• 文献检索
  • 文档翻译
  • 深度研究
  • 学术资讯
  • Suppr Zotero 插件Zotero 插件
  • 邀请有礼
  • 套餐&价格
  • 历史记录
应用&插件
Suppr Zotero 插件Zotero 插件浏览器插件Mac 客户端Windows 客户端微信小程序
定价
高级版会员购买积分包购买API积分包
服务
文献检索文档翻译深度研究API 文档MCP 服务
关于我们
关于 Suppr公司介绍联系我们用户协议隐私条款
关注我们

Suppr 超能文献

核心技术专利:CN118964589B侵权必究
粤ICP备2023148730 号-1Suppr @ 2026

文献检索

告别复杂PubMed语法,用中文像聊天一样搜索,搜遍4000万医学文献。AI智能推荐,让科研检索更轻松。

立即免费搜索

文件翻译

保留排版,准确专业,支持PDF/Word/PPT等文件格式,支持 12+语言互译。

免费翻译文档

深度研究

AI帮你快速写综述,25分钟生成高质量综述,智能提取关键信息,辅助科研写作。

立即免费体验

鲸鱼优化算法在心脏病预测中的实证研究。

Empirical exploration of whale optimisation algorithm for heart disease prediction.

机构信息

Department of Computer Science, University of Ghana, Accra, Ghana.

出版信息

Sci Rep. 2024 Feb 24;14(1):4530. doi: 10.1038/s41598-024-54990-1.

DOI:10.1038/s41598-024-54990-1
PMID:38402276
原文链接:https://pmc.ncbi.nlm.nih.gov/articles/PMC10894250/
Abstract

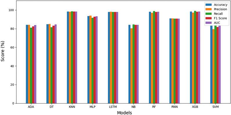
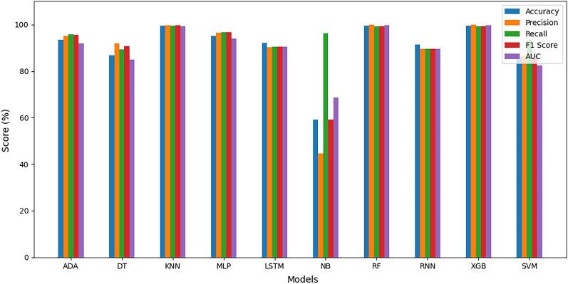
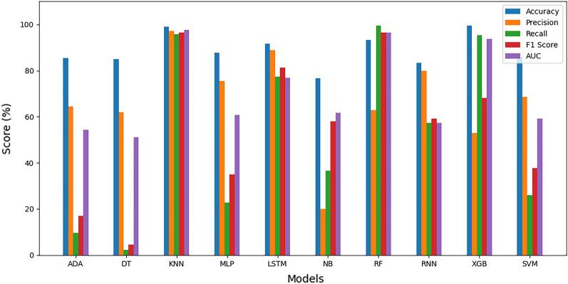
Heart Diseases have the highest mortality worldwide, necessitating precise predictive models for early risk assessment. Much existing research has focused on improving model accuracy with single datasets, often neglecting the need for comprehensive evaluation metrics and utilization of different datasets in the same domain (heart disease). This research introduces a heart disease risk prediction approach by harnessing the whale optimization algorithm (WOA) for feature selection and implementing a comprehensive evaluation framework. The study leverages five distinct datasets, including the combined dataset comprising the Cleveland, Long Beach VA, Switzerland, and Hungarian heart disease datasets. The others are the Z-AlizadehSani, Framingham, South African, and Cleveland heart datasets. The WOA-guided feature selection identifies optimal features, subsequently integrated into ten classification models. Comprehensive model evaluation reveals significant improvements across critical performance metrics, including accuracy, precision, recall, F1 score, and the area under the receiver operating characteristic curve. These enhancements consistently outperform state-of-the-art methods using the same dataset, validating the effectiveness of our methodology. The comprehensive evaluation framework provides a robust assessment of the model's adaptability, underscoring the WOA's effectiveness in identifying optimal features in multiple datasets in the same domain.

摘要

心脏病是全球死亡率最高的疾病,因此需要精确的预测模型来进行早期风险评估。许多现有研究都专注于使用单一数据集来提高模型的准确性,而往往忽略了需要综合评估指标以及在同一领域(心脏病)中使用不同数据集的情况。本研究通过利用鲸鱼优化算法(WOA)进行特征选择,并实施综合评估框架,引入了一种心脏病风险预测方法。该研究利用了五个不同的数据集,包括克利夫兰、长滩 VA、瑞士和匈牙利心脏病数据集的组合数据集。其余的是 Z-AlizadehSani、弗雷明汉、南非和克利夫兰心脏病数据集。WOA 引导的特征选择确定了最优特征,随后将其集成到十个分类模型中。综合模型评估显示,在关键性能指标方面均有显著提高,包括准确性、精度、召回率、F1 得分和接收者操作特征曲线下的面积。这些改进在使用相同数据集的最新方法中表现出色,验证了我们方法的有效性。综合评估框架提供了对模型适应性的稳健评估,强调了 WOA 在同一领域的多个数据集中识别最优特征的有效性。

https://cdn.ncbi.nlm.nih.gov/pmc/blobs/50de/10894250/c4e14bca8718/41598_2024_54990_Fig20_HTML.jpg
https://cdn.ncbi.nlm.nih.gov/pmc/blobs/50de/10894250/a79ae2a4ab59/41598_2024_54990_Fig1_HTML.jpg
https://cdn.ncbi.nlm.nih.gov/pmc/blobs/50de/10894250/12f8f2d04faf/41598_2024_54990_Fig2_HTML.jpg
https://cdn.ncbi.nlm.nih.gov/pmc/blobs/50de/10894250/2158740bbb96/41598_2024_54990_Fig3_HTML.jpg
https://cdn.ncbi.nlm.nih.gov/pmc/blobs/50de/10894250/0cc4bf50a41a/41598_2024_54990_Fig4_HTML.jpg
https://cdn.ncbi.nlm.nih.gov/pmc/blobs/50de/10894250/606c1e5c0c66/41598_2024_54990_Fig5_HTML.jpg
https://cdn.ncbi.nlm.nih.gov/pmc/blobs/50de/10894250/32d41bf48ac0/41598_2024_54990_Fig6_HTML.jpg
https://cdn.ncbi.nlm.nih.gov/pmc/blobs/50de/10894250/6d1dc315fee9/41598_2024_54990_Fig7_HTML.jpg
https://cdn.ncbi.nlm.nih.gov/pmc/blobs/50de/10894250/d20eb80f6b0d/41598_2024_54990_Fig8_HTML.jpg
https://cdn.ncbi.nlm.nih.gov/pmc/blobs/50de/10894250/33c3b59e391d/41598_2024_54990_Figa_HTML.jpg
https://cdn.ncbi.nlm.nih.gov/pmc/blobs/50de/10894250/b3b73d708524/41598_2024_54990_Fig9_HTML.jpg
https://cdn.ncbi.nlm.nih.gov/pmc/blobs/50de/10894250/5472316abb44/41598_2024_54990_Fig10_HTML.jpg
https://cdn.ncbi.nlm.nih.gov/pmc/blobs/50de/10894250/a90b2e8d6364/41598_2024_54990_Fig11_HTML.jpg
https://cdn.ncbi.nlm.nih.gov/pmc/blobs/50de/10894250/a81ad50009d2/41598_2024_54990_Fig12_HTML.jpg
https://cdn.ncbi.nlm.nih.gov/pmc/blobs/50de/10894250/d5548dcfeb76/41598_2024_54990_Fig13_HTML.jpg
https://cdn.ncbi.nlm.nih.gov/pmc/blobs/50de/10894250/befdf0aa59e2/41598_2024_54990_Fig14_HTML.jpg
https://cdn.ncbi.nlm.nih.gov/pmc/blobs/50de/10894250/759c5b81813e/41598_2024_54990_Fig15_HTML.jpg
https://cdn.ncbi.nlm.nih.gov/pmc/blobs/50de/10894250/99081d037708/41598_2024_54990_Fig16_HTML.jpg
https://cdn.ncbi.nlm.nih.gov/pmc/blobs/50de/10894250/c346a6d40180/41598_2024_54990_Fig17_HTML.jpg
https://cdn.ncbi.nlm.nih.gov/pmc/blobs/50de/10894250/4d302ad892ad/41598_2024_54990_Fig18_HTML.jpg
https://cdn.ncbi.nlm.nih.gov/pmc/blobs/50de/10894250/c6e9ca4c6376/41598_2024_54990_Fig19_HTML.jpg
https://cdn.ncbi.nlm.nih.gov/pmc/blobs/50de/10894250/c4e14bca8718/41598_2024_54990_Fig20_HTML.jpg
https://cdn.ncbi.nlm.nih.gov/pmc/blobs/50de/10894250/a79ae2a4ab59/41598_2024_54990_Fig1_HTML.jpg
https://cdn.ncbi.nlm.nih.gov/pmc/blobs/50de/10894250/12f8f2d04faf/41598_2024_54990_Fig2_HTML.jpg
https://cdn.ncbi.nlm.nih.gov/pmc/blobs/50de/10894250/2158740bbb96/41598_2024_54990_Fig3_HTML.jpg
https://cdn.ncbi.nlm.nih.gov/pmc/blobs/50de/10894250/0cc4bf50a41a/41598_2024_54990_Fig4_HTML.jpg
https://cdn.ncbi.nlm.nih.gov/pmc/blobs/50de/10894250/606c1e5c0c66/41598_2024_54990_Fig5_HTML.jpg
https://cdn.ncbi.nlm.nih.gov/pmc/blobs/50de/10894250/32d41bf48ac0/41598_2024_54990_Fig6_HTML.jpg
https://cdn.ncbi.nlm.nih.gov/pmc/blobs/50de/10894250/6d1dc315fee9/41598_2024_54990_Fig7_HTML.jpg
https://cdn.ncbi.nlm.nih.gov/pmc/blobs/50de/10894250/d20eb80f6b0d/41598_2024_54990_Fig8_HTML.jpg
https://cdn.ncbi.nlm.nih.gov/pmc/blobs/50de/10894250/33c3b59e391d/41598_2024_54990_Figa_HTML.jpg
https://cdn.ncbi.nlm.nih.gov/pmc/blobs/50de/10894250/b3b73d708524/41598_2024_54990_Fig9_HTML.jpg
https://cdn.ncbi.nlm.nih.gov/pmc/blobs/50de/10894250/5472316abb44/41598_2024_54990_Fig10_HTML.jpg
https://cdn.ncbi.nlm.nih.gov/pmc/blobs/50de/10894250/a90b2e8d6364/41598_2024_54990_Fig11_HTML.jpg
https://cdn.ncbi.nlm.nih.gov/pmc/blobs/50de/10894250/a81ad50009d2/41598_2024_54990_Fig12_HTML.jpg
https://cdn.ncbi.nlm.nih.gov/pmc/blobs/50de/10894250/d5548dcfeb76/41598_2024_54990_Fig13_HTML.jpg
https://cdn.ncbi.nlm.nih.gov/pmc/blobs/50de/10894250/befdf0aa59e2/41598_2024_54990_Fig14_HTML.jpg
https://cdn.ncbi.nlm.nih.gov/pmc/blobs/50de/10894250/759c5b81813e/41598_2024_54990_Fig15_HTML.jpg
https://cdn.ncbi.nlm.nih.gov/pmc/blobs/50de/10894250/99081d037708/41598_2024_54990_Fig16_HTML.jpg
https://cdn.ncbi.nlm.nih.gov/pmc/blobs/50de/10894250/c346a6d40180/41598_2024_54990_Fig17_HTML.jpg
https://cdn.ncbi.nlm.nih.gov/pmc/blobs/50de/10894250/4d302ad892ad/41598_2024_54990_Fig18_HTML.jpg
https://cdn.ncbi.nlm.nih.gov/pmc/blobs/50de/10894250/c6e9ca4c6376/41598_2024_54990_Fig19_HTML.jpg
https://cdn.ncbi.nlm.nih.gov/pmc/blobs/50de/10894250/c4e14bca8718/41598_2024_54990_Fig20_HTML.jpg

相似文献

1
Empirical exploration of whale optimisation algorithm for heart disease prediction.鲸鱼优化算法在心脏病预测中的实证研究。
Sci Rep. 2024 Feb 24;14(1):4530. doi: 10.1038/s41598-024-54990-1.
2
Enhanced whale optimization algorithm for medical feature selection: A COVID-19 case study.基于鲸鱼优化算法的医学特征选择方法:COVID-19 案例研究。
Comput Biol Med. 2022 Sep;148:105858. doi: 10.1016/j.compbiomed.2022.105858. Epub 2022 Jul 16.
3
A NOVEL AND HYBRID WHALE OPTIMIZATION WITH RESTRICTED CROSSOVER AND MUTATION BASED FEATURE SELECTION METHOD FOR ANXIETY AND DEPRESSION.一种新颖的混合鲸鱼优化算法,具有基于受限交叉和变异的特征选择方法,用于焦虑和抑郁。
Psychiatr Danub. 2023 Fall;35(3):355-368. doi: 10.24869/psyd.2023.355.
4
The Whale Optimization Algorithm Approach for Deep Neural Networks.鲸鱼优化算法在深度神经网络中的应用。
Sensors (Basel). 2021 Nov 30;21(23):8003. doi: 10.3390/s21238003.
5
Bone metastasis detection method based on improving golden jackal optimization using whale optimization algorithm.基于改进的金豺优化算法的鲸鱼优化算法的骨转移检测方法。
Sci Rep. 2023 Sep 12;13(1):15019. doi: 10.1038/s41598-023-41733-x.
6
Ensemble framework for cardiovascular disease prediction.心血管疾病预测的集成框架。
Comput Biol Med. 2022 Jul;146:105624. doi: 10.1016/j.compbiomed.2022.105624. Epub 2022 May 17.
7
A comparative analysis of meta-heuristic optimization algorithms for feature selection on ML-based classification of heart-related diseases.基于机器学习的心脏病分类中用于特征选择的元启发式优化算法的比较分析
J Supercomput. 2023;79(11):11797-11826. doi: 10.1007/s11227-023-05132-3. Epub 2023 Mar 3.
8
Diagnosis of each main coronary artery stenosis based on whale optimization algorithm and stacking model.基于鲸鱼优化算法和堆叠模型的主要冠状动脉狭窄的诊断。
Math Biosci Eng. 2022 Mar 7;19(5):4568-4591. doi: 10.3934/mbe.2022211.
9
Hybrid whale algorithm with evolutionary strategies and filtering for high-dimensional optimization: Application to microarray cancer data.结合进化策略与滤波的混合鲸鱼算法用于高维优化:在微阵列癌症数据中的应用
PLoS One. 2024 Mar 11;19(3):e0295643. doi: 10.1371/journal.pone.0295643. eCollection 2024.
10
Novel ensemble learning approach with SVM-imputed ADASYN features for enhanced cervical cancer prediction.基于支持向量机插补 ADASYN 特征的新型集成学习方法,用于增强宫颈癌预测。
PLoS One. 2024 Jan 10;19(1):e0296107. doi: 10.1371/journal.pone.0296107. eCollection 2024.

引用本文的文献

1
EGFR: a predictive machine learning model for assessing small molecule activity against the epidermal growth factor receptor.表皮生长因子受体(EGFR):一种用于评估小分子对表皮生长因子受体活性的预测性机器学习模型。
RSC Med Chem. 2025 Jul 10. doi: 10.1039/d5md00361j.
2
Exploration and comparison of the effectiveness of swarm intelligence algorithm in early identification of cardiovascular disease.群体智能算法在心血管疾病早期识别中的有效性探索与比较
Sci Rep. 2025 Feb 7;15(1):4647. doi: 10.1038/s41598-025-87598-0.

本文引用的文献

1
A comparative analysis of meta-heuristic optimization algorithms for feature selection on ML-based classification of heart-related diseases.基于机器学习的心脏病分类中用于特征选择的元启发式优化算法的比较分析
J Supercomput. 2023;79(11):11797-11826. doi: 10.1007/s11227-023-05132-3. Epub 2023 Mar 3.
2
On evaluation metrics for medical applications of artificial intelligence.人工智能在医学应用中的评估指标。
Sci Rep. 2022 Apr 8;12(1):5979. doi: 10.1038/s41598-022-09954-8.
3
Heart Rate Modeling and Prediction Using Autoregressive Models and Deep Learning.
使用自回归模型和深度学习进行心率建模和预测。
Sensors (Basel). 2021 Dec 22;22(1):34. doi: 10.3390/s22010034.
4
Computer-Aided Diagnostics of Heart Disease Risk Prediction Using Boosting Support Vector Machine.基于提升支持向量机的心脏病风险预测的计算机辅助诊断。
Comput Intell Neurosci. 2021 Dec 23;2021:3152618. doi: 10.1155/2021/3152618. eCollection 2021.
5
Heart Disease Prediction Based on the Embedded Feature Selection Method and Deep Neural Network.基于嵌入式特征选择方法和深度神经网络的心脏病预测。
J Healthc Eng. 2021 Sep 29;2021:6260022. doi: 10.1155/2021/6260022. eCollection 2021.
6
A Tri-Stage Wrapper-Filter Feature Selection Framework for Disease Classification.三阶段包装器-过滤器特征选择框架用于疾病分类。
Sensors (Basel). 2021 Aug 18;21(16):5571. doi: 10.3390/s21165571.
7
Prediction of Heart Disease Using a Combination of Machine Learning and Deep Learning.基于机器学习和深度学习的心脏病预测。
Comput Intell Neurosci. 2021 Jul 1;2021:8387680. doi: 10.1155/2021/8387680. eCollection 2021.
8
Multi-Task Deep Learning Model for Classification of Dental Implant Brand and Treatment Stage Using Dental Panoramic Radiograph Images.基于口腔全景片图像的多任务深度学习模型用于牙种植体品牌和治疗阶段的分类。
Biomolecules. 2021 May 30;11(6):815. doi: 10.3390/biom11060815.
9
The Matthews correlation coefficient (MCC) is more reliable than balanced accuracy, bookmaker informedness, and markedness in two-class confusion matrix evaluation.在二分类混淆矩阵评估中,马修斯相关系数(MCC)比平衡准确率、庄家知情度和标记度更可靠。
BioData Min. 2021 Feb 4;14(1):13. doi: 10.1186/s13040-021-00244-z.
10
Random forest swarm optimization-based for heart diseases diagnosis.基于随机森林群集优化的心脏病诊断。
J Biomed Inform. 2021 Mar;115:103690. doi: 10.1016/j.jbi.2021.103690. Epub 2021 Feb 1.