Suppr超能文献

双光电有机场效应器件:电致发光与光敏性的结合

Dual Optoelectronic Organic Field-Effect Device: Combination of Electroluminescence and Photosensitivity.

作者信息

Trukhanov Vasiliy A, Sosorev Andrey Y, Dominskiy Dmitry I, Fedorenko Roman S, Tafeenko Victor A, Borshchev Oleg V, Ponomarenko Sergey A, Paraschuk Dmitry Y

机构信息

Faculty of Physics, Lomonosov Moscow State University, Leninskie Gory 1/62, Moscow 119991, Russia.

Enikolopov Institute of Synthetic Polymeric Materials, Russian Academy of Science, Profsoyuznaya 70, Moscow 117393, Russia.

出版信息

Molecules. 2024 May 28;29(11):2533. doi: 10.3390/molecules29112533.

Abstract

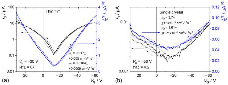
Merging the functionality of an organic field-effect transistor (OFET) with either a light emission or a photoelectric effect can increase the efficiency of displays or photosensing devices. In this work, we show that an organic semiconductor enables a multifunctional OFET combining electroluminescence (EL) and a photoelectric effect. Specifically, our computational and experimental investigations of a six-ring thiophene-phenylene co-oligomer (TPCO) revealed that this material is promising for OFETs, light-emitting, and photoelectric devices because of the large oscillator strength of the lowest-energy singlet transition, efficient luminescence, pronounced delocalization of the excited state, and balanced charge transport. The fabricated OFETs showed a photoelectric response for wavelengths shorter than 530 nm and simultaneously EL in the transistor channel, with a maximum at ~570 nm. The devices demonstrated an EL external quantum efficiency (EQE) of ~1.4% and a photoelectric responsivity of ~0.7 A W, which are among the best values reported for state-of-the-art organic light-emitting transistors and phototransistors, respectively. We anticipate that our results will stimulate the design of efficient materials for multifunctional organic optoelectronic devices and expand the potential applications of organic (opto)electronics.

摘要

将有机场效应晶体管(OFET)的功能与发光或光电效应相结合,可以提高显示器或光传感设备的效率。在这项工作中,我们展示了一种有机半导体能够实现一种兼具电致发光(EL)和光电效应的多功能OFET。具体而言,我们对一种六环噻吩-亚苯基共聚物(TPCO)进行的计算和实验研究表明,由于最低能量单重态跃迁的振子强度大、发光效率高、激发态的离域显著以及电荷传输平衡,这种材料在OFET、发光器件和光电器件方面具有潜力。所制备的OFET对波长小于530 nm的光表现出光电响应,同时在晶体管沟道中产生EL,最大值在~570 nm处。这些器件的EL外量子效率(EQE)约为1.4%,光电响应度约为0.7 A/W,分别是目前报道的最先进有机发光晶体管和光电晶体管的最佳值之一。我们预计,我们的结果将推动高效多功能有机光电器件材料的设计,并拓展有机(光)电子学的潜在应用。

https://cdn.ncbi.nlm.nih.gov/pmc/blobs/1362/11173939/cd1c28944b80/molecules-29-02533-g001.jpg

文献检索

告别复杂PubMed语法,用中文像聊天一样搜索,搜遍4000万医学文献。AI智能推荐,让科研检索更轻松。

立即免费搜索

文件翻译

保留排版,准确专业,支持PDF/Word/PPT等文件格式,支持 12+语言互译。

免费翻译文档

深度研究

AI帮你快速写综述,25分钟生成高质量综述,智能提取关键信息,辅助科研写作。

立即免费体验