• 文献检索
  • 文档翻译
  • 深度研究
  • 学术资讯
  • Suppr Zotero 插件Zotero 插件
  • 邀请有礼
  • 套餐&价格
  • 历史记录
应用&插件
Suppr Zotero 插件Zotero 插件浏览器插件Mac 客户端Windows 客户端微信小程序
定价
高级版会员购买积分包购买API积分包
服务
文献检索文档翻译深度研究API 文档MCP 服务
关于我们
关于 Suppr公司介绍联系我们用户协议隐私条款
关注我们

Suppr 超能文献

核心技术专利:CN118964589B侵权必究
粤ICP备2023148730 号-1Suppr @ 2026

文献检索

告别复杂PubMed语法,用中文像聊天一样搜索,搜遍4000万医学文献。AI智能推荐,让科研检索更轻松。

立即免费搜索

文件翻译

保留排版,准确专业,支持PDF/Word/PPT等文件格式,支持 12+语言互译。

免费翻译文档

深度研究

AI帮你快速写综述,25分钟生成高质量综述,智能提取关键信息,辅助科研写作。

立即免费体验

川滇绣线菊树皮和花中挥发油的抗癌与抗炎活性比较

Comparative Anti-Cancer and Anti-Inflammatory Activities of Essential Oils from the Bark and Flower of Rehd. et Wils.

作者信息

Hao Ke-Xin, Hao Yun-Fang, Zhang Jie, Xu Xi-Lin, Jiang Jian-Guo

机构信息

College of Food and Bioengineering, South China University of Technology, Guangzhou 510640, China.

Jiangmen Key Laboratory of Traditional Chinese Medicine Ingredients and Their Mechanisms of Action, Guangdong Jiangmen Chinese Medicine College, Jiangmen 529000, China.

出版信息

Foods. 2024 Jun 29;13(13):2074. doi: 10.3390/foods13132074.

DOI:10.3390/foods13132074
PMID:38998580
原文链接:https://pmc.ncbi.nlm.nih.gov/articles/PMC11241728/
Abstract

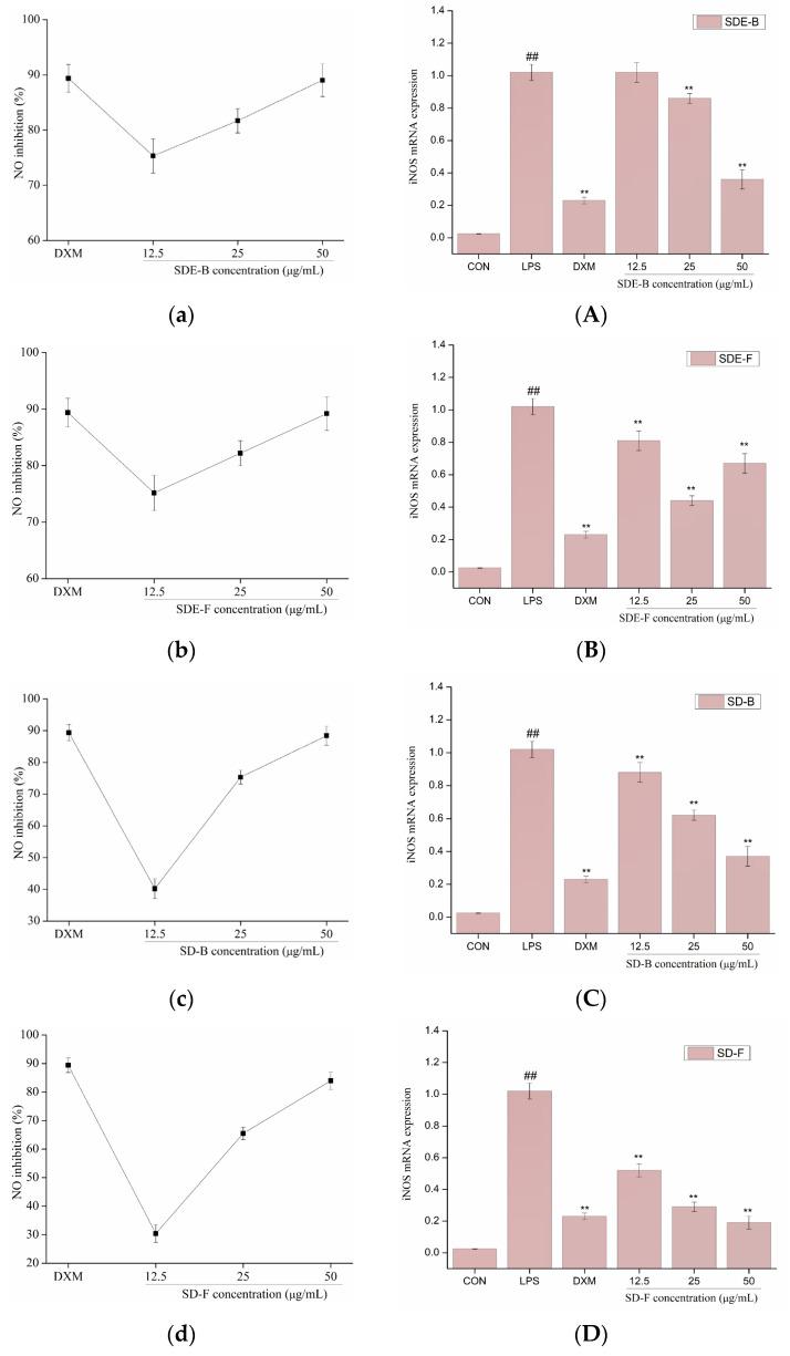
This study was designed to compare the antioxidant, antitumor and anti-inflammatory effects of essential oils from the bark and flower of Rehd. et Wils. Distillation extraction and steam distillation were used to extract EOs from the bark and flower. The results showed that the contents of EOs of SDE-F and SDE-B were much higher than that of SD-F and SD-B. EOs from the bark were rich in eudesmol (especially α-eudesmol) and exhibited a stronger antioxidant effect than the flower. The anti-tumor effects of SD-B and SD-F on HepG2 and MDA-MB-231 cells were better than that of SDE-B and SDE-F. The inhibitory rates of SD-B and SD-F on MDA-MB-231 cells were 59.21% and 48.27%, exceeding that of positive control 5-fluorouracil (47.04%) at 50 μg/mL. All four EOs exhibited excellent anti-inflammatory activities through the regulation of nitric oxide production and pro-inflammation cytokines in LPS-induced RAW 264.7 cells and they also remarkably suppressed the mRNA expressions of nitric oxide synthase, IL-6 and TNF-α at the concentration higher than that of positive control dexamethasone. These results indicated significant differences in the composition, and anti-inflammatory and anti-tumor activities of EOs extracted by different methods and provided a theoretical basis for their development and utilization.

摘要

本研究旨在比较川滇绣线菊树皮和花朵精油的抗氧化、抗肿瘤及抗炎作用。采用同时蒸馏萃取法(SDE)和水蒸气蒸馏法(SD)从树皮和花朵中提取精油。结果表明,SDE法提取的花朵精油(SDE-F)和树皮精油(SDE-B)的含量远高于SD法提取的花朵精油(SD-F)和树皮精油(SD-B)。树皮精油富含桉叶醇(尤其是α-桉叶醇),其抗氧化作用强于花朵精油。SD法提取的树皮精油(SD-B)和花朵精油(SD-F)对肝癌细胞HepG2和乳腺癌细胞MDA-MB-231的抗肿瘤效果优于SDE法提取的树皮精油(SDE-B)和花朵精油(SDE-F)。SD-B和SD-F对MDA-MB-231细胞的抑制率分别为59.21%和48.27%,在50 μg/mL时超过阳性对照5-氟尿嘧啶(47.04%)。四种精油均通过调节脂多糖(LPS)诱导的RAW 264.7细胞中一氧化氮的产生和促炎细胞因子,表现出优异的抗炎活性,并且在高于阳性对照地塞米松的浓度下,它们还显著抑制一氧化氮合酶、白细胞介素-6和肿瘤坏死因子-α的mRNA表达。这些结果表明,不同方法提取的精油在成分、抗炎和抗肿瘤活性方面存在显著差异,为其开发利用提供了理论依据。

https://cdn.ncbi.nlm.nih.gov/pmc/blobs/d35c/11241728/1abaa930884c/foods-13-02074-g006.jpg
https://cdn.ncbi.nlm.nih.gov/pmc/blobs/d35c/11241728/d4ef794c4b8b/foods-13-02074-g001.jpg
https://cdn.ncbi.nlm.nih.gov/pmc/blobs/d35c/11241728/08dc43059d43/foods-13-02074-g002.jpg
https://cdn.ncbi.nlm.nih.gov/pmc/blobs/d35c/11241728/6e455c56ef22/foods-13-02074-g003.jpg
https://cdn.ncbi.nlm.nih.gov/pmc/blobs/d35c/11241728/79311a157896/foods-13-02074-g004.jpg
https://cdn.ncbi.nlm.nih.gov/pmc/blobs/d35c/11241728/3bc1b89b5c84/foods-13-02074-g005.jpg
https://cdn.ncbi.nlm.nih.gov/pmc/blobs/d35c/11241728/1abaa930884c/foods-13-02074-g006.jpg
https://cdn.ncbi.nlm.nih.gov/pmc/blobs/d35c/11241728/d4ef794c4b8b/foods-13-02074-g001.jpg
https://cdn.ncbi.nlm.nih.gov/pmc/blobs/d35c/11241728/08dc43059d43/foods-13-02074-g002.jpg
https://cdn.ncbi.nlm.nih.gov/pmc/blobs/d35c/11241728/6e455c56ef22/foods-13-02074-g003.jpg
https://cdn.ncbi.nlm.nih.gov/pmc/blobs/d35c/11241728/79311a157896/foods-13-02074-g004.jpg
https://cdn.ncbi.nlm.nih.gov/pmc/blobs/d35c/11241728/3bc1b89b5c84/foods-13-02074-g005.jpg
https://cdn.ncbi.nlm.nih.gov/pmc/blobs/d35c/11241728/1abaa930884c/foods-13-02074-g006.jpg

相似文献

1
Comparative Anti-Cancer and Anti-Inflammatory Activities of Essential Oils from the Bark and Flower of Rehd. et Wils.川滇绣线菊树皮和花中挥发油的抗癌与抗炎活性比较
Foods. 2024 Jun 29;13(13):2074. doi: 10.3390/foods13132074.
2
Effectiveness of the fruit of Rosa odorata sweet var. gigantea (Coll. et Hemsl.) Rehd. et Wils in the protection and the healing of ethanol-induced rat gastric mucosa ulcer based on Nrf2/NF-κB pathway regulation.基于 Nrf2/NF-κB 通路调控的华西蔷薇巨花变种(Coll. et Hemsl.)Rehd. et Wils 果实对乙醇诱导的大鼠胃黏膜溃疡的保护和愈合作用。
J Ethnopharmacol. 2022 Jan 10;282:114626. doi: 10.1016/j.jep.2021.114626. Epub 2021 Sep 10.
3
[A study on bark quality of Magnolia officinalis Rehd. et Wils].[厚朴树皮质量的研究]
Zhongguo Zhong Yao Za Zhi. 2000 Aug;25(8):466-9.
4
Identification of Magnolia officinalis L. bark extract as the most potent anti-inflammatory of four plant extracts.鉴定出厚朴树皮提取物是四种植物提取物中最有效的抗炎成分。
Am J Chin Med. 2013;41(3):531-44. doi: 10.1142/S0192415X13500389.
5
Contribution of Constituents in Rosemary-Magnolia Compound Essential Oil to Antibacterial, Antioxidant and Cytotoxicity Bioactivities Revealed by Grey Correlation Analysis.灰关联分析揭示迷迭香-厚朴复方精油成分对抑菌、抗氧化和细胞毒性生物活性的贡献。
Chem Biodivers. 2023 May;20(5):e202201179. doi: 10.1002/cbdv.202201179. Epub 2023 May 2.
6
Gastroprotective Effect of Ethanol Extracts from Bark of Magnolia officinalis on Ethanol-Induced Gastric Mucosal Damage in Rats.厚朴树皮乙醇提取物对乙醇诱导的大鼠胃黏膜损伤的胃保护作用。
Biomed Res Int. 2021 May 31;2021:6688414. doi: 10.1155/2021/6688414. eCollection 2021.
7
Chemical composition, antioxidant, and antimicrobial activities of P. roxburghii oleoresin essential oils extracted by steam distillation, superheated steam, and supercritical fluid CO extraction.水蒸气蒸馏法、过热蒸汽法和超临界 CO2 萃取法提取的罗勒籽油的化学成分、抗氧化和抗菌活性。
J Food Sci. 2023 Jun;88(6):2425-2438. doi: 10.1111/1750-3841.16597. Epub 2023 May 18.
8
Application of Multiple-Source Data Fusion for the Discrimination of Two Botanical Origins of Magnolia Officinalis Cortex Based on E-Nose Measurements, E-Tongue Measurements, and Chemical Analysis.基于电子鼻、电子舌测量和化学分析的多源数据融合在厚朴两种植物来源鉴别中的应用。
Molecules. 2022 Jun 17;27(12):3892. doi: 10.3390/molecules27123892.
9
[Quantitative analysis of magnolol and honokiol in the bark of Magnolia officinalis Rehd et Wils and Magnolia rostrata WW Smith].[厚朴和长喙厚朴树皮中厚朴酚与和厚朴酚的定量分析]
Yao Xue Xue Bao. 1982 May;17(5):360-4.
10
[A study of the quality of Fujian native Magnolia officinalis Rehd. et Wils. var. biloba Rehd. et Wils].[福建厚朴(凹叶厚朴)质量研究]
Zhongguo Zhong Yao Za Zhi. 1989 Jul;14(7):399-401, 446.

引用本文的文献

1
MaxEnt-based evaluation of climate change effects on the habitat suitability of in China.基于最大熵模型的气候变化对中国[物种名称缺失]栖息地适宜性影响的评估。
Front Plant Sci. 2025 Jul 8;16:1601585. doi: 10.3389/fpls.2025.1601585. eCollection 2025.

本文引用的文献

1
Antitumor Potential of Essential Oil in Breast Tumor-Bearing Mice.精油对荷乳腺肿瘤小鼠的抗肿瘤潜力
Antioxidants (Basel). 2021 May 30;10(6):875. doi: 10.3390/antiox10060875.
2
Antitumor effect of Melaleuca alternifolia essential oil and its main component terpinen-4-ol in combination with target therapy in melanoma models.互叶白千层精油及其主要成分萜品-4-醇在黑色素瘤模型中与靶向治疗联合应用的抗肿瘤作用
Cell Death Discov. 2021 May 31;7(1):127. doi: 10.1038/s41420-021-00510-3.
3
Three chemotypes of thyme (Thymus vulgaris L.) essential oil and their main compounds affect differently the IL-6 and TNFα cytokine secretions of BV-2 microglia by modulating the NF-κB and C/EBPβ signalling pathways.
三种百里香(Thymus vulgaris L.)精油化学型及其主要化合物通过调节 NF-κB 和 C/EBPβ 信号通路,不同程度地影响 BV-2 小胶质细胞中 IL-6 和 TNFα 细胞因子的分泌。
BMC Complement Med Ther. 2021 May 22;21(1):148. doi: 10.1186/s12906-021-03319-w.
4
Contradictory regulation of macrophages on atherosclerosis based on polarization, death and autophagy.基于极化、死亡和自噬的巨噬细胞对动脉粥样硬化的矛盾调节。
Life Sci. 2021 Jul 1;276:118957. doi: 10.1016/j.lfs.2020.118957. Epub 2021 Jan 30.
5
Chemical Composition and Bioactivity of Essential Oil of Ten Species.十种植物精油的化学成分及生物活性
Molecules. 2020 Oct 21;25(20):4862. doi: 10.3390/molecules25204862.
6
Anti-Inflammatory Property of the Essential Oil from (Linn.) Presl Leaves and the Evaluation of Its Underlying Mechanism by Using Metabolomics Analysis.(Linn.)Presl 叶精油的抗炎作用及其代谢组学分析评价其潜在机制。
Molecules. 2020 Oct 19;25(20):4796. doi: 10.3390/molecules25204796.
7
Evaluation of anticancer activity of honokiol by complexation with hydroxypropyl-β-cyclodextrin.羟丙基-β-环糊精包合厚朴酚的抗癌活性评价。
Colloids Surf B Biointerfaces. 2020 Dec;196:111298. doi: 10.1016/j.colsurfb.2020.111298. Epub 2020 Jul 31.
8
Role of 5-HT1A Receptor in the Anxiolytic-Relaxant Effects of Bergamot Essential Oil in Rodent.5-HT1A 受体在香柠檬精油的抗焦虑-松弛作用中的作用。
Int J Mol Sci. 2020 Apr 9;21(7):2597. doi: 10.3390/ijms21072597.
9
Natural Compounds with Potential to Modulate Cancer Therapies and Self-Reactive Immune Cells.具有调节癌症治疗和自身反应性免疫细胞潜力的天然化合物。
Cancers (Basel). 2020 Mar 13;12(3):673. doi: 10.3390/cancers12030673.
10
Chitosan nanoparticles loaded with clove essential oil: Characterization, antioxidant and antibacterial activities.壳聚糖纳米载丁香精油:特性、抗氧化和抗菌活性。
Carbohydr Polym. 2020 May 15;236:116075. doi: 10.1016/j.carbpol.2020.116075. Epub 2020 Feb 26.