• 文献检索
  • 文档翻译
  • 深度研究
  • 学术资讯
  • Suppr Zotero 插件Zotero 插件
  • 邀请有礼
  • 套餐&价格
  • 历史记录
应用&插件
Suppr Zotero 插件Zotero 插件浏览器插件Mac 客户端Windows 客户端微信小程序
定价
高级版会员购买积分包购买API积分包
服务
文献检索文档翻译深度研究API 文档MCP 服务
关于我们
关于 Suppr公司介绍联系我们用户协议隐私条款
关注我们

Suppr 超能文献

核心技术专利:CN118964589B侵权必究
粤ICP备2023148730 号-1Suppr @ 2026

文献检索

告别复杂PubMed语法,用中文像聊天一样搜索,搜遍4000万医学文献。AI智能推荐,让科研检索更轻松。

立即免费搜索

文件翻译

保留排版,准确专业,支持PDF/Word/PPT等文件格式,支持 12+语言互译。

免费翻译文档

深度研究

AI帮你快速写综述,25分钟生成高质量综述,智能提取关键信息,辅助科研写作。

立即免费体验

瞳孔测量揭示了在单词内和跨单词的音高操纵对听力努力和短期记忆的影响。

Pupillometry reveals effects of pitch manipulation within and across words on listening effort and short-term memory.

机构信息

McGill University, Montreal, Canada.

Colorado State University, Fort Collins, CO, USA.

出版信息

Sci Rep. 2024 Sep 30;14(1):22595. doi: 10.1038/s41598-024-73320-z.

DOI:10.1038/s41598-024-73320-z
PMID:39349635
原文链接:https://pmc.ncbi.nlm.nih.gov/articles/PMC11442447/
Abstract

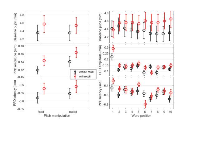
For individuals with hearing loss, even successful speech communication comes at a cost. Cochlear implants transmit degraded information, specifically for voice pitch, which demands extra and sustained listening effort. The current study hypothesized that abnormal pitch patterns contribute to the additional listening effort, even in non-tonal language native speaking normally hearing listeners. We manipulated the fundamental frequency (F0) within and across words, while participants listen and repeat (simple intelligibility task), or listen, repeat, and later recall (concurrent encoding task) the words. In both experiments, the F0 manipulations resulted in small changes in intelligibility but no difference in free recall or subjective effort ratings. Pupillary metrics were yet sensitive to these manipulations: pupil dilations were larger when words were monotonized (flat contour) or inverted (the natural contour flipped upside-down), and larger when successive words were organized into a melodic pattern. The most likely interpretation is that the natural or expected F0 contour of a word contributes to its identity and facilitate its matching and retrieval from the phonological representation stored in long-term memory. Consequently, degrading words' F0 contour can result in extra listening effort. Our results call for solutions to improve pitch saliency and naturalness in future development of cochlear implants' signal processing strategies, even for non-tonal languages.

摘要

对于听力损失的个体来说,即使成功地进行了言语交流,也需要付出代价。人工耳蜗植入物传输的信息质量较差,特别是在语音音高方面,这需要额外的、持续的听力努力。本研究假设,即使是在母语为非声调语言的正常听力者中,异常的音高模式也会导致额外的听力努力。我们在参与者听和重复(简单理解任务)或听、重复,然后回忆(同时编码任务)单词时,在词内和词间操纵基频(F0)。在这两个实验中,F0 操纵导致可理解性略有变化,但自由回忆或主观努力评分没有差异。瞳孔测量指标对这些操纵仍然敏感:当单词单调化(平坦轮廓)或倒置(自然轮廓颠倒)时,瞳孔扩张较大,当连续的单词组织成旋律模式时,瞳孔扩张更大。最有可能的解释是,单词的自然或预期 F0 轮廓有助于其身份识别,并有助于从长期记忆中存储的语音表示中匹配和检索它。因此,降低单词 F0 轮廓会导致额外的听力努力。我们的结果呼吁在未来开发人工耳蜗植入物的信号处理策略时,即使对于非声调语言,也要解决提高音高显著性和自然度的问题。

https://cdn.ncbi.nlm.nih.gov/pmc/blobs/9a47/11442447/b089dcb5cc60/41598_2024_73320_Fig9_HTML.jpg
https://cdn.ncbi.nlm.nih.gov/pmc/blobs/9a47/11442447/e1e107a2955b/41598_2024_73320_Fig1_HTML.jpg
https://cdn.ncbi.nlm.nih.gov/pmc/blobs/9a47/11442447/1f19446874eb/41598_2024_73320_Fig2_HTML.jpg
https://cdn.ncbi.nlm.nih.gov/pmc/blobs/9a47/11442447/4507bb9c9458/41598_2024_73320_Fig3_HTML.jpg
https://cdn.ncbi.nlm.nih.gov/pmc/blobs/9a47/11442447/206aa7a63372/41598_2024_73320_Fig4_HTML.jpg
https://cdn.ncbi.nlm.nih.gov/pmc/blobs/9a47/11442447/c8c5aeee25e2/41598_2024_73320_Fig5_HTML.jpg
https://cdn.ncbi.nlm.nih.gov/pmc/blobs/9a47/11442447/158c1e366f90/41598_2024_73320_Fig6_HTML.jpg
https://cdn.ncbi.nlm.nih.gov/pmc/blobs/9a47/11442447/2a40a4ffa426/41598_2024_73320_Fig7_HTML.jpg
https://cdn.ncbi.nlm.nih.gov/pmc/blobs/9a47/11442447/8c0d40c423b3/41598_2024_73320_Fig8_HTML.jpg
https://cdn.ncbi.nlm.nih.gov/pmc/blobs/9a47/11442447/b089dcb5cc60/41598_2024_73320_Fig9_HTML.jpg
https://cdn.ncbi.nlm.nih.gov/pmc/blobs/9a47/11442447/e1e107a2955b/41598_2024_73320_Fig1_HTML.jpg
https://cdn.ncbi.nlm.nih.gov/pmc/blobs/9a47/11442447/1f19446874eb/41598_2024_73320_Fig2_HTML.jpg
https://cdn.ncbi.nlm.nih.gov/pmc/blobs/9a47/11442447/4507bb9c9458/41598_2024_73320_Fig3_HTML.jpg
https://cdn.ncbi.nlm.nih.gov/pmc/blobs/9a47/11442447/206aa7a63372/41598_2024_73320_Fig4_HTML.jpg
https://cdn.ncbi.nlm.nih.gov/pmc/blobs/9a47/11442447/c8c5aeee25e2/41598_2024_73320_Fig5_HTML.jpg
https://cdn.ncbi.nlm.nih.gov/pmc/blobs/9a47/11442447/158c1e366f90/41598_2024_73320_Fig6_HTML.jpg
https://cdn.ncbi.nlm.nih.gov/pmc/blobs/9a47/11442447/2a40a4ffa426/41598_2024_73320_Fig7_HTML.jpg
https://cdn.ncbi.nlm.nih.gov/pmc/blobs/9a47/11442447/8c0d40c423b3/41598_2024_73320_Fig8_HTML.jpg
https://cdn.ncbi.nlm.nih.gov/pmc/blobs/9a47/11442447/b089dcb5cc60/41598_2024_73320_Fig9_HTML.jpg

相似文献

1
Pupillometry reveals effects of pitch manipulation within and across words on listening effort and short-term memory.瞳孔测量揭示了在单词内和跨单词的音高操纵对听力努力和短期记忆的影响。
Sci Rep. 2024 Sep 30;14(1):22595. doi: 10.1038/s41598-024-73320-z.
2
Disentangling listening effort and memory load beyond behavioural evidence: Pupillary response to listening effort during a concurrent memory task.超越行为证据的听力努力和记忆负荷的分离:在同时进行的记忆任务中,瞳孔对听力努力的反应。
PLoS One. 2021 Mar 3;16(3):e0233251. doi: 10.1371/journal.pone.0233251. eCollection 2021.
3
In a Concurrent Memory and Auditory Perception Task, the Pupil Dilation Response Is More Sensitive to Memory Load Than to Auditory Stimulus Characteristics.在同时进行的记忆和听觉感知任务中,瞳孔扩张反应对记忆负荷的敏感性高于对听觉刺激特征的敏感性。
Ear Hear. 2019 Mar/Apr;40(2):272-286. doi: 10.1097/AUD.0000000000000612.
4
Time-specific Components of Pupil Responses Reveal Alternations in Effort Allocation Caused by Memory Task Demands During Speech Identification in Noise.时间特异性瞳孔反应成分揭示了在噪声中言语识别过程中记忆任务需求引起的努力分配的变化。
Trends Hear. 2023 Jan-Dec;27:23312165231153280. doi: 10.1177/23312165231153280.
5
Melodic pitch perception and lexical tone perception in Mandarin-speaking cochlear implant users.说普通话的人工耳蜗使用者的旋律音高感知和声调感知
Ear Hear. 2015 Jan;36(1):102-10. doi: 10.1097/AUD.0000000000000086.
6
A word by any other intonation: fMRI evidence for implicit memory traces for pitch contours of spoken words in adult brains.语调中的另一个词:成人大脑中言语音高轮廓的内隐记忆痕迹的 fMRI 证据。
PLoS One. 2013 Dec 31;8(12):e82042. doi: 10.1371/journal.pone.0082042. eCollection 2013.
7
Predictive Sentence Context Reduces Listening Effort in Older Adults With and Without Hearing Loss and With High and Low Working Memory Capacity.预测句子语境可减少有听力损失和无听力损失老年人以及高、低工作记忆能力者的听力努力。
Ear Hear. 2022;43(4):1164-1177. doi: 10.1097/AUD.0000000000001192. Epub 2022 Jan 4.
8
Cantonese Tone Perception for Children Who Use a Hearing Aid and a Cochlear Implant in Opposite Ears.使用助听器和人工耳蜗的儿童的粤语声调感知。
Ear Hear. 2017 Nov/Dec;38(6):e359-e368. doi: 10.1097/AUD.0000000000000453.
9
Slower Speaking Rate Reduces Listening Effort Among Listeners With Cochlear Implants.语速放慢可减轻人工耳蜗使用者的听力负担。
Ear Hear. 2021 May/Jun;42(3):584-595. doi: 10.1097/AUD.0000000000000958.
10
Factors Affecting Bimodal Benefit in Pediatric Mandarin-Speaking Chinese Cochlear Implant Users.影响儿童普通话人工耳蜗植入者双重受益的因素。
Ear Hear. 2019 Nov/Dec;40(6):1316-1327. doi: 10.1097/AUD.0000000000000712.

引用本文的文献

1
Reduced Eye Blinking During Sentence Listening Reflects Increased Cognitive Load in Challenging Auditory Conditions.在句子聆听过程中眨眼减少反映了在具有挑战性的听觉条件下认知负荷增加。
Trends Hear. 2025 Jan-Dec;29:23312165251371118. doi: 10.1177/23312165251371118. Epub 2025 Sep 5.

本文引用的文献

1
Differences Between French and English in the Use of Suprasegmental Cues for the Short-Term Recall of Word Lists.法英两种语言在使用超音段线索进行单词列表短期记忆中的差异。
J Speech Lang Hear Res. 2024 Oct 8;67(10):3748-3761. doi: 10.1044/2024_JSLHR-23-00655. Epub 2024 Sep 25.
2
Grouping by Time and Pitch Facilitates Free but Not Cued Recall for Word Lists in Normally-Hearing Listeners.时间和音高分组有助于正常听力的听者自由但非提示地回忆单词列表。
Trends Hear. 2023 Jan-Dec;27:23312165231181757. doi: 10.1177/23312165231181757.
3
Luminance effects on pupil dilation in speech-in-noise recognition.
亮度对噪声中言语识别瞳孔扩张的影响。
PLoS One. 2022 Dec 2;17(12):e0278506. doi: 10.1371/journal.pone.0278506. eCollection 2022.
4
A Glimpse of Memory Through the Eyes: Pupillary Responses Measured During Encoding Reflect the Likelihood of Subsequent Memory Recall in an Auditory Free Recall Test.通过眼睛瞥见记忆:在听觉自由回忆测试中,编码期间测量的瞳孔反应反映了随后记忆回忆的可能性。
Trends Hear. 2022 Jan-Dec;26:23312165221130581. doi: 10.1177/23312165221130581.
5
Effortful Listening Despite Correct Responses: The Cost of Mental Repair in Sentence Recognition by Listeners With Cochlear Implants.努力倾听,即使回答正确:人工耳蜗使用者在句子识别中的心理修复成本。
J Speech Lang Hear Res. 2022 Oct 17;65(10):3966-3980. doi: 10.1044/2022_JSLHR-21-00631. Epub 2022 Sep 15.
6
Enhancing socio-emotional communication and quality of life in young cochlear implant recipients: Perspectives from parameter-specific morphing and caricaturing.提高年轻人工耳蜗植入受者的社会情感沟通能力和生活质量:特定参数变形和夸张手法的视角
Front Neurosci. 2022 Aug 25;16:956917. doi: 10.3389/fnins.2022.956917. eCollection 2022.
7
A decrease in physiological arousal accompanied by stable behavioral performance reflects task habituation.生理唤醒的降低伴随着稳定的行为表现反映了任务习惯化。
Front Neurosci. 2022 Jul 22;16:876807. doi: 10.3389/fnins.2022.876807. eCollection 2022.
8
Comparing methods of analysis in pupillometry: application to the assessment of listening effort in hearing-impaired patients.瞳孔测量术中分析方法的比较:在听力受损患者听力努力评估中的应用
Heliyon. 2022 Jun 3;8(6):e09631. doi: 10.1016/j.heliyon.2022.e09631. eCollection 2022 Jun.
9
Quantifying the Effects of Motivation on Listening Effort: A Systematic Review and Meta-Analysis.量化动机对听力努力程度的影响:系统评价和荟萃分析。
Trends Hear. 2022 Jan-Dec;26:23312165211059982. doi: 10.1177/23312165211059982.
10
Listening Effort Is Not the Same as Speech Intelligibility Score.听力努力程度与言语可懂度评分不同。
Trends Hear. 2021 Jan-Dec;25:23312165211027688. doi: 10.1177/23312165211027688.