cdn.ncbi.nlm.nih.gov/pmc/blobs/5495/10779237/02edc52446a6/ijms-25-00147-g007.jpg
https://cdn.ncbi.nlm.nih.gov/pmc/blobs/5495/10779237/1050c50ea7a4/ijms-25-00147-g008.jpg
https://cdn.ncbi.nlm.nih.gov/pmc/blobs/5495/10779237/8eb535d420e6/ijms-25-00147-g009.jpg
https://cdn.ncbi.nlm.nih.gov/pmc/blobs/5495/10779237/16c5bdfcd40b/ijms-25-00147-g010.jpg
https://cdn.ncbi.nlm.nih.gov/pmc/blobs/5495/10779237/5ce1779a337f/ijms-25-00147-g011.jpg
https://cdn.ncbi.nlm.nih.gov/pmc/blobs/5495/10779237/2e8cb6042662/ijms-25-00147-g012.jpg
https://cdn.ncbi.nlm.nih.gov/pmc/blobs/5495/10779237/9eebb147a1a2/ijms-25-00147-g013a.jpg
https://cdn.ncbi.nlm.nih.gov/pmc/blobs/5495/10779237/2a0a328eee1d/ijms-25-00147-g014.jpg
https://cdn.ncbi.nlm.nih.gov/pmc/blobs/5495/10779237/865f3d020a75/ijms-25-00147-g015.jpg
https://cdn.ncbi.nlm.nih.gov/pmc/blobs/5495/10779237/a7edf3a787f2/ijms-25-00147-g016.jpg
https://cdn.ncbi.nlm.nih.gov/pmc/blobs/5495/10779237/f56cc2c7bd39/ijms-25-00147-g017.jpg
https://cdn.ncbi.nlm.nih.gov/pmc/blobs/5495/10779237/11e78afd4c7f/ijms-25-00147-g018.jpg
https://cdn.ncbi.nlm.nih.gov/pmc/blobs/5495/10779237/605dce05d160/ijms-25-00147-g019.jpg
https://cdn.ncbi.nlm.nih.gov/pmc/blobs/5495/10779237/608df7cbb3e2/ijms-25-00147-g020.jpg
https://cdn.ncbi.nlm.nih.gov/pmc/blobs/5495/10779237/bb661340b5db/ijms-25-00147-g021.jpg
https://cdn.ncbi.nlm.nih.gov/pmc/blobs/5495/10779237/57b3c878e08a/ijms-25-00147-g022.jpg

相似文献

1
Myrsinane-Type Diterpenes: A Comprehensive Review on Structural Diversity, Chemistry and Biological Activities.迷瑞香烷型二萜:结构多样性、化学和生物活性的综合综述。
Int J Mol Sci. 2023 Dec 21;25(1):147. doi: 10.3390/ijms25010147.
2
Lathyrane, Premyrsinane, and Related Diterpenes from : Effect on in Vitro Neural Progenitor Cell Proliferation.拉替沙林、前髓木烷和相关二萜类化合物:对体外神经祖细胞增殖的影响。
J Nat Prod. 2019 Sep 27;82(9):2517-2528. doi: 10.1021/acs.jnatprod.9b00343. Epub 2019 Sep 11.
3
Myrsinane-type diterpenes from Euphorbia gedrosiaca with cell growth inhibitory activity and apoptotic effects on melanoma cancer cells.来自格德罗西亚大戟的紫金牛烷型二萜对黑色素瘤癌细胞具有细胞生长抑制活性和凋亡作用。
Fitoterapia. 2022 Mar;157:105138. doi: 10.1016/j.fitote.2022.105138. Epub 2022 Jan 31.
4
Lewis acid-mediated skeleton transformation of Euphorbia diterpenes: From lathyrane to euphoractane and myrsinane.路易斯酸介导的大戟二萜骨架转化:从拉帕烷到 euphoractane 和 myrsinane。
Fitoterapia. 2019 Mar;133:212-218. doi: 10.1016/j.fitote.2019.01.015. Epub 2019 Jan 25.
5
Discovery of myrsinane-type Euphorbia diterpene derivatives through a skeleton conversion strategy from lathyrane diterpene for the treatment of Alzheimer's disease.通过从山黧豆烷二萜进行骨架转化策略发现紫金牛烷型大戟二萜衍生物用于治疗阿尔茨海默病。
Bioorg Chem. 2023 Sep;138:106595. doi: 10.1016/j.bioorg.2023.106595. Epub 2023 May 9.
6
Investigation of Premyrsinane and Myrsinane Esters in Euphorbia cupanii and Euphobia pithyusa with MS2LDA and Combinatorial Molecular Network Annotation Propagation.基于 MS2LDA 和组合分子网络注释传播对杯叶大戟和乳浆大戟中千金烷和千金烷酯的研究。
J Nat Prod. 2019 Jun 28;82(6):1459-1470. doi: 10.1021/acs.jnatprod.8b00916. Epub 2019 Jun 5.
7
Chemistry and biological activity of secondary metabolites in Euphorbia from Iran.伊朗大戟属植物中次生代谢产物的化学性质与生物活性
Phytochemistry. 2006 Sep;67(18):1977-84. doi: 10.1016/j.phytochem.2006.06.030. Epub 2006 Aug 4.
8
Lathyrane and premyrsinane Euphorbia diterpenes against Alzheimer's disease: Bioinspired synthesis, anti-cholinesterase and neuroprotection bioactivity.拉替沙林和前孕烯醇酮型大戟二萜类化合物防治阿尔茨海默病:基于生物灵感的合成、抗胆碱酯酶和神经保护活性。
Bioorg Chem. 2024 Jun;147:107377. doi: 10.1016/j.bioorg.2024.107377. Epub 2024 Apr 15.
9
Myrsinane, Premyrsinane, and Cyclomyrsinane Diterpenes from Euphorbia falcata as Potassium Ion Channel Inhibitors with Selective G Protein-Activated Inwardly Rectifying Ion Channel (GIRK) Blocking Effects.来自镰叶大戟的紫金牛烷型、前紫金牛烷型和环紫金牛烷型二萜类化合物作为具有选择性G蛋白激活内向整流离子通道(GIRK)阻断作用的钾离子通道抑制剂。
J Nat Prod. 2016 Aug 26;79(8):1990-2004. doi: 10.1021/acs.jnatprod.6b00260. Epub 2016 Jul 21.
10
Diterpenes: An Update of Isolation, Structure, Pharmacological Activities and Structure-Activity Relationship.二萜类化合物:分离、结构、药理活性和构效关系的最新研究进展。
Molecules. 2021 Aug 20;26(16):5055. doi: 10.3390/molecules26165055.

引用本文的文献

1
Diterpenes: Nature's Hidden Gems of Immunomodulation.二萜类化合物:大自然中免疫调节的隐藏瑰宝。
Int J Mol Sci. 2025 Mar 3;26(5):2250. doi: 10.3390/ijms26052250.
2
Malleatin A and B: New Premyrsine-Type Diterpenes from with Cytotoxic Effects Against A2780 Wild and A2780 R-CIS Ovarian Cancer Cell Lines in Mono or Combination Treatment with Cisplatin.马勒廷A和B:来自[具体来源未给出]的新型前米西宁型二萜类化合物,在顺铂单一或联合治疗中对A2780野生型和A2780 R-CIS卵巢癌细胞系具有细胞毒性作用 。
Iran J Pharm Res. 2024 Nov 18;23(1):e147396. doi: 10.5812/ijpr-147396. eCollection 2024 Jan-Dec.
3
Naturally Occurring Norsteroids and Their Design and Pharmaceutical Application.

本文引用的文献

1
Toward improved terpenoids biosynthesis: strategies to enhance the capabilities of cell factories.迈向改进的萜类生物合成:增强细胞工厂能力的策略。
Bioresour Bioprocess. 2022 Jan 24;9(1):6. doi: 10.1186/s40643-022-00493-8.
2
Analogues of Anticancer Natural Products: Chiral Aspects.抗癌天然产物类似物:手性方面。
Int J Mol Sci. 2023 Mar 16;24(6):5679. doi: 10.3390/ijms24065679.
3
Diterpenoids from as Potential Anti-Proliferative Agents against Breast Cancer Cells.来自[具体来源未给出]的二萜类化合物作为抗乳腺癌细胞的潜在增殖抑制剂
天然存在的去甲甾体及其设计与药物应用。
Biomedicines. 2024 May 6;12(5):1021. doi: 10.3390/biomedicines12051021.
4
A Biomimetic Approach to Premyrsinane-Type Diterpenoids: Exploring Microbial Transformation to Enhance Their Chemical Diversity.一种针对前半日花烷型二萜类化合物的仿生方法:探索微生物转化以增强其化学多样性。
Plants (Basel). 2024 Mar 14;13(6):842. doi: 10.3390/plants13060842.
Metabolites. 2023 Feb 3;13(2):225. doi: 10.3390/metabo13020225.
4
Ingenol Mebutate Is Associated With Increased Reporting Odds for Squamous Cell Carcinoma in Actinic Keratosis Patients, a Pharmacovigilance Study of the FDA Adverse Event Reporting System (FAERS).一项针对美国食品药品监督管理局不良事件报告系统(FAERS)的药物警戒研究表明,光化性角化病患者使用鬼臼毒素丁酯后,鳞状细胞癌的报告几率增加。
J Cutan Med Surg. 2023 Jan-Feb;27(1):39-43. doi: 10.1177/12034754221143091. Epub 2022 Dec 10.
5
diterpenoids: isolation, structure, bioactivity, biosynthesis, and synthesis (2013-2021).二萜类化合物:分离、结构、生物活性、生物合成和合成(2013-2021 年)。
Nat Prod Rep. 2022 Nov 16;39(11):2132-2174. doi: 10.1039/d2np00047d.
6
Unprecedented diterpene skeletons isolated from vascular plants in the last twenty years (2001-2021).过去二十年(2001 - 2021年)从维管植物中分离出的前所未有的二萜骨架。
Phytochemistry. 2022 Dec;204:113425. doi: 10.1016/j.phytochem.2022.113425. Epub 2022 Sep 9.
7
New Cytotoxic Premyrsinane-Type Diterpenes from Against Breast Cancer Cells.来自[具体来源未提及]的新型细胞毒性前弥罗松烷型二萜对乳腺癌细胞的作用
Iran J Pharm Res. 2022 May 10;21(1):e127028. doi: 10.5812/ijpr-127028. eCollection 2022 Dec.
8
Phytochemical and pharmacological review of diterpenoids from the genus Euphorbia Linn (2012-2021).二萜类化合物的植物化学和药理学综述:大戟属植物(2012-2021 年)。
J Ethnopharmacol. 2022 Nov 15;298:115574. doi: 10.1016/j.jep.2022.115574. Epub 2022 Aug 6.
9
Pharmacological Potential of Lathyrane-Type Diterpenoids from Phytochemical Sources.植物化学来源的赖百当型二萜类化合物的药理潜力
Pharmaceuticals (Basel). 2022 Jun 23;15(7):780. doi: 10.3390/ph15070780.
10
Myrsinane-type diterpenes from Euphorbia gedrosiaca with cell growth inhibitory activity and apoptotic effects on melanoma cancer cells.来自格德罗西亚大戟的紫金牛烷型二萜对黑色素瘤癌细胞具有细胞生长抑制活性和凋亡作用。
Fitoterapia. 2022 Mar;157:105138. doi: 10.1016/j.fitote.2022.105138. Epub 2022 Jan 31.