Suppr超能文献

通过细粒度选择和双向随机游走方法进行药物-靶标相互作用预测。

Drug-target interaction prediction through fine-grained selection and bidirectional random walk methodology.

机构信息

School of Mathematics, Physics and Statistics, Institute for Frontier Medical Technology, Center of Intelligent Computing and Applied Statistics, Shanghai University of Engineering Science, Shanghai, 201620, China.

出版信息

Sci Rep. 2024 Aug 5;14(1):18104. doi: 10.1038/s41598-024-69186-w.

Abstract

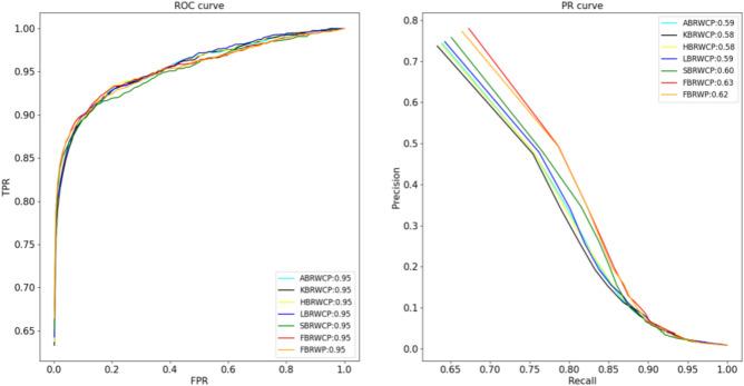
The study of drug-target interaction plays an important role in the process of drug development. The subject of DTI forecasting has advanced significantly in the last several years, yielding numerous significant research findings and methodologies. Heterogeneous data sources provide richer information and comprehensive perspectives for drug-target interaction prediction, so many existing methods rely on heterogeneous networks, and graph embedding technology becomes an important technology to extract information from heterogeneous networks. These approaches, however, are less concerned with potential noisy information in heterogeneous networks and more focused on the extent of information extraction in those networks. Based on this, a potential DTI predictive network model called FBRWPC is proposed in this paper. It uses a fine-grained similarity selection program to first integrate similarity on similar networks and then a bidirectional random walk graph embedding learning method with restart to obtain an updated drug target interaction matrix. Through the use of similarity selection and fine-grained selection similarity integration, the framework can effectively filter out the noise present in heterogeneous networks and enhance the model's prediction performance. The experimental findings demonstrate that, even after being split up into four distinct types of data sets, FBRWPC can still retain great prediction performance, a sign of the model's resilience and good generalization.

摘要

药物-靶标相互作用的研究在药物开发过程中起着重要作用。在过去的几年中,DTI 预测这一主题已经取得了重大进展,产生了许多重要的研究成果和方法。异质数据源为药物-靶标相互作用预测提供了更丰富的信息和更全面的视角,因此许多现有方法依赖于异质网络,而图嵌入技术成为从异质网络中提取信息的重要技术。然而,这些方法较少关注异质网络中潜在的噪声信息,而更多地关注网络中信息的提取程度。基于此,本文提出了一种名为 FBRWPC 的潜在 DTI 预测网络模型。它使用细粒度相似性选择程序首先在相似网络上集成相似性,然后使用带有重启的双向随机游走图嵌入学习方法来获得更新的药物-靶标相互作用矩阵。通过使用相似性选择和细粒度选择相似性集成,该框架可以有效地过滤异质网络中的噪声,并提高模型的预测性能。实验结果表明,即使将数据分成四个不同类型的数据集,FBRWPC 仍然可以保持很好的预测性能,这表明该模型具有很强的弹性和良好的泛化能力。

https://cdn.ncbi.nlm.nih.gov/pmc/blobs/1eca/11300600/5ec99446b8f9/41598_2024_69186_Fig1_HTML.jpg

文献检索

告别复杂PubMed语法,用中文像聊天一样搜索,搜遍4000万医学文献。AI智能推荐,让科研检索更轻松。

立即免费搜索

文件翻译

保留排版,准确专业,支持PDF/Word/PPT等文件格式,支持 12+语言互译。

免费翻译文档

深度研究

AI帮你快速写综述,25分钟生成高质量综述,智能提取关键信息,辅助科研写作。

立即免费体验