• 文献检索
  • 文档翻译
  • 深度研究
  • 学术资讯
  • Suppr Zotero 插件Zotero 插件
  • 邀请有礼
  • 套餐&价格
  • 历史记录
应用&插件
Suppr Zotero 插件Zotero 插件浏览器插件Mac 客户端Windows 客户端微信小程序
定价
高级版会员购买积分包购买API积分包
服务
文献检索文档翻译深度研究API 文档MCP 服务
关于我们
关于 Suppr公司介绍联系我们用户协议隐私条款
关注我们

Suppr 超能文献

核心技术专利:CN118964589B侵权必究
粤ICP备2023148730 号-1Suppr @ 2026

文献检索

告别复杂PubMed语法,用中文像聊天一样搜索,搜遍4000万医学文献。AI智能推荐,让科研检索更轻松。

立即免费搜索

文件翻译

保留排版,准确专业,支持PDF/Word/PPT等文件格式,支持 12+语言互译。

免费翻译文档

深度研究

AI帮你快速写综述,25分钟生成高质量综述,智能提取关键信息,辅助科研写作。

立即免费体验

血清尿酸水平与牙周炎的关系:一项横断面研究。

Relationship between serum uric acid levels and periodontitis-A cross-sectional study.

机构信息

Department of Periodontics, Guiyang Stomatological Hospital, Guiyang, Guizhou, China.

School of Stomatology, Zunyi Medical University, Zunyi, Guizhou, China.

出版信息

PLoS One. 2024 Sep 27;19(9):e0310243. doi: 10.1371/journal.pone.0310243. eCollection 2024.

DOI:10.1371/journal.pone.0310243
PMID:39331593
原文链接:https://pmc.ncbi.nlm.nih.gov/articles/PMC11432880/
Abstract

OBJECTIVES

Whether there is an association between serum uric acid level (sUA) and periodontitis remains unclear. The aim of this study was to investigate the association between moderate/severe periodontitis and sUA in US adults.

MATERIALS AND METHODS

A total of 3398 participants were included in the National Health and Nutrition Examination Survey (NHANES) from 2009 to 2014. The independent variable was sUA and the dependent variable was periodontitis. SUA for continuous variables, periodontitis as classification variables. Covariate including social demographic variables, life style, systemic diseases, etc. Multiple linear regression models were used to investigate the distribution of differences in covariates between different independent groups. To investigate the association between serum uric acid levels and moderate/severe periodontitis, three models were used (Model 1: unadjusted model; Model 2: adjusted for age, sex, and race/ethnicity; Model 3: adjusted for age, sex, race/ethnicity, education, household income/poverty ratio, smoking behavior, alcohol consumption, dental floss frequency, obesity, hypertension, diabetes, high cholesterol, hyperlipidemia, and sleep disorders).

RESULTS

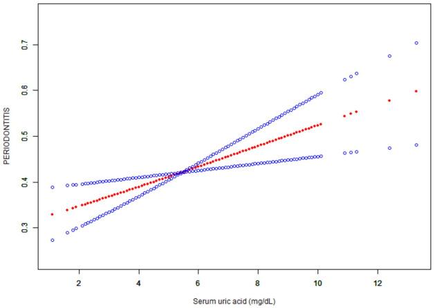
Among the 3398 patients, 42.5% had moderate/severe periodontitis. Multivariate logistic regression analysis showed that sUA was significantly associated with moderate/severe periodontitis (OR = 1.10, 95%CI: (1.03, 1.16), P = 0.0020) after adjusting for potential confounding factors. In addition, it may vary by race/ethnicity and gender. The association between sUA levels and the prevalence ofperiodontitis was U-shaped in women and non-Hispanic blacks.

CONCLUSION

sUA level is associated with moderate to severe periodontitis. However, the association between sUA levels and the occurrence of periodontitis in women and non-Hispanic blacks followed a U-shaped curve.

CLINICAL RELEVANCE

sUA may directly or indirectly contribute to the global burden of periodontal disease, but there is little evidence that sUA is directly related to periodontitis.This study further supports that high uric acid levels are closely related to periodontitis and may contribute to the control of periodontitis. It also provides new insights into whether it can be used as an indicator to assess the risk or progression of periodontitis. More studies are needed to confirm the relationship between sUA and periodontitis.

摘要

目的

血尿酸水平(sUA)与牙周炎之间是否存在关联尚不清楚。本研究旨在调查美国成年人中中重度牙周炎与 sUA 之间的关系。

材料与方法

共纳入 2009 年至 2014 年全国健康与营养调查(NHANES)中的 3398 名参与者。自变量为 sUA,因变量为牙周炎。SUA 为连续变量,牙周炎为分类变量。协变量包括社会人口统计学变量、生活方式、系统疾病等。采用多元线性回归模型来研究不同独立组之间协变量分布差异。为了研究血清尿酸水平与中重度牙周炎之间的关系,使用了三个模型(模型 1:未调整模型;模型 2:调整年龄、性别和种族/民族;模型 3:调整年龄、性别、种族/民族、教育程度、家庭收入/贫困率、吸烟行为、饮酒、牙线使用频率、肥胖、高血压、糖尿病、高胆固醇、高血脂、睡眠障碍)。

结果

在 3398 名患者中,42.5%患有中重度牙周炎。多变量逻辑回归分析显示,在校正潜在混杂因素后,sUA 与中重度牙周炎显著相关(OR=1.10,95%CI:(1.03,1.16),P=0.0020)。此外,这种关联可能因种族/民族和性别而异。在女性和非西班牙裔黑人中,sUA 水平与牙周炎患病率之间的关系呈 U 型。

结论

sUA 水平与中重度牙周炎有关。然而,女性和非西班牙裔黑人中 sUA 水平与牙周炎发生之间的关系呈 U 型。

临床意义

sUA 可能直接或间接导致牙周病的全球负担,但目前几乎没有证据表明 sUA 与牙周炎直接相关。本研究进一步支持高尿酸水平与牙周炎密切相关,并可能有助于控制牙周炎。这也为尿酸水平是否可以用作评估牙周炎风险或进展的指标提供了新的见解。需要更多的研究来证实 sUA 与牙周炎之间的关系。

https://cdn.ncbi.nlm.nih.gov/pmc/blobs/1c8d/11432880/5060e4d75de5/pone.0310243.g005.jpg
https://cdn.ncbi.nlm.nih.gov/pmc/blobs/1c8d/11432880/9afcdee24e2a/pone.0310243.g001.jpg
https://cdn.ncbi.nlm.nih.gov/pmc/blobs/1c8d/11432880/e55cf7a7587e/pone.0310243.g002.jpg
https://cdn.ncbi.nlm.nih.gov/pmc/blobs/1c8d/11432880/5a47b87d0886/pone.0310243.g003.jpg
https://cdn.ncbi.nlm.nih.gov/pmc/blobs/1c8d/11432880/d55cc185a125/pone.0310243.g004.jpg
https://cdn.ncbi.nlm.nih.gov/pmc/blobs/1c8d/11432880/5060e4d75de5/pone.0310243.g005.jpg
https://cdn.ncbi.nlm.nih.gov/pmc/blobs/1c8d/11432880/9afcdee24e2a/pone.0310243.g001.jpg
https://cdn.ncbi.nlm.nih.gov/pmc/blobs/1c8d/11432880/e55cf7a7587e/pone.0310243.g002.jpg
https://cdn.ncbi.nlm.nih.gov/pmc/blobs/1c8d/11432880/5a47b87d0886/pone.0310243.g003.jpg
https://cdn.ncbi.nlm.nih.gov/pmc/blobs/1c8d/11432880/d55cc185a125/pone.0310243.g004.jpg
https://cdn.ncbi.nlm.nih.gov/pmc/blobs/1c8d/11432880/5060e4d75de5/pone.0310243.g005.jpg

相似文献

1
Relationship between serum uric acid levels and periodontitis-A cross-sectional study.血清尿酸水平与牙周炎的关系:一项横断面研究。
PLoS One. 2024 Sep 27;19(9):e0310243. doi: 10.1371/journal.pone.0310243. eCollection 2024.
2
Association between serum uric acid, hyperuricemia and periodontitis: a cross-sectional study using NHANES data.血清尿酸、高尿酸血症与牙周炎的关系:基于 NHANES 数据的横断面研究。
BMC Oral Health. 2023 Aug 30;23(1):610. doi: 10.1186/s12903-023-03320-4.
3
Association of serum uric acid with hypertriglyceridemia in children and adolescents: a cross-sectional study.血清尿酸与儿童和青少年高三酰甘油血症的相关性:一项横断面研究。
Lipids Health Dis. 2024 Jun 24;23(1):195. doi: 10.1186/s12944-024-02182-1.
4
BMI mediates the association of serum uric acid with bone health: a cross-sectional study of the National Health and Nutrition Examination Survey (NHANES).BMI 介导了血清尿酸与骨骼健康的关联:一项对全国健康和营养调查(NHANES)的横断面研究。
BMC Musculoskelet Disord. 2024 Jun 19;25(1):482. doi: 10.1186/s12891-024-07595-8.
5
Association between the Weight-Adjusted Waist Index and Serum Uric Acid: A Cross-Sectional Study.体重调整腰围指数与血尿酸的相关性:一项横断面研究。
Int J Clin Pract. 2023 Jul 28;2023:8215866. doi: 10.1155/2023/8215866. eCollection 2023.
6
The association between serum uric acid and hypertriglyceridemia: evidence from the national health and nutrition examination survey (2007-2018).血清尿酸与高三酰甘油血症的关联:来自全国健康与营养调查(2007-2018 年)的证据。
Front Endocrinol (Lausanne). 2023 Jul 18;14:1215521. doi: 10.3389/fendo.2023.1215521. eCollection 2023.
7
[Association Between the Aggregate Index of Systemic Inflammation and Albuminuria: A Cross-Sectional Study of National Health and Nutrition Examination Survey 2007-2018].[全身炎症综合指数与蛋白尿之间的关联:2007 - 2018年美国国家健康与营养检查调查的横断面研究]
Sichuan Da Xue Xue Bao Yi Xue Ban. 2024 May 20;55(3):671-679. doi: 10.12182/20240560108.
8
Serum uric acid to creatinine ratio is associated with higher prevalence of NAFLD detected by FibroScan in the United States.血清尿酸与肌酐比值与美国通过 FibroScan 检测到的非酒精性脂肪性肝病的更高患病率相关。
J Clin Lab Anal. 2022 Aug;36(8):e24590. doi: 10.1002/jcla.24590. Epub 2022 Jul 8.
9
Association of serum uric acid with risk of stroke in US adults: A cross-sectional study from NHANES 1999-2020.血清尿酸与美国成年人中风风险的关联:来自 NHANES 1999-2020 的横断面研究。
J Stroke Cerebrovasc Dis. 2023 Aug;32(8):107206. doi: 10.1016/j.jstrokecerebrovasdis.2023.107206. Epub 2023 Jun 3.
10
Association between oxidative balance score and serum uric acid and hyperuricemia: a population-based study from the NHANES (2011-2018).氧化平衡评分与血清尿酸和高尿酸血症的关系:来自 NHANES(2011-2018 年)的一项基于人群的研究。
Front Endocrinol (Lausanne). 2024 Jun 20;15:1414075. doi: 10.3389/fendo.2024.1414075. eCollection 2024.

引用本文的文献

1
Unraveling the enigma of salivary uric acid in periodontitis: Independent association, mechanistic insights, and future trajectories.揭开牙周炎中唾液尿酸之谜:独立关联、机制洞察及未来方向。
World J Clin Cases. 2025 Sep 26;13(27):108117. doi: 10.12998/wjcc.v13.i27.108117.

本文引用的文献

1
The association between sex hormones and periodontitis among American adults: A cross-sectional study.美国成年人中性激素与牙周炎的关系:一项横断面研究。
Front Endocrinol (Lausanne). 2023 Feb 14;14:1125819. doi: 10.3389/fendo.2023.1125819. eCollection 2023.
2
Prevalence of periodontitis in dentate people between 2011 and 2020: A systematic review and meta-analysis of epidemiological studies.2011 年至 2020 年间有牙人群牙周炎的流行率:系统评价和流行病学研究的荟萃分析。
J Clin Periodontol. 2023 May;50(5):604-626. doi: 10.1111/jcpe.13769. Epub 2023 Jan 20.
3
Recent progress and perspectives on the relationship between hyperuricemia and periodontitis.
高尿酸血症与牙周炎关系的研究进展与展望。
Front Immunol. 2022 Nov 16;13:995582. doi: 10.3389/fimmu.2022.995582. eCollection 2022.
4
Racial and Sex Disparities in Gout Prevalence Among US Adults.美国成年人痛风患病率的种族和性别差异。
JAMA Netw Open. 2022 Aug 1;5(8):e2226804. doi: 10.1001/jamanetworkopen.2022.26804.
5
Lack of attention to sex and gender in periodontitis-related randomized clinical trials: A meta-research study.牙周炎相关随机临床试验中对性别关注的缺失:一项元研究。
J Clin Periodontol. 2022 Dec;49(12):1320-1333. doi: 10.1111/jcpe.13707. Epub 2022 Sep 4.
6
U-shaped association of uric acid to overall-cause mortality and its impact on clinical management of hyperuricemia.尿酸与全因死亡率的 U 型关联及其对高尿酸血症临床管理的影响。
Redox Biol. 2022 May;51:102271. doi: 10.1016/j.redox.2022.102271. Epub 2022 Feb 17.
7
Potential Microbiological Risk Factors Associated With Periodontitis and Periodontal Health Disparities.与牙周炎和牙周健康差异相关的潜在微生物学危险因素。
Front Cell Infect Microbiol. 2021 Nov 17;11:789919. doi: 10.3389/fcimb.2021.789919. eCollection 2021.
8
Associations between metabolic biomarkers and localized stage II/III periodontitis in young adults: The CHIEF Oral Health study.代谢生物标志物与年轻成年人局部 II/III 期牙周炎的相关性:CHIEF 口腔健康研究。
J Clin Periodontol. 2021 Dec;48(12):1549-1558. doi: 10.1111/jcpe.13555. Epub 2021 Oct 6.
9
Umami-induced obesity and metabolic syndrome is mediated by nucleotide degradation and uric acid generation.鲜味诱导的肥胖和代谢综合征是由核苷酸降解和尿酸生成介导的。
Nat Metab. 2021 Sep;3(9):1189-1201. doi: 10.1038/s42255-021-00454-z. Epub 2021 Sep 22.
10
Molecular Biological and Clinical Understanding of the Pathophysiology and Treatments of Hyperuricemia and Its Association with Metabolic Syndrome, Cardiovascular Diseases and Chronic Kidney Disease.高尿酸血症的病理生理学及治疗的分子生物学和临床认识及其与代谢综合征、心血管疾病和慢性肾脏病的关系。
Int J Mol Sci. 2021 Aug 26;22(17):9221. doi: 10.3390/ijms22179221.