• 文献检索
  • 文档翻译
  • 深度研究
  • 学术资讯
  • Suppr Zotero 插件Zotero 插件
  • 邀请有礼
  • 套餐&价格
  • 历史记录
应用&插件
Suppr Zotero 插件Zotero 插件浏览器插件Mac 客户端Windows 客户端微信小程序
定价
高级版会员购买积分包购买API积分包
服务
文献检索文档翻译深度研究API 文档MCP 服务
关于我们
关于 Suppr公司介绍联系我们用户协议隐私条款
关注我们

Suppr 超能文献

核心技术专利:CN118964589B侵权必究
粤ICP备2023148730 号-1Suppr @ 2026

文献检索

告别复杂PubMed语法,用中文像聊天一样搜索,搜遍4000万医学文献。AI智能推荐,让科研检索更轻松。

立即免费搜索

文件翻译

保留排版,准确专业,支持PDF/Word/PPT等文件格式,支持 12+语言互译。

免费翻译文档

深度研究

AI帮你快速写综述,25分钟生成高质量综述,智能提取关键信息,辅助科研写作。

立即免费体验

组合非生物胁迫作为提高苹果农产品加工副产物中酚类物质含量的低成本策略

Combining Abiotic Stresses as a Low-Cost Strategy for Increasing the Phenolic Content in Apple Agro-Industrial By-Products.

作者信息

Villamil-Galindo Esteban, Jacobo-Velázquez Daniel A, Piagentini Andrea Marcela

机构信息

Instituto de Tecnología de Alimentos, Facultad de Ingeniería Química, Universidad Nacional del Litoral, Santa Fe 3000, Argentina.

Consejo Nacional de Investigaciones Científicas y Técnicas (CONICET), Santa Fe 3000, Argentina.

出版信息

Antioxidants (Basel). 2025 Feb 27;14(3):287. doi: 10.3390/antiox14030287.

DOI:10.3390/antiox14030287
PMID:40227315
原文链接:https://pmc.ncbi.nlm.nih.gov/articles/PMC11939634/
Abstract

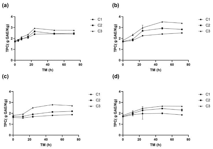
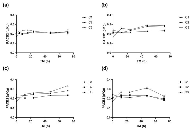
The circular economy approach offers innovative solutions for valorizing apple by-products through biofortification strategies transforming waste into high-value products and reducing environmental impact. This study evaluates innovative solutions for valorizing Granny Smith apple peel (RM) through biofortification in phenolic compounds using individual or combined abiotic stresses, like wounding stress and ultraviolet A (UVA) radiation. The effects of cutting type (Ct) [whole (C1), 5 mm (C2), 1.5 mm (C3)], storage temperature (ST) [20, 15, 10, 5 °C], and storage time (TM) [0, 12, 24, 48, 72 h] on phenylalanine ammonia-lyase (PAL) and polyphenol oxidase (PPO) activity, total phenolic content (TPC), and phenolic profiles were studied first. The results show that higher stress intensity (C3, 15 °C, 48 h) significantly enhanced secondary metabolism, leading to notable increases in PAL activity (1201%), PPO activity (308%), TPC levels (108-118%), and Procyanidin B2 (PACB2, 22%), the predominant phenolic compound. These changes were critical for improving the bioactive properties and antioxidant potential of RM. The second assay combined wounding stress (same levels of Ct and ST of previous assay, TM: 56 h) with UVA radiation (UVA-D) [0, 86.4 KJ m, 172.8 KJ m], determining the optimal conditions (C3, UVA-D 66 KJ m, 17 °C) for maximizing PAL activity (0.12-0.20 ΔA h⁻ mg⁻), and TPC (3.3 g GAE kg⁻). This study demonstrates the potential of combined abiotic stresses as cost-effective scalable tools to biofortify RM, promoting the sustainable and value-added utilization of agro-industrial by-products.

摘要

循环经济方法通过生物强化策略为苹果副产品增值提供了创新解决方案,即将废物转化为高价值产品并减少环境影响。本研究评估了通过使用诸如创伤胁迫和紫外线A(UVA)辐射等单独或组合的非生物胁迫对酚类化合物进行生物强化来使澳洲青苹果皮(RM)增值的创新解决方案。首先研究了切割类型(Ct)[完整(C1)、5毫米(C2)、1.5毫米(C3)]、储存温度(ST)[20、15、10、5℃]和储存时间(TM)[0、12、24、48、72小时]对苯丙氨酸解氨酶(PAL)和多酚氧化酶(PPO)活性、总酚含量(TPC)以及酚类谱的影响。结果表明,较高的胁迫强度(C3、15℃、48小时)显著增强了次生代谢,导致PAL活性(1201%)、PPO活性(308%)、TPC水平(108 - 118%)以及主要酚类化合物原花青素B2(PACB2,22%)显著增加。这些变化对于改善RM的生物活性特性和抗氧化潜力至关重要。第二项试验将创伤胁迫(与先前试验的Ct和ST水平相同,TM:56小时)与UVA辐射(UVA - D)[0、86.4 KJ m、172.8 KJ m]相结合,确定了使PAL活性(0.12 - 0.20ΔA h⁻ mg⁻)和TPC(3.3 g GAE kg⁻)最大化的最佳条件(C3、UVA - D 66 KJ m、17℃)。本研究证明了组合非生物胁迫作为经济高效的可扩展工具对RM进行生物强化的潜力,促进了农业工业副产品的可持续和增值利用。

https://cdn.ncbi.nlm.nih.gov/pmc/blobs/dbf3/11939634/89cbe2c18d05/antioxidants-14-00287-g006.jpg
https://cdn.ncbi.nlm.nih.gov/pmc/blobs/dbf3/11939634/c54f05b52dae/antioxidants-14-00287-g001.jpg
https://cdn.ncbi.nlm.nih.gov/pmc/blobs/dbf3/11939634/22fea1fa9682/antioxidants-14-00287-g002.jpg
https://cdn.ncbi.nlm.nih.gov/pmc/blobs/dbf3/11939634/1663ce570d1c/antioxidants-14-00287-g003.jpg
https://cdn.ncbi.nlm.nih.gov/pmc/blobs/dbf3/11939634/1b71b60f62f0/antioxidants-14-00287-g004.jpg
https://cdn.ncbi.nlm.nih.gov/pmc/blobs/dbf3/11939634/ec02d6638d5b/antioxidants-14-00287-g005.jpg
https://cdn.ncbi.nlm.nih.gov/pmc/blobs/dbf3/11939634/89cbe2c18d05/antioxidants-14-00287-g006.jpg
https://cdn.ncbi.nlm.nih.gov/pmc/blobs/dbf3/11939634/c54f05b52dae/antioxidants-14-00287-g001.jpg
https://cdn.ncbi.nlm.nih.gov/pmc/blobs/dbf3/11939634/22fea1fa9682/antioxidants-14-00287-g002.jpg
https://cdn.ncbi.nlm.nih.gov/pmc/blobs/dbf3/11939634/1663ce570d1c/antioxidants-14-00287-g003.jpg
https://cdn.ncbi.nlm.nih.gov/pmc/blobs/dbf3/11939634/1b71b60f62f0/antioxidants-14-00287-g004.jpg
https://cdn.ncbi.nlm.nih.gov/pmc/blobs/dbf3/11939634/ec02d6638d5b/antioxidants-14-00287-g005.jpg
https://cdn.ncbi.nlm.nih.gov/pmc/blobs/dbf3/11939634/89cbe2c18d05/antioxidants-14-00287-g006.jpg

相似文献

1
Combining Abiotic Stresses as a Low-Cost Strategy for Increasing the Phenolic Content in Apple Agro-Industrial By-Products.组合非生物胁迫作为提高苹果农产品加工副产物中酚类物质含量的低成本策略
Antioxidants (Basel). 2025 Feb 27;14(3):287. doi: 10.3390/antiox14030287.
2
Adding value to strawberry agro-industrial by-products through ultraviolet A-induced biofortification of antioxidant and anti-inflammatory phenolic compounds.通过紫外线A诱导抗氧化和抗炎酚类化合物的生物强化为草莓农工副产品增值。
Front Nutr. 2022 Dec 7;9:1080147. doi: 10.3389/fnut.2022.1080147. eCollection 2022.
3
UV-C and hyperoxia abiotic stresses to improve healthiness of carrots: study of combined effects.紫外线-C和高氧非生物胁迫对提高胡萝卜健康状况的研究:联合效应研究
J Food Sci Technol. 2016 Sep;53(9):3465-3476. doi: 10.1007/s13197-016-2321-x. Epub 2016 Sep 2.
4
The effect of ultraviolet treatment on enzymatic activity and total phenolic content of minimally processed potato slices.紫外线处理对轻度加工土豆片酶活性和总酚含量的影响。
J Food Sci Technol. 2016 Jul;53(7):3035-3042. doi: 10.1007/s13197-016-2275-z. Epub 2016 Jul 26.
5
Relationship between Phenolic Compounds, Antioxidant Properties, and the Allergenic Protein Mal d 1 in Different Selenium-Biofortified Apple Cultivars ().不同富硒苹果品种中酚类化合物、抗氧化特性与变应原蛋白 Mal d 1 的关系()。
Molecules. 2021 Apr 30;26(9):2647. doi: 10.3390/molecules26092647.
6
Kinetic Ultrasound-Assisted Extraction as a Sustainable Approach for the Recovery of Phenolics Accumulated through UVA Treatment in Strawberry By-Products.动力学超声辅助提取作为一种可持续方法用于从经紫外线A处理的草莓副产物中回收积累的酚类物质。
Foods. 2023 Aug 8;12(16):2989. doi: 10.3390/foods12162989.
7
UVA, UVB and UVC Light Enhances the Biosynthesis of Phenolic Antioxidants in Fresh-Cut Carrot through a Synergistic Effect with Wounding.紫外线A、紫外线B和紫外线C通过与创伤的协同作用增强鲜切胡萝卜中酚类抗氧化剂的生物合成。
Molecules. 2017 Apr 24;22(4):668. doi: 10.3390/molecules22040668.
8
Obtaining value-added products from cashew apple bagasse: A sustainable alternative achieved through a hydrothermal process.从腰果苹果渣中获取增值产品:通过水热法实现的可持续替代方案。
Food Res Int. 2025 May;208:116276. doi: 10.1016/j.foodres.2025.116276. Epub 2025 Mar 15.
9
Exploring Agro-Industrial By-Products: Phenolic Content, Antioxidant Capacity, and Phytochemical Profiling via FI-ESI-FTICR-MS Untargeted Analysis.探索农业工业副产品:通过傅里叶变换离子回旋共振质谱(FI-ESI-FTICR-MS)非靶向分析测定酚类含量、抗氧化能力和植物化学特征
Antioxidants (Basel). 2024 Jul 30;13(8):925. doi: 10.3390/antiox13080925.
10
Wounding and UVB Light Synergistically Induce the Biosynthesis of Phenolic Compounds and Ascorbic Acid in Red Prickly Pears ( cv. Rojo Vigor).创伤和 UVB 光协同诱导红色仙人掌(品种 Rojo Vigor)中酚类化合物和抗坏血酸的生物合成。
Int J Mol Sci. 2019 Oct 25;20(21):5327. doi: 10.3390/ijms20215327.

本文引用的文献

1
Valorization of polyphenolic compounds from food industry by-products for application in polysaccharide-based nanoparticles.食品工业副产品中多酚类化合物在多糖基纳米颗粒中的应用价值评估。
Front Nutr. 2023 May 24;10:1144677. doi: 10.3389/fnut.2023.1144677. eCollection 2023.
2
New Advances in Metabolic Syndrome, from Prevention to Treatment: The Role of Diet and Food.代谢综合征的新进展:从预防到治疗——饮食和食物的作用。
Nutrients. 2023 Jan 26;15(3):640. doi: 10.3390/nu15030640.
3
Adding value to strawberry agro-industrial by-products through ultraviolet A-induced biofortification of antioxidant and anti-inflammatory phenolic compounds.
通过紫外线A诱导抗氧化和抗炎酚类化合物的生物强化为草莓农工副产品增值。
Front Nutr. 2022 Dec 7;9:1080147. doi: 10.3389/fnut.2022.1080147. eCollection 2022.
4
UV-B induces the expression of flavonoid biosynthetic pathways in blueberry () calli.UV-B诱导蓝莓愈伤组织中类黄酮生物合成途径的表达。
Front Plant Sci. 2022 Nov 22;13:1079087. doi: 10.3389/fpls.2022.1079087. eCollection 2022.
5
cv. Senga Sengana Leaf: An Agricultural Waste with Antiglycation Potential and High Content of Ellagitannins, Flavonols, and 2-Pyrone-4,6-dicarboxylic Acid.山竹果皮:一种具有抗糖化潜力的农业废弃物,富含鞣花单宁、黄酮醇和 2-吡喃酮-4,6-二羧酸。
Molecules. 2022 Aug 19;27(16):5293. doi: 10.3390/molecules27165293.
6
Agri-Food Surplus, Waste and Loss as Sustainable Biobased Ingredients: A Review.农业食品过剩、浪费和损失作为可持续生物基原料:综述。
Molecules. 2022 Aug 15;27(16):5200. doi: 10.3390/molecules27165200.
7
Postharvest Ultraviolet Radiation in Fruit and Vegetables: Applications and Factors Modulating Its Efficacy on Bioactive Compounds and Microbial Growth.水果和蔬菜采后的紫外线辐射:应用及其对生物活性化合物和微生物生长的功效调节因素
Foods. 2022 Feb 23;11(5):653. doi: 10.3390/foods11050653.
8
Perception of solar UV radiation by plants: photoreceptors and mechanisms.植物对太阳紫外辐射的感知:光受体和机制。
Plant Physiol. 2021 Jul 6;186(3):1382-1396. doi: 10.1093/plphys/kiab162.
9
Metabolomics and physiological analyses validates previous findings on the mechanism of response to wounding stress of different intensities in broccoli.代谢组学和生理分析验证了先前关于不同强度西兰花对创伤应激反应机制的发现。
Food Res Int. 2021 Feb;140:110058. doi: 10.1016/j.foodres.2020.110058. Epub 2020 Dec 24.
10
Storage quality of fresh-cut apples treated with yerba mate ().用马黛茶处理的鲜切苹果的贮藏品质()。 (原文括号部分内容缺失,翻译可能不太完整准确)
J Food Sci Technol. 2021 Jan;58(1):186-196. doi: 10.1007/s13197-020-04528-w. Epub 2020 May 23.