• 文献检索
  • 文档翻译
  • 深度研究
  • 学术资讯
  • Suppr Zotero 插件Zotero 插件
  • 邀请有礼
  • 套餐&价格
  • 历史记录
应用&插件
Suppr Zotero 插件Zotero 插件浏览器插件Mac 客户端Windows 客户端微信小程序
定价
高级版会员购买积分包购买API积分包
服务
文献检索文档翻译深度研究API 文档MCP 服务
关于我们
关于 Suppr公司介绍联系我们用户协议隐私条款
关注我们

Suppr 超能文献

核心技术专利:CN118964589B侵权必究
粤ICP备2023148730 号-1Suppr @ 2026

文献检索

告别复杂PubMed语法,用中文像聊天一样搜索,搜遍4000万医学文献。AI智能推荐,让科研检索更轻松。

立即免费搜索

文件翻译

保留排版,准确专业,支持PDF/Word/PPT等文件格式,支持 12+语言互译。

免费翻译文档

深度研究

AI帮你快速写综述,25分钟生成高质量综述,智能提取关键信息,辅助科研写作。

立即免费体验

评估罗马尼亚全国饮用水中 Li 与 Na、K、Mg 和 Ca 之间的关系及其对人体健康的潜在风险。

Evaluation of potential human health risks associated with Li and their relationship with Na, K, Mg, and Ca in Romania's nationwide drinking water.

机构信息

National Research and Development Institute for Cryogenics and Isotopic Technologies-ICSI, Râmnicu Vâlcea, Romania.

National Institute for Research and Development of Isotopic and Molecular Technologies, Cluj-Napoca, Romania.

出版信息

Front Public Health. 2024 Sep 23;12:1456640. doi: 10.3389/fpubh.2024.1456640. eCollection 2024.

DOI:10.3389/fpubh.2024.1456640
PMID:39377005
原文链接:https://pmc.ncbi.nlm.nih.gov/articles/PMC11456539/
Abstract

BACKGROUND

Increasing lithium (Li) demand worldwide due to its properties and role in renewable energy will raise water reservoir pollution and side effects on human health. Divergent results regarding Li concentration in water and affective disorders are found in the literature, which is why regional reports are expected.

OBJECTIVE

The present study evaluated the occurrence and human health risks resulting from oral exposure, respectively, and the relationship between alkali metals (Li, Na, and K) and minerals (Mg, Ca) in balanced purified water (bottled) and spring water.

METHODS

The ICP-MS technique was used to measure a national database with 53 bottled and 42 spring water samples randomly selected. One-way ANOVA, Pearson correlation, and HCA analysis were applied to assess the possible relationship between metals in water. The possible side effects of Li poisoning of water resources on human health have been evaluated using the Estimated Daily Intake Index (EDI) and Total Hazard Quotient (THQ).

RESULTS

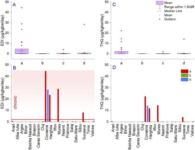
The toxic metals (As, Hg, and Pb) were measured, and the results indicate values above the detection limit of 22.3% of samples in the case of lead but not exceeding the safety limits. Depending on the water sources, such as bottled and spring water, the Li concentration varied between 0.06-1,557 and 0.09-984% μg/L. We found a strong positive correlation between Li and Na and Mg, varying between bottled and spring waters (% <%0.001). Li exceeded the limit set by the Health-Based Screening Level (HBSL) in 41.37 and 19% of bottled and spring water samples. The oral reference doses (p-RDs) for the noncancer assessment of daily oral exposure effects for a human lifetime exceeded threshold values. The THQ index shows potential adverse health effects, requiring further investigations and remedial actions in 27.58% of approved bottled waters and 2.38% of spring waters.

CONCLUSION

We can conclude that water is safe based on the Li concentration found in drinking water and supported by a gap in strict regulations regarding human Li ingestion. The present study can serve decision-makers and represent a starting database with metals of interest for further clinical studies. Decision-makers can also use it to find solutions for sustainable management of clean and safe drinking water.

摘要

背景

由于锂在可再生能源中的特性和作用,全球对锂的需求不断增加,这将导致水库污染和对人类健康的副作用。文献中关于水中锂浓度和情感障碍的结果存在差异,因此需要区域性报告。

目的

本研究评估了口服暴露分别产生的锂浓度及其对人类健康的风险,以及平衡净化水(瓶装)和泉水碱金属(Li、Na 和 K)和矿物质(Mg、Ca)之间的关系。

方法

采用 ICP-MS 技术对随机抽取的 53 个瓶装和 42 个泉水样本的国家数据库进行测量。采用单因素方差分析、皮尔逊相关和 HCA 分析评估水中金属之间的可能关系。采用估计每日摄入量指数(EDI)和总危害系数(THQ)评估水资源中锂中毒对人类健康的可能副作用。

结果

测量了有毒金属(As、Hg 和 Pb),结果表明,22.3%的样本中铅的含量超过检测限,但未超过安全限值。根据水源的不同,如瓶装水和泉水,Li 的浓度在 0.06-1.557 和 0.09-984%μg/L 之间变化。我们发现 Li 与 Na 和 Mg 之间存在很强的正相关关系,在瓶装水和泉水之间变化(%<%0.001)。在 41.37%和 19%的瓶装水和泉水样本中,Li 超过了健康基准筛选水平(HBSL)设定的限值。对于人类终生每日口服暴露效应的非癌症评估,口服参考剂量(p-RD)超过了阈值。THQ 指数显示出潜在的不良健康影响,需要对 27.58%的批准瓶装水和 2.38%的泉水进行进一步调查和补救措施。

结论

根据饮用水中发现的 Li 浓度并结合严格的人类 Li 摄入规定的差距,我们可以得出水是安全的结论。本研究可以为决策者提供服务,并为进一步的临床研究提供有兴趣的金属的起始数据库。决策者还可以使用它来寻找可持续管理清洁和安全饮用水的解决方案。

https://cdn.ncbi.nlm.nih.gov/pmc/blobs/03e4/11456539/0d8e84c8c1ec/fpubh-12-1456640-g003.jpg
https://cdn.ncbi.nlm.nih.gov/pmc/blobs/03e4/11456539/637504b1b026/fpubh-12-1456640-g001.jpg
https://cdn.ncbi.nlm.nih.gov/pmc/blobs/03e4/11456539/ace642fbeaac/fpubh-12-1456640-g002.jpg
https://cdn.ncbi.nlm.nih.gov/pmc/blobs/03e4/11456539/0d8e84c8c1ec/fpubh-12-1456640-g003.jpg
https://cdn.ncbi.nlm.nih.gov/pmc/blobs/03e4/11456539/637504b1b026/fpubh-12-1456640-g001.jpg
https://cdn.ncbi.nlm.nih.gov/pmc/blobs/03e4/11456539/ace642fbeaac/fpubh-12-1456640-g002.jpg
https://cdn.ncbi.nlm.nih.gov/pmc/blobs/03e4/11456539/0d8e84c8c1ec/fpubh-12-1456640-g003.jpg

相似文献

1
Evaluation of potential human health risks associated with Li and their relationship with Na, K, Mg, and Ca in Romania's nationwide drinking water.评估罗马尼亚全国饮用水中 Li 与 Na、K、Mg 和 Ca 之间的关系及其对人体健康的潜在风险。
Front Public Health. 2024 Sep 23;12:1456640. doi: 10.3389/fpubh.2024.1456640. eCollection 2024.
2
Human health risk assessment of some bottled waters from Romania.罗马尼亚部分瓶装水的人体健康风险评估。
Environ Pollut. 2020 Dec;267:115409. doi: 10.1016/j.envpol.2020.115409. Epub 2020 Sep 1.
3
Determination of barium in natural waters by ICP-OES technique. Part II: Assessment of human exposure to barium in bottled mineral and spring waters produced in Poland.采用电感耦合等离子体发射光谱法(ICP-OES)技术测定天然水中的钡。第二部分:波兰生产的瓶装矿泉水和泉水中人体对钡的暴露评估。
Rocz Panstw Zakl Hig. 2013;64(2):91-6.
4
Safety of Drinking Water from Primary Water Sources and Implications for the General Public in Uganda.乌干达主要水源饮用水的安全性及其对公众的影响。
J Environ Public Health. 2019 Mar 25;2019:7813962. doi: 10.1155/2019/7813962. eCollection 2019.
5
Trace and ultratrace metals in bottled waters: survey of sources worldwide and comparison with refillable metal bottles.瓶装水中的痕量和超痕量金属:全球来源调查及与可重复充装金属瓶的比较
Sci Total Environ. 2009 Jan 15;407(3):1089-96. doi: 10.1016/j.scitotenv.2008.10.014. Epub 2008 Nov 6.
6
Sources, pathways, and relative risks of contaminants in surface water and groundwater: a perspective prepared for the Walkerton inquiry.地表水和地下水中污染物的来源、途径及相对风险:为沃克顿调查准备的一份报告
J Toxicol Environ Health A. 2002 Jan 11;65(1):1-142. doi: 10.1080/152873902753338572.
7
Lithium in Portuguese Bottled Natural Mineral Waters-Potential for Health Benefits?《葡萄牙瓶装天然矿泉水的锂元素——对健康有益吗?》
Int J Environ Res Public Health. 2020 Nov 12;17(22):8369. doi: 10.3390/ijerph17228369.
8
[Assessment of mineral bottled water as a source of selected minerals among students].[评估矿泉水作为学生所选矿物质来源的情况]
Rocz Panstw Zakl Hig. 2012;63(3):347-52.
9
Lithium occurrence in drinking water sources of the United States.美国饮用水源中的锂。
Chemosphere. 2022 Oct;305:135458. doi: 10.1016/j.chemosphere.2022.135458. Epub 2022 Jun 23.
10
[Intake of calcium, magnesium and sodium through water: health implications].通过水摄入钙、镁和钠:对健康的影响
Med Clin (Barc). 2008 Nov 15;131(17):641-6. doi: 10.1157/13128721.

引用本文的文献

1
Lithium-Occurrence and Exposure-A Review.锂的存在与暴露——综述
Toxics. 2025 Jul 4;13(7):567. doi: 10.3390/toxics13070567.
2
Heavy Metal Health Risk Assessment in L. Forests Along an Altitudinal Gradient in Southern Romania.罗马尼亚南部沿海拔梯度的落叶林中重金属健康风险评估
Plants (Basel). 2025 Mar 19;14(6):968. doi: 10.3390/plants14060968.
3
Recycling Lithium-Ion Batteries-Technologies, Environmental, Human Health, and Economic Issues-Mini-Systematic Literature Review.锂离子电池回收——技术、环境、人类健康及经济问题——小型系统文献综述

本文引用的文献

1
Lithium versus anticonvulsants and the risk of physical disorders - Results from a comprehensive long-term nation-wide population-based study emulating a target trial.锂剂与抗惊厥药物治疗与躯体障碍风险的比较——一项基于人群的全国性长期综合研究结果,模拟目标试验。
Eur Neuropsychopharmacol. 2024 Jul;84:48-56. doi: 10.1016/j.euroneuro.2024.04.009. Epub 2024 Apr 25.
2
Prevention of suicidal behavior with lithium treatment in patients with recurrent mood disorders.锂盐治疗复发性心境障碍患者以预防自杀行为
Int J Bipolar Disord. 2024 Mar 9;12(1):6. doi: 10.1186/s40345-024-00326-x.
3
Lithium Content and Its Nutritional Beneficence, Dietary Intake, and Impact on Human Health in Edibles from the Romanian Market.
Membranes (Basel). 2024 Dec 21;14(12):277. doi: 10.3390/membranes14120277.
罗马尼亚市场食用产品中的锂含量及其营养益处、膳食摄入量和对人体健康的影响。
Foods. 2024 Feb 16;13(4):592. doi: 10.3390/foods13040592.
4
Lithium and disease modification: A systematic review and meta-analysis in Alzheimer's and Parkinson's disease.锂与疾病修饰:阿尔茨海默病和帕金森病的系统评价和荟萃分析。
Ageing Res Rev. 2024 Mar;95:102231. doi: 10.1016/j.arr.2024.102231. Epub 2024 Feb 15.
5
Estimating Lithium Concentrations in Groundwater Used as Drinking Water for the Conterminous United States.估算美国本土地下水用作饮用水的锂浓度。
Environ Sci Technol. 2024 Jan 16;58(2):1255-1264. doi: 10.1021/acs.est.3c03315. Epub 2024 Jan 2.
6
Lithium concentration in tap water, bottled mineral water, and Danube River water in Hungary.匈牙利自来水中、瓶装矿泉水和多瑙河水中的锂浓度。
Sci Rep. 2023 Aug 2;13(1):12543. doi: 10.1038/s41598-023-38864-6.
7
Potassium homeostasis - Physiology and pharmacology in a clinical context.钾离子稳态:临床相关的生理学和药理学。
Pharmacol Ther. 2023 Sep;249:108489. doi: 10.1016/j.pharmthera.2023.108489. Epub 2023 Jul 15.
8
The concentration of Lithium in water resources: A systematic review, meta-analysis and health risk assessment.水资源中锂的浓度:系统评价、荟萃分析和健康风险评估。
Rev Environ Health. 2023 Jun 1;39(4):667-677. doi: 10.1515/reveh-2023-0025. Print 2024 Dec 17.
9
High tissue-sodium associates with systemic inflammation and insulin resistance in obese individuals.高组织钠与肥胖个体的全身炎症和胰岛素抵抗有关。
Nutr Metab Cardiovasc Dis. 2023 Jul;33(7):1398-1406. doi: 10.1016/j.numecd.2023.03.024. Epub 2023 Apr 10.
10
Macronutrients Not Micronutrients Are Associated With the Risk of Pancreatic Cancer: A Jordanian Case-Control Study.大量营养素而非微量营养素与胰腺癌风险相关:一项约旦病例对照研究。
Pancreas. 2022 Sep 1;51(8):1011-1018. doi: 10.1097/MPA.0000000000002131.