Suppr超能文献

大豆杂交种遗传方差和性状间相关性的基因组预测。

Genomic predictions of genetic variances and correlations among traits for breeding crosses in soybean.

机构信息

Department of Agronomy and Plant Genetics, University of Minnesota, St. Paul, MN, USA.

出版信息

Heredity (Edinb). 2024 Sep;133(3):173-185. doi: 10.1038/s41437-024-00703-3. Epub 2024 Jul 12.

Abstract

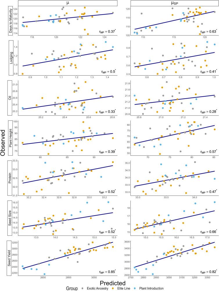
Parental selection is perhaps the most critical decision a breeder makes, establishing the foundation of the entire program for years to come. Cross selection based on predicted mean and genetic variance can be further expanded to multiple-trait improvement by predicting the genetic correlation ( ) between pairs of traits. Our objective was to empirically assess the ability to predict the family mean, genetic variance, superior progeny mean and genetic correlation through genomic prediction in a soybean population. Data made available through the Soybean Nested Association Mapping project included phenotypic data on seven traits (days to maturity, lodging, oil, plant height, protein, seed size, and seed yield) for 39 families. Training population composition followed a leave-one-family-out cross-validation scheme, with the validation family genetic parameters predicted using the remaining families as the training set. The predictive abilities for family mean and superior progeny mean were significant for all traits while predictive ability of genetic variance was significant for four traits. We were able to validate significant predictive abilities of for 18 out of 21 (86%) pairwise trait combinations (P < 0.05). The findings from this study support the use of genome-wide marker effects for predicting in soybean biparental crosses. If successfully implemented in breeding programs, this methodology could help to increase the rate of genetic gain for multiple correlated traits.

摘要

亲本选择也许是繁育者做出的最关键决策,为未来多年的整个计划奠定了基础。基于预测均值和遗传方差的杂交选择可以通过预测两对性状之间的遗传相关系数( )进一步扩展到多性状改良。我们的目的是通过大豆群体中的基因组预测,实证评估通过基因组预测预测家系均值、遗传方差、优良后代均值和遗传相关系数的能力。大豆嵌套关联作图项目提供的数据包括 39 个家系的七个性状(成熟天数、倒伏、油分、株高、蛋白质、种子大小和种子产量)的表型数据。训练群体组成遵循留一家庭交叉验证方案,使用其余家庭作为训练集预测验证家庭的遗传参数。所有性状的家系均值和优良后代均值的预测能力均显著,而四个性状的遗传方差预测能力显著。我们能够验证 21 对(86%)两两性状组合中的 18 对(P<0.05)具有显著的预测能力。本研究的结果支持使用全基因组标记效应来预测大豆双亲亲本杂交中的 。如果在育种计划中成功实施,这种方法可以帮助提高多个相关性状的遗传增益率。

https://cdn.ncbi.nlm.nih.gov/pmc/blobs/f8e6/11350137/986296d45ff6/41437_2024_703_Fig1_HTML.jpg

相似文献

1
Genomic predictions of genetic variances and correlations among traits for breeding crosses in soybean.
Heredity (Edinb). 2024 Sep;133(3):173-185. doi: 10.1038/s41437-024-00703-3. Epub 2024 Jul 12.
2
Multi-trait Improvement by Predicting Genetic Correlations in Breeding Crosses.
G3 (Bethesda). 2019 Oct 7;9(10):3153-3165. doi: 10.1534/g3.119.400406.
5
Genome-wide association study, genomic prediction and marker-assisted selection for seed weight in soybean (Glycine max).
Theor Appl Genet. 2016 Jan;129(1):117-30. doi: 10.1007/s00122-015-2614-x. Epub 2015 Oct 30.
6
Genetic Architecture of Soybean Yield and Agronomic Traits.
G3 (Bethesda). 2018 Oct 3;8(10):3367-3375. doi: 10.1534/g3.118.200332.
7
8
Genomic Selection for Yield and Seed Composition Traits Within an Applied Soybean Breeding Program.
G3 (Bethesda). 2019 Jul 9;9(7):2253-2265. doi: 10.1534/g3.118.200917.
10
Training set design in genomic prediction with multiple biparental families.
Plant Genome. 2021 Nov;14(3):e20124. doi: 10.1002/tpg2.20124. Epub 2021 Jul 24.

本文引用的文献

1
Genomic prediction of optimal cross combinations to accelerate genetic improvement of soybean ().
Front Plant Sci. 2023 May 10;14:1171135. doi: 10.3389/fpls.2023.1171135. eCollection 2023.
2
Conducting correlation analysis: important limitations and pitfalls.
Clin Kidney J. 2021 May 3;14(11):2332-2337. doi: 10.1093/ckj/sfab085. eCollection 2021 Nov.
4
Multi-trait Improvement by Predicting Genetic Correlations in Breeding Crosses.
G3 (Bethesda). 2019 Oct 7;9(10):3153-3165. doi: 10.1534/g3.119.400406.
5
Assessing Variation in US Soybean Seed Composition (Protein and Oil).
Front Plant Sci. 2019 Mar 11;10:298. doi: 10.3389/fpls.2019.00298. eCollection 2019.
7
Prediction of Means and Variances of Crosses With Genome-Wide Marker Effects in Barley.
Front Plant Sci. 2018 Dec 21;9:1899. doi: 10.3389/fpls.2018.01899. eCollection 2018.
8
Genetic Architecture of Soybean Yield and Agronomic Traits.
G3 (Bethesda). 2018 Oct 3;8(10):3367-3375. doi: 10.1534/g3.118.200332.
9
Genomic selection of crossing partners on basis of the expected mean and variance of their derived lines.
PLoS One. 2017 Dec 4;12(12):e0188839. doi: 10.1371/journal.pone.0188839. eCollection 2017.

文献AI研究员

20分钟写一篇综述,助力文献阅读效率提升50倍。

立即体验

用中文搜PubMed

大模型驱动的PubMed中文搜索引擎

马上搜索

文档翻译

学术文献翻译模型,支持多种主流文档格式。

立即体验