• 文献检索
  • 文档翻译
  • 深度研究
  • 学术资讯
  • Suppr Zotero 插件Zotero 插件
  • 邀请有礼
  • 套餐&价格
  • 历史记录
应用&插件
Suppr Zotero 插件Zotero 插件浏览器插件Mac 客户端Windows 客户端微信小程序
定价
高级版会员购买积分包购买API积分包
服务
文献检索文档翻译深度研究API 文档MCP 服务
关于我们
关于 Suppr公司介绍联系我们用户协议隐私条款
关注我们

Suppr 超能文献

核心技术专利:CN118964589B侵权必究
粤ICP备2023148730 号-1Suppr @ 2026

文献检索

告别复杂PubMed语法,用中文像聊天一样搜索,搜遍4000万医学文献。AI智能推荐,让科研检索更轻松。

立即免费搜索

文件翻译

保留排版,准确专业,支持PDF/Word/PPT等文件格式,支持 12+语言互译。

免费翻译文档

深度研究

AI帮你快速写综述,25分钟生成高质量综述,智能提取关键信息,辅助科研写作。

立即免费体验

一种用于测量基于速度的阻力训练的新型便携式传感器的有效性

Validity of a New Portable Sensor to Measure Velocity-Based Resistance Training.

作者信息

Justo-Álvarez Alejandro, García-López Juan, Sabido Rafael, García-Valverde Adrián

机构信息

Faculty of Physical Activity and Sports Sciences, Universidad de León, 24071 León, Spain.

Sports Research Centre, Miguel Hernández University, 03202 Alicante, Spain.

出版信息

Methods Protoc. 2025 Jan 20;8(1):9. doi: 10.3390/mps8010009.

DOI:10.3390/mps8010009
PMID:39846695
原文链接:https://pmc.ncbi.nlm.nih.gov/articles/PMC11755614/
Abstract

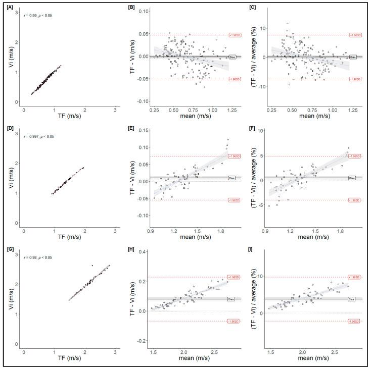
This study evaluated the concurrent validity of the Vitruve linear encoder compared to the T-Force device for measuring mean propulsive velocity (MPV) and peak velocity (PV) during the free-weight bench press exercise. Thirteen resistance-trained men participated in three sessions, during which MPV and PV were recorded simultaneously by both devices. The data were analysed using one-way ANOVA, Pearson's correlation, Bland-Altman analysis, and effect size calculations, with statistical significance set at ≤ 0.05. The results showed discrepancies between the Vitruve and T-Force devices across different intensity levels. Specifically, the Vitruve device generally reported higher MPV and lower PV values, particularly at moderate and low intensities. Vitruve was deemed useful for MPV measurements, especially at velocities below 0.65 m/s during free-weight bench press exercises. In conclusion, the Vitruve device overestimated MPV and underestimated PV at moderate and low loads (>0.65 m·s), with the discrepancies increasing as velocity rose. It can provide valuable data for monitoring and assessing resistance training programs focused on MPV at heavier loads (<0.65 m·s). Researchers and practitioners should take these findings into account when incorporating the Vitruve into velocity-based strength training protocols.

摘要

本研究评估了Vitruve线性编码器与T-Force设备在自由重量卧推运动中测量平均推进速度(MPV)和峰值速度(PV)时的同时效度。13名经过阻力训练的男性参与了三个阶段的测试,在此期间,两种设备同时记录MPV和PV。使用单向方差分析、皮尔逊相关性分析、布兰德-奥特曼分析和效应量计算对数据进行分析,设定统计学显著性水平为≤0.05。结果显示,在不同强度水平下,Vitruve设备和T-Force设备之间存在差异。具体而言,Vitruve设备通常报告的MPV值较高,PV值较低,尤其是在中等强度和低强度时。Vitruve被认为对MPV测量有用,特别是在自由重量卧推运动中速度低于0.65米/秒时。总之,在中等负荷和低负荷(>0.65米·秒)时,Vitruve设备高估了MPV且低估了PV,且随着速度增加差异增大。它可以为监测和评估以较重负荷(<0.65米·秒)下的MPV为重点的阻力训练计划提供有价值的数据。研究人员和从业者在将Vitruve纳入基于速度的力量训练方案时应考虑这些发现。

https://cdn.ncbi.nlm.nih.gov/pmc/blobs/5ff3/11755614/ef06c5569140/mps-08-00009-g003.jpg
https://cdn.ncbi.nlm.nih.gov/pmc/blobs/5ff3/11755614/74ef78a244f7/mps-08-00009-g001.jpg
https://cdn.ncbi.nlm.nih.gov/pmc/blobs/5ff3/11755614/959d235de44a/mps-08-00009-g002.jpg
https://cdn.ncbi.nlm.nih.gov/pmc/blobs/5ff3/11755614/ef06c5569140/mps-08-00009-g003.jpg
https://cdn.ncbi.nlm.nih.gov/pmc/blobs/5ff3/11755614/74ef78a244f7/mps-08-00009-g001.jpg
https://cdn.ncbi.nlm.nih.gov/pmc/blobs/5ff3/11755614/959d235de44a/mps-08-00009-g002.jpg
https://cdn.ncbi.nlm.nih.gov/pmc/blobs/5ff3/11755614/ef06c5569140/mps-08-00009-g003.jpg

相似文献

1
Validity of a New Portable Sensor to Measure Velocity-Based Resistance Training.一种用于测量基于速度的阻力训练的新型便携式传感器的有效性
Methods Protoc. 2025 Jan 20;8(1):9. doi: 10.3390/mps8010009.
2
Validity and Concordance of a Linear Position Transducer (Vitruve) for Measuring Movement Velocity during Resistance Training.一种线性位置传感器(Vitruve)在测量抗阻训练中运动速度的有效性和一致性。
Sensors (Basel). 2024 Oct 5;24(19):6444. doi: 10.3390/s24196444.
3
Validity and reliability of velocity and power measures provided by the Vitruve linear position transducer.维特鲁威线性位置传感器提供的速度和功率测量的有效性和可靠性。
PLoS One. 2024 Oct 24;19(10):e0312348. doi: 10.1371/journal.pone.0312348. eCollection 2024.
4
Validation of a Video Analysis Software Package for Quantifying Movement Velocity in Resistance Exercises.用于量化抗阻训练中运动速度的视频分析软件包的验证
J Strength Cond Res. 2016 Oct;30(10):2934-41. doi: 10.1519/JSC.0000000000000563.
5
Validity and Reliability of Kinematics Measured with PUSH Band vs. Linear Encoder in Bench Press and Push-Ups.卧推和俯卧撑中使用PUSH手环与线性编码器测量的运动学的有效性和可靠性
Sports (Basel). 2019 Sep 10;7(9):207. doi: 10.3390/sports7090207.
6
Is the OUTPUT Sports Unit Reliable and Valid When Estimating Back Squat and Bench Press Concentric Velocity?当用于估计深蹲和卧推向心速度时,OUTPUT 运动单元是否可靠和有效?
J Strength Cond Res. 2022 Aug 1;36(8):2069-2076. doi: 10.1519/JSC.0000000000003782. Epub 2020 Dec 16.
7
Reliability of technologies to measure the barbell velocity: Implications for monitoring resistance training.杠铃速度测量技术的可靠性:对监测抗阻训练的影响。
PLoS One. 2020 Jun 10;15(6):e0232465. doi: 10.1371/journal.pone.0232465. eCollection 2020.
8
The Role of Specific Warm-up during Bench Press and Squat Exercises: A Novel Approach.卧推和深蹲练习中专项热身的作用:一种新方法。
Int J Environ Res Public Health. 2020 Sep 22;17(18):6882. doi: 10.3390/ijerph17186882.
9
Optimizing exercise prescription during breast cancer rehabilitation in women: Analysis of the load-velocity relationship in the box squat exercise.优化女性乳腺癌康复期间的运动处方:箱式深蹲运动中负荷-速度关系的分析。
Eur J Sport Sci. 2024 Jul;24(7):1021-1031. doi: 10.1002/ejsc.12130. Epub 2024 May 20.
10
Mean Velocity vs. Mean Propulsive Velocity vs. Peak Velocity: Which Variable Determines Bench Press Relative Load With Higher Reliability?平均速度与平均推进速度与峰值速度:哪个变量能更可靠地确定卧推的相对负荷?
J Strength Cond Res. 2018 May;32(5):1273-1279. doi: 10.1519/JSC.0000000000001998.

本文引用的文献

1
Validity and Concordance of a Linear Position Transducer (Vitruve) for Measuring Movement Velocity during Resistance Training.一种线性位置传感器(Vitruve)在测量抗阻训练中运动速度的有效性和一致性。
Sensors (Basel). 2024 Oct 5;24(19):6444. doi: 10.3390/s24196444.
2
Validity of the PUSH band 2.0 and Speed4lifts to measure velocity during upper and lower body free-weight resistance exercises.PUSH腕带2.0和Speed4lifts在上下肢自由重量抗阻训练中测量速度的有效性。
J Sports Sci. 2022 May;40(9):968-975. doi: 10.1080/02640414.2022.2043629. Epub 2022 Feb 21.
3
Valid and Reliable Barbell Velocity Estimation Using an Inertial Measurement Unit.
使用惯性测量单元进行有效的可靠杠铃速度估计。
Int J Environ Res Public Health. 2021 Aug 31;18(17):9170. doi: 10.3390/ijerph18179170.
4
Impact of Tailored Multicomponent Exercise for Preventing Weakness and Falls on Nursing Home Residents' Functional Capacity.个体化综合运动对预防养老院居民虚弱和跌倒对其功能能力的影响。
J Am Med Dir Assoc. 2022 Jan;23(1):98-104.e3. doi: 10.1016/j.jamda.2021.05.037. Epub 2021 Jun 29.
5
Reliability of technologies to measure the barbell velocity: Implications for monitoring resistance training.杠铃速度测量技术的可靠性:对监测抗阻训练的影响。
PLoS One. 2020 Jun 10;15(6):e0232465. doi: 10.1371/journal.pone.0232465. eCollection 2020.
6
Application of velocity loss thresholds during free-weight resistance training: Responses and reproducibility of perceptual, metabolic, and neuromuscular outcomes.自由重量抗阻训练中速度损失阈值的应用:感知、代谢和神经肌肉结果的反应及可重复性
J Sports Sci. 2020 Mar;38(5):477-485. doi: 10.1080/02640414.2019.1706831. Epub 2019 Dec 22.
7
Reliability and Concurrent Validity of Seven Commercially Available Devices for the Assessment of Movement Velocity at Different Intensities During the Bench Press.卧推时不同强度下评估运动速度的七种市售设备的可靠性和同时效度。
J Strength Cond Res. 2019 May;33(5):1258-1265. doi: 10.1519/JSC.0000000000003118.
8
Precision of 7 Commercially Available Devices for Predicting Bench-Press 1-Repetition Maximum From the Individual Load-Velocity Relationship.7种市售设备根据个体负荷-速度关系预测卧推1次最大重复量的准确性
Int J Sports Physiol Perform. 2019 Nov 1;14(10):1442-1446. doi: 10.1123/ijspp.2018-0801.
9
Validity and reliability of simple measurement device to assess the velocity of the barbell during squats.用于评估深蹲过程中杠铃速度的简易测量装置的有效性和可靠性。
BMC Res Notes. 2017 Dec 6;10(1):707. doi: 10.1186/s13104-017-3012-z.
10
Determining the Optimum Power Load in Jump Squat Using the Mean Propulsive Velocity.使用平均推进速度确定深蹲跳中的最佳功率负荷。
PLoS One. 2015 Oct 7;10(10):e0140102. doi: 10.1371/journal.pone.0140102. eCollection 2015.