• 文献检索
  • 文档翻译
  • 深度研究
  • 学术资讯
  • Suppr Zotero 插件Zotero 插件
  • 邀请有礼
  • 套餐&价格
  • 历史记录
应用&插件
Suppr Zotero 插件Zotero 插件浏览器插件Mac 客户端Windows 客户端微信小程序
定价
高级版会员购买积分包购买API积分包
服务
文献检索文档翻译深度研究API 文档MCP 服务
关于我们
关于 Suppr公司介绍联系我们用户协议隐私条款
关注我们

Suppr 超能文献

核心技术专利:CN118964589B侵权必究
粤ICP备2023148730 号-1Suppr @ 2026

文献检索

告别复杂PubMed语法,用中文像聊天一样搜索,搜遍4000万医学文献。AI智能推荐,让科研检索更轻松。

立即免费搜索

文件翻译

保留排版,准确专业,支持PDF/Word/PPT等文件格式,支持 12+语言互译。

免费翻译文档

深度研究

AI帮你快速写综述,25分钟生成高质量综述,智能提取关键信息,辅助科研写作。

立即免费体验

中国、日本和韩国肝癌的负担、趋势及预测:基于《2021年全球疾病负担研究》的分析

Burden, trends, and predictions of liver cancer in China, Japan, and South Korea: analysis based on the Global Burden of Disease Study 2021.

作者信息

Yang Si, Deng Yujiao, Zheng Yi, Zhang Jing, He Dongdong, Dai Zhijun, Guo Changcun

机构信息

Department of Digestive Diseases, Xijing Hospital, Air Force Medical University, Xi'an, 710000, Shaanxi, China.

Department of Digestive Diseases, The Second Affiliated Hospital of Xi'an Jiaotong University, Xi'an, China.

出版信息

Hepatol Int. 2025 Apr;19(2):441-459. doi: 10.1007/s12072-024-10763-6. Epub 2025 Jan 11.

DOI:10.1007/s12072-024-10763-6
PMID:39799268
原文链接:https://pmc.ncbi.nlm.nih.gov/articles/PMC12003535/
Abstract

BACKGROUND

Liver cancer (LC) is a major concern in the Asia-Pacific region, particularly in China, Korea, and Japan. In this study, we aimed to investigate the burden, trends, and predictions related to LC in these countries.

METHODS

Using data from the Global Burden of Disease Study 2021, the epidemiological characteristics [incidence, deaths, and disability-adjusted life-years (DALYs)] for LC were analysed and stratified by specific etiologies in China, Japan, and South Korea. We examined temporal trends in LC burden over the last 32 years and projected changes over the following 25 years. The risk factors associated with LC deaths and DALYs were also investigated.

RESULTS

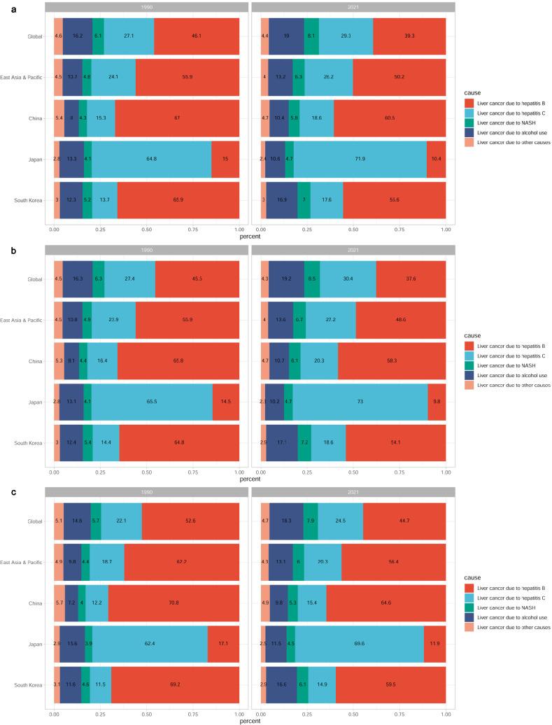
In 2021, the highest LC-related incidence, mortality, and DALYs were recorded in China (196,637 incidents, 172,068 mortalities, and 4,890,023 DALYs), and the lowest in South Korea (18,642 incidents, 13,674 deaths, and 326,336 DALYs). South Korea recorded the highest age-standardized rates (ASRs) of incidence, mortality, and DALYs for LC (19.94 per 100,000, 14.53 per 100,000, and 354.57 per 100,000), and Japan the lowest (9.89, 7.29, and 145.74, respectively). From 1990 to 2021, LC incidents and deaths in the three countries increased, and the trends in ASRs decreased. LC incidents and deaths caused by five etiologies also increased in the past 32 years, and non-alcoholic steatohepatitis (NASH) was the largest increasing etiologies in China. Infections with hepatitis B virus remained the leading cause of LC in China and South Korea, while hepatitis C virus was the prevailing cause in Japan. High body mass index (BMI) was the most sharply increasing risk factor in China. Alcohol and drug use were the main risk factors for LC in South Korea and Japan, respectively. The LC burden in the three countries was projected to rise steadily between 2022 and 2046.

CONCLUSIONS

LC remains a significant disease burden in China, Japan, and South Korea now and over the next 25 years. Regarding etiologies and risk factors, NASH and high BMI in China, alcohol use in South Korea, and drug use in Japan should receive significant attention.

摘要

背景

肝癌是亚太地区的一个主要问题,在中国、韩国和日本尤为突出。在本研究中,我们旨在调查这些国家与肝癌相关的负担、趋势和预测情况。

方法

利用全球疾病负担研究2021年的数据,分析了中国、日本和韩国肝癌的流行病学特征(发病率、死亡率和伤残调整生命年),并按具体病因进行分层。我们研究了过去32年肝癌负担的时间趋势,并预测了未来25年的变化。还调查了与肝癌死亡和伤残调整生命年相关的风险因素。

结果

2021年,中国记录的与肝癌相关的发病率、死亡率和伤残调整生命年最高(196,637例、172,068例死亡和4,890,023伤残调整生命年),韩国最低(18,642例、13,674例死亡和326,336伤残调整生命年)。韩国记录的肝癌发病率、死亡率和伤残调整生命年的年龄标准化率最高(每10万人中分别为19.94例、14.53例和354.57例),日本最低(分别为9.89例、7.29例和145.74例)。从1990年到2021年,这三个国家的肝癌发病数和死亡数增加,年龄标准化率呈下降趋势。在过去32年中,由五种病因导致的肝癌发病数和死亡数也有所增加,非酒精性脂肪性肝炎是中国增加最多的病因。乙肝病毒感染在中国和韩国仍然是肝癌的主要原因,而丙肝病毒在日本是主要病因。高体重指数是中国上升最明显的风险因素。饮酒和药物使用分别是韩国和日本肝癌的主要风险因素。预计在2022年至2046年期间,这三个国家的肝癌负担将稳步上升。

结论

目前以及在未来25年里,肝癌在中国、日本和韩国仍然是一个重大的疾病负担。在病因和风险因素方面,中国的非酒精性脂肪性肝炎和高体重指数、韩国的饮酒以及日本的药物使用应受到高度关注。

https://cdn.ncbi.nlm.nih.gov/pmc/blobs/8d28/12003535/13dab66e45d2/12072_2024_10763_Fig6_HTML.jpg
https://cdn.ncbi.nlm.nih.gov/pmc/blobs/8d28/12003535/5dea976831d3/12072_2024_10763_Fig1_HTML.jpg
https://cdn.ncbi.nlm.nih.gov/pmc/blobs/8d28/12003535/551b3658793d/12072_2024_10763_Fig2_HTML.jpg
https://cdn.ncbi.nlm.nih.gov/pmc/blobs/8d28/12003535/b16a6ca5c2ed/12072_2024_10763_Fig3_HTML.jpg
https://cdn.ncbi.nlm.nih.gov/pmc/blobs/8d28/12003535/d650b43e4916/12072_2024_10763_Fig4_HTML.jpg
https://cdn.ncbi.nlm.nih.gov/pmc/blobs/8d28/12003535/8d3257631693/12072_2024_10763_Fig5_HTML.jpg
https://cdn.ncbi.nlm.nih.gov/pmc/blobs/8d28/12003535/13dab66e45d2/12072_2024_10763_Fig6_HTML.jpg
https://cdn.ncbi.nlm.nih.gov/pmc/blobs/8d28/12003535/5dea976831d3/12072_2024_10763_Fig1_HTML.jpg
https://cdn.ncbi.nlm.nih.gov/pmc/blobs/8d28/12003535/551b3658793d/12072_2024_10763_Fig2_HTML.jpg
https://cdn.ncbi.nlm.nih.gov/pmc/blobs/8d28/12003535/b16a6ca5c2ed/12072_2024_10763_Fig3_HTML.jpg
https://cdn.ncbi.nlm.nih.gov/pmc/blobs/8d28/12003535/d650b43e4916/12072_2024_10763_Fig4_HTML.jpg
https://cdn.ncbi.nlm.nih.gov/pmc/blobs/8d28/12003535/8d3257631693/12072_2024_10763_Fig5_HTML.jpg
https://cdn.ncbi.nlm.nih.gov/pmc/blobs/8d28/12003535/13dab66e45d2/12072_2024_10763_Fig6_HTML.jpg

相似文献

1
Burden, trends, and predictions of liver cancer in China, Japan, and South Korea: analysis based on the Global Burden of Disease Study 2021.中国、日本和韩国肝癌的负担、趋势及预测:基于《2021年全球疾病负担研究》的分析
Hepatol Int. 2025 Apr;19(2):441-459. doi: 10.1007/s12072-024-10763-6. Epub 2025 Jan 11.
2
Burden, trends, and risk factors of esophageal cancer in China from 1990 to 2017: an up-to-date overview and comparison with those in Japan and South Korea.1990年至2017年中国食管癌的负担、趋势及危险因素:最新概述及与日本和韩国的比较
J Hematol Oncol. 2020 Nov 2;13(1):146. doi: 10.1186/s13045-020-00981-4.
3
Burden, trends, and risk factors for breast cancer in China from 1990 to 2019 and its predictions until 2034: an up-to-date overview and comparison with those in Japan and South Korea.中国 1990 年至 2019 年乳腺癌发病负担、趋势及风险因素分析,以及对 2034 年的预测:与日本和韩国的最新比较综述
BMC Cancer. 2022 Jul 29;22(1):826. doi: 10.1186/s12885-022-09923-4.
4
Attributable liver cancer deaths and disability-adjusted life years in China and worldwide: profiles and changing trends.归因于肝癌的死亡人数和全球及中国的伤残调整生命年:概况和变化趋势。
Cancer Biol Med. 2024 Jul 16;21(8):679-91. doi: 10.20892/j.issn.2095-3941.2024.0149.
5
The burden of migraine and predictions in the Asia-Pacific region, 1990-2021: a comparative analysis of China, South Korea, Japan, and Australia.1990 - 2021年亚太地区偏头痛负担与预测:中国、韩国、日本和澳大利亚的比较分析
J Headache Pain. 2025 May 6;26(1):104. doi: 10.1186/s10194-025-02048-6.
6
Prevalence trend and burden of foodborne trematodiasis in China from 1990 to 2021 and its predictions until 2030: a comparative study with Japan and South Korea.1990年至2021年中国食源性吸虫病的流行趋势、负担及其至2030年的预测:与日本和韩国的比较研究
Front Public Health. 2025 Feb 24;13:1504218. doi: 10.3389/fpubh.2025.1504218. eCollection 2025.
7
The temporal trends of prevalence and years lived with disability of anaemia in China, Japan, and South Korea, from 1990 to 2021: Results from the Global Burden of Disease Study 2021.中国、日本和韩国 1990 年至 2021 年贫血患病率和伤残调整寿命年的时间趋势:2021 年全球疾病负担研究结果。
J Glob Health. 2024 May 24;14:04073. doi: 10.7189/jogh.14.04073.
8
A comparative study of the disease burden attributable to PM in China, Japan and South Korea from 1990 to 2017.1990 年至 2017 年中国、日本和韩国与 PM 相关的疾病负担的比较研究。
Ecotoxicol Environ Saf. 2021 Feb;209:111856. doi: 10.1016/j.ecoenv.2020.111856. Epub 2021 Jan 4.
9
Disease burden and attributable risk factors of major depressive disorder in China, Japan, and South Korea from 1990 to 2021 and its prediction to 2035.1990年至2021年中国、日本和韩国重度抑郁症的疾病负担、归因风险因素及其到2035年的预测。
Front Public Health. 2025 Apr 14;13:1510091. doi: 10.3389/fpubh.2025.1510091. eCollection 2025.
10
Burden of Stomach Cancer Incidence, Mortality, Disability-Adjusted Life Years, and Risk Factors in 204 Countries, 1990-2019: An Examination of Global Burden of Disease 2019.204 个国家 1990-2019 年胃癌发病、死亡、伤残调整生命年及危险因素负担:2019 年全球疾病负担研究
J Gastrointest Cancer. 2024 Jun;55(2):787-799. doi: 10.1007/s12029-023-01005-3. Epub 2024 Jan 24.

引用本文的文献

1
Comparison and trend analysis of cancer incidence in China and globally in 2022.2022年中国与全球癌症发病率的比较及趋势分析。
World J Clin Oncol. 2025 Jun 24;16(6):107016. doi: 10.5306/wjco.v16.i6.107016.
2
Disparities, trends, and projections of cancer mortality burden related to high body mass index in China from 2005 to 2030.2005年至2030年中国与高体重指数相关的癌症死亡负担的差异、趋势及预测
Cell Rep Med. 2025 Jun 17;6(6):102137. doi: 10.1016/j.xcrm.2025.102137. Epub 2025 May 15.
3
Longitudinal study of factors associated with the anti-cancer efficacy and liver function in HCC patients treated with TACE in combination with percutaneous ablation.

本文引用的文献

1
Trends in Cancer Incidence and Potential Associated Factors in China.中国癌症发病率的变化趋势及潜在相关因素。
JAMA Netw Open. 2024 Oct 1;7(10):e2440381. doi: 10.1001/jamanetworkopen.2024.40381.
2
Diabetes is associated with increased liver cancer incidence and mortality in adults: A report from Asia Cohort Consortium.糖尿病与成年人肝癌发病率和死亡率的增加有关:亚洲队列联盟的报告。
Int J Cancer. 2024 Sep 1;155(5):854-870. doi: 10.1002/ijc.34965. Epub 2024 Apr 25.
3
Global cancer statistics 2022: GLOBOCAN estimates of incidence and mortality worldwide for 36 cancers in 185 countries.
经动脉化疗栓塞联合经皮消融治疗肝癌患者中与抗癌疗效和肝功能相关因素的纵向研究
Front Oncol. 2025 Apr 16;15:1566865. doi: 10.3389/fonc.2025.1566865. eCollection 2025.
2022 年全球癌症统计数据:全球 185 个国家和地区 36 种癌症的发病率和死亡率全球估计数。
CA Cancer J Clin. 2024 May-Jun;74(3):229-263. doi: 10.3322/caac.21834. Epub 2024 Apr 4.
4
Global age-sex-specific mortality, life expectancy, and population estimates in 204 countries and territories and 811 subnational locations, 1950-2021, and the impact of the COVID-19 pandemic: a comprehensive demographic analysis for the Global Burden of Disease Study 2021.204 个国家和地区及 811 个次国家级行政单位 1950 年至 2021 年的全球年龄、性别特异性死亡率、预期寿命和人口估计,以及 COVID-19 大流行的影响:2021 年全球疾病负担研究的综合人口分析。
Lancet. 2024 May 18;403(10440):1989-2056. doi: 10.1016/S0140-6736(24)00476-8. Epub 2024 Mar 11.
5
Global, regional, and national burden of liver cancer due to non-alcoholic steatohepatitis, 1990-2019: a decomposition and age-period-cohort analysis.全球、区域和国家非酒精性脂肪性肝炎相关肝癌负担:1990-2019 年的分解和年龄-时期-队列分析。
J Gastroenterol. 2023 Dec;58(12):1222-1236. doi: 10.1007/s00535-023-02040-4. Epub 2023 Sep 4.
6
Core indicators related to the elimination of hepatitis B and C virus infection in South Korea: A nationwide study.韩国消除乙型和丙型肝炎病毒感染的核心指标:一项全国性研究。
Clin Mol Hepatol. 2023 Jul;29(3):779-793. doi: 10.3350/cmh.2023.0110. Epub 2023 May 15.
7
Global burden of primary liver cancer and its association with underlying aetiologies, sociodemographic status, and sex differences from 1990-2019: A DALY-based analysis of the Global Burden of Disease 2019 study.全球原发性肝癌负担及其与潜在病因、社会人口地位和性别差异的关系:基于残疾调整生命年的 2019 年全球疾病负担研究分析。
Clin Mol Hepatol. 2023 Apr;29(2):433-452. doi: 10.3350/cmh.2022.0316. Epub 2023 Jan 4.
8
Global prevalence of non-alcoholic fatty liver disease and non-alcoholic steatohepatitis in the overweight and obese population: a systematic review and meta-analysis.超重和肥胖人群中非酒精性脂肪性肝病和非酒精性脂肪性肝炎的全球患病率:一项系统评价和荟萃分析。
Lancet Gastroenterol Hepatol. 2023 Jan;8(1):20-30. doi: 10.1016/S2468-1253(22)00317-X. Epub 2022 Nov 16.
9
Changing global epidemiology of liver cancer from 2010 to 2019: NASH is the fastest growing cause of liver cancer.2010 年至 2019 年全球肝癌流行病学变化:NASH 是肝癌增长最快的病因。
Cell Metab. 2022 Jul 5;34(7):969-977.e2. doi: 10.1016/j.cmet.2022.05.003. Epub 2022 Jun 3.
10
Messages from Japan policy for viral hepatitis.来自日本病毒性肝炎政策的信息。
Glob Health Med. 2021 Oct 31;3(5):249-252. doi: 10.35772/ghm.2021.01078.