Song Zhuangqun, Zhao Peng, Wu Xueji, Yang Rong, Gao Xueshan
College of Mechanical and Marine Engineering, Beibu Gulf University, Qinzhou 535011, China.
School of Mechatronical Engineering, Beijing Institute of Technology, Beijing 100081, China.
Sensors (Basel). 2025 Jan 24;25(3):713. doi: 10.3390/s25030713.
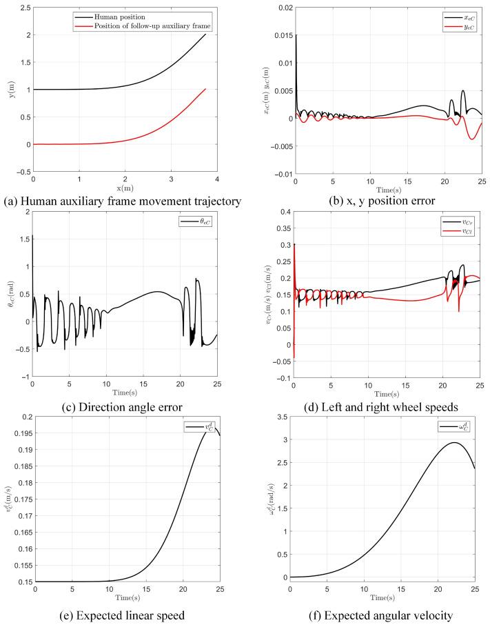
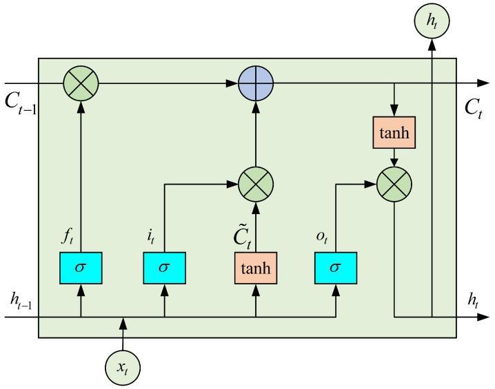
This study presents a method for the active control of a follow-up lower extremity exoskeleton rehabilitation robot (LEERR) based on human motion intention recognition. Initially, to effectively support body weight and compensate for the vertical movement of the human center of mass, a vision-driven follow-and-track control strategy is proposed. Subsequently, an algorithm for recognizing human motion intentions based on machine learning is proposed for human-robot collaboration tasks. A muscle-machine interface is constructed using a bi-directional long short-term memory (BiLSTM) network, which decodes multichannel surface electromyography (sEMG) signals into flexion and extension angles of the hip and knee joints in the sagittal plane. The hyperparameters of the BiLSTM network are optimized using the quantum-behaved particle swarm optimization (QPSO) algorithm, resulting in a QPSO-BiLSTM hybrid model that enables continuous real-time estimation of human motion intentions. Further, to address the uncertain nonlinear dynamics of the wearer-exoskeleton robot system, a dual radial basis function neural network adaptive sliding mode Controller (DRBFNNASMC) is designed to generate control torques, thereby enabling the precise tracking of motion trajectories generated by the muscle-machine interface. Experimental results indicate that the follow-up-assisted frame can accurately track human motion trajectories. The QPSO-BiLSTM network outperforms traditional BiLSTM and PSO-BiLSTM networks in predicting continuous lower limb motion, while the DRBFNNASMC controller demonstrates superior gait tracking performance compared to the fuzzy compensated adaptive sliding mode control (FCASMC) algorithm and the traditional proportional-integral-derivative (PID) control algorithm.
本研究提出了一种基于人体运动意图识别的主动控制下肢外骨骼康复机器人(LEERR)的方法。首先,为了有效支撑体重并补偿人体质心的垂直运动,提出了一种视觉驱动的跟随与跟踪控制策略。随后,针对人机协作任务,提出了一种基于机器学习的人体运动意图识别算法。利用双向长短期记忆(BiLSTM)网络构建肌肉-机器接口,将多通道表面肌电图(sEMG)信号解码为矢状面内髋关节和膝关节的屈伸角度。使用量子行为粒子群优化(QPSO)算法对BiLSTM网络的超参数进行优化,得到了一个QPSO-BiLSTM混合模型,该模型能够连续实时估计人体运动意图。此外,为了解决穿戴者-外骨骼机器人系统不确定的非线性动力学问题,设计了一种双径向基函数神经网络自适应滑模控制器(DRBFNNASMC)来生成控制转矩,从而能够精确跟踪肌肉-机器接口生成的运动轨迹。实验结果表明,跟随辅助框架能够准确跟踪人体运动轨迹。在预测连续下肢运动方面,QPSO-BiLSTM网络优于传统的BiLSTM和PSO-BiLSTM网络,而DRBFNNASMC控制器与模糊补偿自适应滑模控制(FCASMC)算法和传统的比例-积分-微分(PID)控制算法相比,具有更好的步态跟踪性能。