• 文献检索
  • 文档翻译
  • 深度研究
  • 学术资讯
  • Suppr Zotero 插件Zotero 插件
  • 邀请有礼
  • 套餐&价格
  • 历史记录
应用&插件
Suppr Zotero 插件Zotero 插件浏览器插件Mac 客户端Windows 客户端微信小程序
定价
高级版会员购买积分包购买API积分包
服务
文献检索文档翻译深度研究API 文档MCP 服务
关于我们
关于 Suppr公司介绍联系我们用户协议隐私条款
关注我们

Suppr 超能文献

核心技术专利:CN118964589B侵权必究
粤ICP备2023148730 号-1Suppr @ 2026

文献检索

告别复杂PubMed语法,用中文像聊天一样搜索,搜遍4000万医学文献。AI智能推荐,让科研检索更轻松。

立即免费搜索

文件翻译

保留排版,准确专业,支持PDF/Word/PPT等文件格式,支持 12+语言互译。

免费翻译文档

深度研究

AI帮你快速写综述,25分钟生成高质量综述,智能提取关键信息,辅助科研写作。

立即免费体验

吸入性糖皮质激素剂量与不良事件发生频率的关联

Association of Dose of Inhaled Corticosteroids and Frequency of Adverse Events.

作者信息

Bloom Chloë I, Yang Freda, Hubbard Richard, Majeed Azeem, Wedzicha Jadwiga A

机构信息

Imperial College London, National Heart and Lung Institute, London, United Kingdom of Great Britain and Northern Ireland;

Imperial College London, National Heart and Lung Institute, London, United Kingdom of Great Britain and Northern Ireland.

出版信息

Am J Respir Crit Care Med. 2024 Aug 1;211(1):54-63. doi: 10.1164/rccm.202402-0368OC.

DOI:10.1164/rccm.202402-0368OC
PMID:39088770
原文链接:https://pmc.ncbi.nlm.nih.gov/articles/PMC11755354/
Abstract

BACKGROUND

Inhaled corticosteroids (ICS) are the cornerstone of asthma treatment and significantly improve morbidity and mortality. Adverse effects of oral corticosteroids are well documented, but less is known about ICS.

METHODS

We conducted observational studies in adults with asthma using two different UK nationwide datasets: Clinical Practice Research Datalink (CPRD) Aurum and CPRD GOLD. The exposure was incident ICS; the outcomes were major adverse cardiac events (MACE), arrhythmia, pulmonary embolism (PE) and pneumonia over 12-months. Our main analyses used a cohort method with stabilized inverse probability treatment weighting to balance confounding between exposed and unexposed patients. Secondary analyses included nested case-control studies, and self-controlled case series. ICS was treated both as a categorical and continuous variable. Absolute risk was estimated using weighted flexible parametric models.

FINDINGS

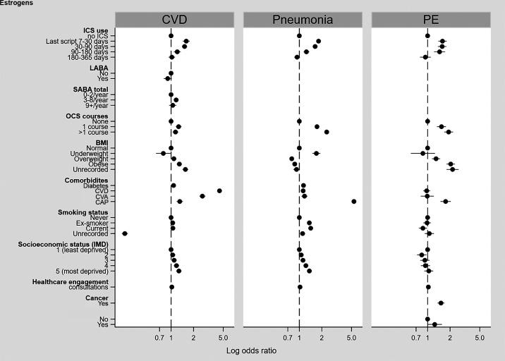
From 162,202 patients in our main cohort, there was an association with all outcomes at medium daily ICS dose or higher (HR, 95%CI at 201-599mcg: MACE=2.63, 1.66-4.15, arrhythmia=2.21, 1.60-3.04, PE=2.10, 1.37-3.22, pneumonia=2.25, 1.77-2.85; at ≥600mcg: MACE=4.63, 2.62-8.17, arrhythmia=2.91, 1.72-4.91, PE=3.32, 1.69-6.50, pneumonia=4.09, 2.98-5.60). There were no associations with lower doses of ICS. Secondary analyses produced similar results. The number needed to harm (95%CI) using 12-months of ICS 201-599mcg: MACE=473 (344-754), arrhythmia=567 (395-1006), PE=1221 (744-3388) and pneumonia=230 (177-327) and using ICS ≥600mcg: MACE=224 (148-461), arrhythmia=396 (228-1523), PE=577 (309-4311), pneumonia=93 (69-141).

INTERPRETATION

Short-term use of low dose ICS was not associated with adverse effects. Moderate-high daily ICS doses were associated with an increased risk, but low-frequency, of cardiovascular events, pulmonary embolism and pneumonia. It is important for clinicians to adhere to guideline recommendations to use the lowest effective ICS dose. This article is open access and distributed under the terms of the Creative Commons Attribution 4.0 International License (https://creativecommons.org/licenses/by/4.0/).

摘要

背景

吸入性糖皮质激素(ICS)是哮喘治疗的基石,可显著改善发病率和死亡率。口服糖皮质激素的不良反应已有充分记录,但关于ICS的了解较少。

方法

我们使用英国两个不同的全国性数据集对成年哮喘患者进行了观察性研究:临床实践研究数据链(CPRD)金数据和CPRD奥鲁姆数据。暴露因素为新发ICS治疗;观察结局为12个月内的主要不良心脏事件(MACE)、心律失常、肺栓塞(PE)和肺炎。我们的主要分析采用队列法,并使用稳定的逆概率治疗权重来平衡暴露组和未暴露组患者之间的混杂因素。二次分析包括巢式病例对照研究和自我对照病例系列。ICS被视为分类变量和连续变量。使用加权灵活参数模型估计绝对风险。

结果

在我们的主要队列中的162,202名患者中,中等每日ICS剂量及以上与所有结局均存在关联(HR,201 - 599mcg时的95%CI:MACE = 2.63,1.66 - 4.15;心律失常 = 2.21,1.60 - 3.04;PE = 2.10,1.37 - 3.22;肺炎 = 2.25,1.77 - 2.85;≥600mcg时:MACE = 4.63,2.62 - 8.17;心律失常 = 2.91,1.72 - 4.91;PE = 3.32,1.69 - 6.50;肺炎 = 4.09,2.98 - 5.60)。较低剂量的ICS未显示出关联。二次分析得出了类似的结果。使用12个月的201 - 599mcg ICS导致伤害的人数(95%CI):MACE = 473(344 - 754),心律失常 = 567(395 - 1006),PE = 1221(744 - 3388),肺炎 = 230(177 - 327);使用≥600mcg ICS时:MACE = 224(148 - 461),心律失常 = 39

https://cdn.ncbi.nlm.nih.gov/pmc/blobs/c8a3/11755354/3d4f561104e8/rccm.202402-0368OCf5.jpg
https://cdn.ncbi.nlm.nih.gov/pmc/blobs/c8a3/11755354/c420385cfd17/rccm.202402-0368OCf1.jpg
https://cdn.ncbi.nlm.nih.gov/pmc/blobs/c8a3/11755354/376c3a5fef26/rccm.202402-0368OCf2.jpg
https://cdn.ncbi.nlm.nih.gov/pmc/blobs/c8a3/11755354/9d516f9d0c1c/rccm.202402-0368OCf3.jpg
https://cdn.ncbi.nlm.nih.gov/pmc/blobs/c8a3/11755354/74039c4d049b/rccm.202402-0368OCf4.jpg
https://cdn.ncbi.nlm.nih.gov/pmc/blobs/c8a3/11755354/3d4f561104e8/rccm.202402-0368OCf5.jpg
https://cdn.ncbi.nlm.nih.gov/pmc/blobs/c8a3/11755354/c420385cfd17/rccm.202402-0368OCf1.jpg
https://cdn.ncbi.nlm.nih.gov/pmc/blobs/c8a3/11755354/376c3a5fef26/rccm.202402-0368OCf2.jpg
https://cdn.ncbi.nlm.nih.gov/pmc/blobs/c8a3/11755354/9d516f9d0c1c/rccm.202402-0368OCf3.jpg
https://cdn.ncbi.nlm.nih.gov/pmc/blobs/c8a3/11755354/74039c4d049b/rccm.202402-0368OCf4.jpg
https://cdn.ncbi.nlm.nih.gov/pmc/blobs/c8a3/11755354/3d4f561104e8/rccm.202402-0368OCf5.jpg

相似文献

1
Association of Dose of Inhaled Corticosteroids and Frequency of Adverse Events.吸入性糖皮质激素剂量与不良事件发生频率的关联
Am J Respir Crit Care Med. 2024 Aug 1;211(1):54-63. doi: 10.1164/rccm.202402-0368OC.
2
Association between Inhaled β-agonists Initiation and Risk of Major Adverse Cardiovascular Events: A Population-based Nested Case-Control Study.吸入β-激动剂与主要不良心血管事件风险的关联:基于人群的巢式病例对照研究。
Int J Chron Obstruct Pulmon Dis. 2022 May 20;17:1205-1217. doi: 10.2147/COPD.S358927. eCollection 2022.
3
Combination formoterol and budesonide as maintenance and reliever therapy versus current best practice (including inhaled steroid maintenance), for chronic asthma in adults and children.福莫特罗与布地奈德联合用于成人和儿童慢性哮喘的维持和缓解治疗与当前最佳实践(包括吸入性糖皮质激素维持治疗)的对比研究
Cochrane Database Syst Rev. 2013 Apr 30;2013(4):CD007313. doi: 10.1002/14651858.CD007313.pub3.
4
Inhaled corticosteroids in children with persistent asthma: effects on growth.吸入性糖皮质激素对持续性哮喘儿童生长发育的影响
Evid Based Child Health. 2014 Dec;9(4):829-930. doi: 10.1002/ebch.1988.
5
Addition of anti-leukotriene agents to inhaled corticosteroids for adults and adolescents with persistent asthma.对于患有持续性哮喘的成人和青少年,在吸入性糖皮质激素中添加抗白三烯药物。
Cochrane Database Syst Rev. 2017 Mar 16;3(3):CD010347. doi: 10.1002/14651858.CD010347.pub2.
6
Addition of long-acting beta2-agonists to inhaled steroids versus higher dose inhaled steroids in adults and children with persistent asthma.在患有持续性哮喘的成人和儿童中,长效β2受体激动剂与高剂量吸入性类固醇联合使用与单纯使用高剂量吸入性类固醇的比较。
Cochrane Database Syst Rev. 2010 Apr 14(4):CD005533. doi: 10.1002/14651858.CD005533.pub2.
7
Inhaled corticosteroids in children with persistent asthma: dose-response effects on growth.持续性哮喘儿童吸入糖皮质激素:对生长的剂量反应效应
Evid Based Child Health. 2014 Dec;9(4):931-1046. doi: 10.1002/ebch.1989.
8
[Guidelines for the prevention and management of bronchial asthma (2024 edition)].[支气管哮喘防治指南(2024年版)]
Zhonghua Jie He He Hu Xi Za Zhi. 2025 Mar 12;48(3):208-248. doi: 10.3760/cma.j.cn112147-20241013-00601.
9
Combination fixed-dose beta agonist and steroid inhaler as required for adults or children with mild asthma.按需使用固定剂量β激动剂和类固醇吸入剂治疗轻度哮喘的成人或儿童。
Cochrane Database Syst Rev. 2021 May 4;5(5):CD013518. doi: 10.1002/14651858.CD013518.pub2.
10
Regular treatment with salmeterol and inhaled steroids for chronic asthma: serious adverse events.沙美特罗和吸入性类固醇用于慢性哮喘的常规治疗:严重不良事件
Cochrane Database Syst Rev. 2013 Mar 28(3):CD006922. doi: 10.1002/14651858.CD006922.pub3.

引用本文的文献

1
The Impact of Inhaled Corticosteroids on Lung Inflammation and Clinical Outcomes in Children with Oropharyngeal Dysphagia.吸入性糖皮质激素对口咽吞咽困难儿童肺部炎症及临床结局的影响
J Pediatr. 2025 Aug 7;287:114764. doi: 10.1016/j.jpeds.2025.114764.
2
Prevalence, Change and Burden of Systemic Corticosteroid Use in Type 2 Inflammation Associated Diseases Over 25 Years - A Nationwide Danish Study.25年间2型炎症相关疾病中全身使用皮质类固醇的患病率、变化及负担——一项丹麦全国性研究
J Asthma Allergy. 2025 Jun 6;18:967-981. doi: 10.2147/JAA.S525508. eCollection 2025.
3
Using OpenPrescribing.net to evaluate neighbourhood-level prescribing of inhalers for asthma and COPD.

本文引用的文献

1
Reduction of daily maintenance inhaled corticosteroids in patients with severe eosinophilic asthma treated with benralizumab (SHAMAL): a randomised, multicentre, open-label, phase 4 study.贝那鲁肽治疗重度嗜酸性粒细胞性哮喘患者的每日维持吸入性皮质类固醇的降低(SHAMAL):一项随机、多中心、开放性、4 期研究。
Lancet. 2024 Jan 20;403(10423):271-281. doi: 10.1016/S0140-6736(23)02284-5. Epub 2023 Dec 7.
2
Asthma and incident coronary heart disease: an observational and Mendelian randomisation study.哮喘与冠心病事件的相关性:一项观察性和孟德尔随机化研究。
Eur Respir J. 2023 Nov 29;62(5). doi: 10.1183/13993003.01788-2023. Print 2023 Nov.
3
使用OpenPrescribing.net评估社区层面哮喘和慢性阻塞性肺疾病吸入器的处方情况。
Sci Rep. 2025 May 24;15(1):18089. doi: 10.1038/s41598-025-02969-x.
4
Supratherapeutic Inhaled Corticosteroid Use in Patients Initiating on Biologic Therapies for Severe Asthma: A Nationwide Cohort Study.在开始接受生物疗法治疗重度哮喘的患者中使用超治疗剂量吸入性糖皮质激素:一项全国性队列研究。
Lung. 2025 Mar 11;203(1):42. doi: 10.1007/s00408-025-00796-5.
5
International Severe Asthma Registry (ISAR): 2017-2024 Status and Progress Update.国际重症哮喘注册研究(ISAR):2017 - 2024年现状与进展更新
Tuberc Respir Dis (Seoul). 2025 Apr;88(2):193-215. doi: 10.4046/trd.2024.0198. Epub 2025 Feb 6.
6
Qualitative study of patients experiences and perceptions of stepping down asthma medication in primary care across England.对英格兰初级医疗中哮喘药物减量患者经历与认知的定性研究。
BMJ Open Respir Res. 2025 Feb 3;12(1):e002898. doi: 10.1136/bmjresp-2024-002898.
7
Reply to Chung and to Rogliani and Calzetta.对钟以及罗利亚尼和卡尔泽塔的回复。
Am J Respir Crit Care Med. 2025 Feb;211(2):293-294. doi: 10.1164/rccm.202409-1744LE.
8
Pre-biologic disease trajectories are associated with morbidity burden and biologic treatment response in severe asthma.生物制剂治疗前的疾病轨迹与重度哮喘的发病负担及生物制剂治疗反应相关。
Eur Respir J. 2025 Apr 3;65(4). doi: 10.1183/13993003.01497-2024. Print 2025 Apr.
9
Dangers of under-treatment and over-treatment with inhaled corticosteroids in children with asthma.哮喘患儿吸入性糖皮质激素治疗不足与治疗过度的风险
Pediatr Pulmonol. 2025 Jan;60(1):e27327. doi: 10.1002/ppul.27327. Epub 2024 Nov 8.
10
Dose of Inhaled Corticosteroids and Cardiovascular Disease in Asthma: An Unexpected Misstep?吸入性糖皮质激素剂量与哮喘患者的心血管疾病:一次意外的失误?
Am J Respir Crit Care Med. 2025 Feb;211(2):292-293. doi: 10.1164/rccm.202409-1788LE.
The Effect of Inhaled Corticosteroids on Pneumonia Risk in Patients With COPD-Bronchiectasis Overlap: A UK Population-Based Case-Control Study.
吸入性皮质类固醇对 COPD-支气管扩张症重叠患者肺炎风险的影响:一项基于英国人群的病例对照研究。
Chest. 2023 Oct;164(4):875-884. doi: 10.1016/j.chest.2023.06.007. Epub 2023 Jun 17.
4
Asthma.哮喘
Lancet. 2023 Mar 11;401(10379):858-873. doi: 10.1016/S0140-6736(22)02125-0. Epub 2023 Jan 19.
5
Bronchial asthma and risk of 4 specific cardiovascular diseases and cardiovascular mortality: a meta-analysis of cohort studies.支气管哮喘与 4 种特定心血管疾病及心血管死亡率的关系:队列研究的荟萃分析。
Eur Rev Med Pharmacol Sci. 2022 Jul;26(14):5081-5091. doi: 10.26355/eurrev_202207_29294.
6
Potential Drawbacks of ICS/LABA/LAMA Triple Fixed-Dose Combination Therapy in the Treatment of Asthma: A Quantitative Synthesis of Safety Profile.吸入性糖皮质激素/长效β2受体激动剂/长效M受体拮抗剂三联固定剂量联合疗法治疗哮喘的潜在缺点:安全性概况的定量综合分析
J Asthma Allergy. 2022 May 6;15:565-577. doi: 10.2147/JAA.S283489. eCollection 2022.
7
Chronic obstructive pulmonary disease.慢性阻塞性肺疾病。
Lancet. 2022 Jun 11;399(10342):2227-2242. doi: 10.1016/S0140-6736(22)00470-6. Epub 2022 May 6.
8
Metabolomic profiling reveals extensive adrenal suppression due to inhaled corticosteroid therapy in asthma.代谢组学分析揭示了吸入性皮质类固醇治疗哮喘导致的广泛肾上腺抑制。
Nat Med. 2022 Apr;28(4):814-822. doi: 10.1038/s41591-022-01714-5. Epub 2022 Mar 21.
9
Glucocorticoids and Risk of Venous Thromboembolism in Asthma Patients Aged 20-59 Years in the United Kingdom's CPRD 1995-2015.1995 - 2015年英国临床实践研究数据链中20 - 59岁哮喘患者使用糖皮质激素与静脉血栓栓塞风险
Clin Epidemiol. 2022 Jan 20;14:83-93. doi: 10.2147/CLEP.S341048. eCollection 2022.
10
Systemic adverse effects from inhaled corticosteroid use in asthma: a systematic review.哮喘患者吸入皮质类固醇的全身不良反应:系统评价。
BMJ Open Respir Res. 2020 Dec;7(1). doi: 10.1136/bmjresp-2020-000756.